• 文献检索
  • 文档翻译
  • 深度研究
  • 学术资讯
  • Suppr Zotero 插件Zotero 插件
  • 邀请有礼
  • 套餐&价格
  • 历史记录
应用&插件
Suppr Zotero 插件Zotero 插件浏览器插件Mac 客户端Windows 客户端微信小程序
定价
高级版会员购买积分包购买API积分包
服务
文献检索文档翻译深度研究API 文档MCP 服务
关于我们
关于 Suppr公司介绍联系我们用户协议隐私条款
关注我们

Suppr 超能文献

核心技术专利:CN118964589B侵权必究
粤ICP备2023148730 号-1Suppr @ 2026

文献检索

告别复杂PubMed语法,用中文像聊天一样搜索,搜遍4000万医学文献。AI智能推荐,让科研检索更轻松。

立即免费搜索

文件翻译

保留排版,准确专业,支持PDF/Word/PPT等文件格式,支持 12+语言互译。

免费翻译文档

深度研究

AI帮你快速写综述,25分钟生成高质量综述,智能提取关键信息,辅助科研写作。

立即免费体验

用于蜂群选择的实地探索:评估蜂群中的卫生行为。

Field Exploration for Colony Selection: Evaluating Hygienic Behavior in Colonies.

作者信息

Haran Ramkumar, Sumathi Ettiappan, Iqbal Javaid, Krupesh Sivakumar, Parthasarathi Ganesan, Vijay Settu, Saminathan Vangili Ramasami, Srinivasan Madapuji Rajagopalan, Kokiladevi Eswaran, Jayakanthan Mannu, Zeshan Ali

机构信息

Department of Agricultural Entomology, Tamil Nadu Agricultural University, Coimbatore 641003, India.

Department of Plant Protection, College of Food and Agriculture Sciences, King Saud University, P.O. Box 2460, Riyadh 11451, Saudi Arabia.

出版信息

Insects. 2024 Aug 6;15(8):598. doi: 10.3390/insects15080598.

DOI:10.3390/insects15080598
PMID:39194803
原文链接:https://pmc.ncbi.nlm.nih.gov/articles/PMC11354478/
Abstract

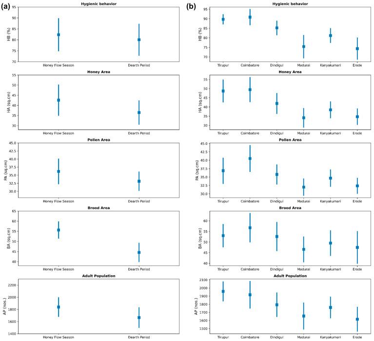
Hygienic behavior (HB) emerges as a pivotal trait, impacting colony resistance to diseases. This study aimed to understand the behavioral traits of colonies, with a focus on HB and other key characteristics crucial for colony health, and to screen and identify colonies with superior hygienic behavior and better performance to combat prevailing diseases and pests. This research spans a comprehensive field analysis with different seasons and locations, encompassing the distinct environmental and management factors that influence honey bee behavior. The inclusion of colonies from various locations provides a novel perspective, offering valuable insights regarding the hygienic behavior of . Several statistical analyses, including descriptive statistics, principal component analysis (PCA), and Aligned Rank Transformation-Analysis of Variance (ART-ANOVA) for repeated measures, shed light on the distribution of hive metrics, emphasizing the significance of considering seasonality and location-specific factors. PCA highlights unique characteristics in Tirupur and Coimbatore colonies, while correlation analyses uncover relationships among HB, honey, pollen, brood area, and adult population. Moreover, the study's nuanced findings gave the status of hygienic behavior of colonies and identified colonies with better colony performance, which will be useful for future breeding programs with .

摘要

卫生行为(HB)成为一个关键特征,影响蜂群对疾病的抵抗力。本研究旨在了解蜂群的行为特征,重点关注HB以及对蜂群健康至关重要的其他关键特性,并筛选和识别具有卓越卫生行为和更好性能以对抗流行疾病和害虫的蜂群。本研究跨越不同季节和地点进行全面的实地分析,涵盖影响蜜蜂行为的不同环境和管理因素。纳入来自不同地点的蜂群提供了一个新视角,对[具体内容缺失]的卫生行为提供了有价值的见解。包括描述性统计、主成分分析(PCA)以及用于重复测量的对齐秩变换-方差分析(ART-ANOVA)在内的多项统计分析,揭示了蜂箱指标的分布情况,强调了考虑季节性和特定地点因素的重要性。PCA突出了蒂鲁布尔和哥印拜陀蜂群的独特特征,而相关性分析揭示了HB、蜂蜜、花粉、育雏面积和成年蜂数量之间的关系。此外,该研究的细致发现给出了[具体内容缺失]蜂群卫生行为的状况,并识别出具有更好蜂群性能的蜂群,这将对未来与[具体内容缺失]相关的育种计划有用。

https://cdn.ncbi.nlm.nih.gov/pmc/blobs/de62/11354478/9c83da26195a/insects-15-00598-g007.jpg
https://cdn.ncbi.nlm.nih.gov/pmc/blobs/de62/11354478/e4b4a8a0286a/insects-15-00598-g001.jpg
https://cdn.ncbi.nlm.nih.gov/pmc/blobs/de62/11354478/79604188d0bb/insects-15-00598-g002.jpg
https://cdn.ncbi.nlm.nih.gov/pmc/blobs/de62/11354478/863013ceb03c/insects-15-00598-g003.jpg
https://cdn.ncbi.nlm.nih.gov/pmc/blobs/de62/11354478/ae910ca56570/insects-15-00598-g004.jpg
https://cdn.ncbi.nlm.nih.gov/pmc/blobs/de62/11354478/298517a768ee/insects-15-00598-g005.jpg
https://cdn.ncbi.nlm.nih.gov/pmc/blobs/de62/11354478/d7133bb1f9ad/insects-15-00598-g006.jpg
https://cdn.ncbi.nlm.nih.gov/pmc/blobs/de62/11354478/9c83da26195a/insects-15-00598-g007.jpg
https://cdn.ncbi.nlm.nih.gov/pmc/blobs/de62/11354478/e4b4a8a0286a/insects-15-00598-g001.jpg
https://cdn.ncbi.nlm.nih.gov/pmc/blobs/de62/11354478/79604188d0bb/insects-15-00598-g002.jpg
https://cdn.ncbi.nlm.nih.gov/pmc/blobs/de62/11354478/863013ceb03c/insects-15-00598-g003.jpg
https://cdn.ncbi.nlm.nih.gov/pmc/blobs/de62/11354478/ae910ca56570/insects-15-00598-g004.jpg
https://cdn.ncbi.nlm.nih.gov/pmc/blobs/de62/11354478/298517a768ee/insects-15-00598-g005.jpg
https://cdn.ncbi.nlm.nih.gov/pmc/blobs/de62/11354478/d7133bb1f9ad/insects-15-00598-g006.jpg
https://cdn.ncbi.nlm.nih.gov/pmc/blobs/de62/11354478/9c83da26195a/insects-15-00598-g007.jpg

相似文献

1
Field Exploration for Colony Selection: Evaluating Hygienic Behavior in Colonies.用于蜂群选择的实地探索:评估蜂群中的卫生行为。
Insects. 2024 Aug 6;15(8):598. doi: 10.3390/insects15080598.
2
Go East for Better Honey Bee Health: Apis cerana Is Faster at Hygienic Behavior than A. mellifera.向东走,蜜蜂更健康:中华蜜蜂的卫生行为比西方蜜蜂更快。
PLoS One. 2016 Sep 8;11(9):e0162647. doi: 10.1371/journal.pone.0162647. eCollection 2016.
3
Gut microbial diversity in and colonies: a comparative study.体内和体外菌落中的肠道微生物多样性:一项比较研究。
Front Vet Sci. 2023 May 12;10:1149876. doi: 10.3389/fvets.2023.1149876. eCollection 2023.
4
Performance evaluation of local honey bee race (Apis melifera secutellata) in the Metekel Zone of North Western Ethiopia.埃塞俄比亚西北部梅特克勒地区本地蜜蜂品种(Apis melifera secutellata)的性能评估。
Vet Med Sci. 2022 Nov;8(6):2696-2702. doi: 10.1002/vms3.885. Epub 2022 Jul 22.
5
Seasonal variation of viral infections between the eastern honey bee (Apis cerana) and the western honey bee (Apis mellifera).东方蜜蜂(Apis cerana)和西方蜜蜂(Apis mellifera)之间病毒感染的季节性变化。
Microbiologyopen. 2021 Jan;10(1):e1162. doi: 10.1002/mbo3.1162.
6
Cuticular pheromones stimulate hygienic behavior in the honey bee (Apis mellifera).表皮信息素刺激蜜蜂(Apis mellifera)的卫生行为。
Sci Rep. 2020 Apr 28;10(1):7132. doi: 10.1038/s41598-020-64144-8.
7
Honey bee lines selected for high propolis production also have superior hygienic behavior and increased honey and pollen stores.被选用于高蜂胶产量的蜜蜂品系也具有卓越的卫生行为,并且蜂蜜和花粉储备有所增加。
Genet Mol Res. 2013 Dec 19;12(4):6931-8. doi: 10.4238/2013.December.19.12.
8
Evaluation of queen cell acceptance and royal jelly production between hygienic and non-hygienic honey bee (Apis mellifera) colonies.卫生型和非卫生型蜜蜂(Apis mellifera)群之间的王台接受和蜂王浆生产的评估。
PLoS One. 2022 Mar 28;17(3):e0266145. doi: 10.1371/journal.pone.0266145. eCollection 2022.
9
Brood Affects Hygienic Behavior in the Honey Bee (Hymenoptera: Apidae).育雏影响蜜蜂(膜翅目:蜜蜂科)的卫生行为。
J Econ Entomol. 2018 Dec 14;111(6):2520-2530. doi: 10.1093/jee/toy266.
10
Hygienic behaviour selection via freeze-killed honey bee brood not associated with chalkbrood resistance in eastern Australia.通过冷冻杀死的蜜蜂幼虫来选择卫生行为,与澳大利亚东部的白垩病抗性无关。
PLoS One. 2018 Nov 14;13(11):e0203969. doi: 10.1371/journal.pone.0203969. eCollection 2018.

本文引用的文献

1
Hygienic Behavior of and Its Relationship with Infestation and Honey Production in the Central Highlands of Ecuador.厄瓜多尔中部高地的卫生行为及其与虫害和蜂蜜产量的关系。
Insects. 2021 Oct 25;12(11):966. doi: 10.3390/insects12110966.
2
Proboscis behavioral response of four honey bee species towards different concentrations of sucrose, glucose, and fructose.四种蜜蜂对不同浓度蔗糖、葡萄糖和果糖的吻行为反应。
Saudi J Biol Sci. 2021 Jun;28(6):3275-3283. doi: 10.1016/j.sjbs.2021.02.069. Epub 2021 Mar 1.
3
How protection of honey bees can help and hinder bee conservation.
保护蜜蜂如何既能帮助又能阻碍蜜蜂保护。
Curr Opin Insect Sci. 2021 Aug;46:112-118. doi: 10.1016/j.cois.2021.05.005. Epub 2021 Jun 4.
4
Wild insect diversity increases inter-annual stability in global crop pollinator communities.野生昆虫多样性增强了全球作物传粉者群落的年际稳定性。
Proc Biol Sci. 2021 Mar 31;288(1947):20210212. doi: 10.1098/rspb.2021.0212. Epub 2021 Mar 17.
5
Genetic Parameters of Honey Bee Colonies Traits in a Canadian Selection Program.加拿大一项选育计划中蜜蜂蜂群性状的遗传参数
Insects. 2020 Sep 1;11(9):587. doi: 10.3390/insects11090587.
6
GIS Approach for Determining the Optimum Spatiotemporal Plan for Beekeeping and Honey Production in Hot-Arid Subtropical Ecosystems.GIS 方法在确定热干旱亚热带生态系统养蜂和蜂蜜生产的最适时空规划中的应用。
J Econ Entomol. 2019 May 22;112(3):1032-1042. doi: 10.1093/jee/toz002.
7
Destructive disinfection of infected brood prevents systemic disease spread in ant colonies.受感染的幼虫的破坏性消毒可防止蚂蚁群体中的系统性疾病传播。
Elife. 2018 Jan 9;7:e32073. doi: 10.7554/eLife.32073.
8
Honey bee foraging ecology: Season but not landscape diversity shapes the amount and diversity of collected pollen.蜜蜂觅食生态学:季节而非景观多样性决定了采集花粉的数量和多样性。
PLoS One. 2017 Aug 30;12(8):e0183716. doi: 10.1371/journal.pone.0183716. eCollection 2017.
9
Go East for Better Honey Bee Health: Apis cerana Is Faster at Hygienic Behavior than A. mellifera.向东走,蜜蜂更健康:中华蜜蜂的卫生行为比西方蜜蜂更快。
PLoS One. 2016 Sep 8;11(9):e0162647. doi: 10.1371/journal.pone.0162647. eCollection 2016.
10
Assessing hygienic behavior of Apis mellifera unicolor (Hymenoptera: Apidae), the endemic honey bee from Madagascar.评估马达加斯加特有蜜蜂单色蜂(膜翅目:蜜蜂科)的卫生行为。
Genet Mol Res. 2015 Jun 1;14(2):5879-89. doi: 10.4238/2015.June.1.5.