Suppr超能文献

DNA 甲基化与成人精神障碍的早期生活逆境有关。

DNA Methylation of Is Associated with Early-Life Adversity in Adult Mental Disorders.

机构信息

Department of Psychiatry and Psychotherapy, University Hospital of Tuebingen, Eberhard Karls University of Tuebingen, 72076 Tuebingen, Germany.

German Center for Mental Health (DZPG), Partner Site Tuebingen, 72076 Tuebingen, Germany.

出版信息

Biomolecules. 2024 Aug 9;14(8):976. doi: 10.3390/biom14080976.

Abstract

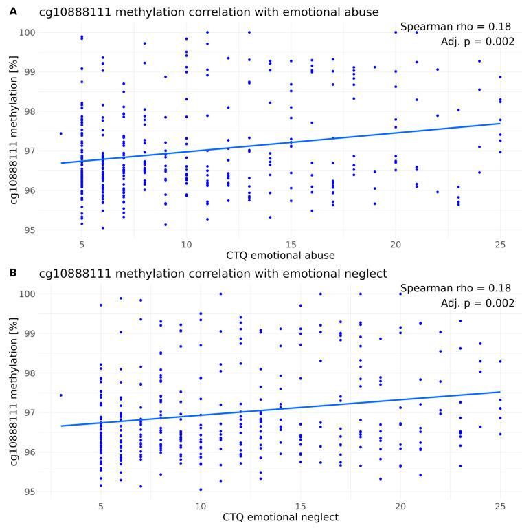
Early-life adversity (ELA) is characterized by exposure to traumatic events during early periods of life, particularly involving emotional, sexual and/or physical adversities during childhood. Mental disorders are strongly influenced by environmental and lifestyle-related risk factors including ELA. However, the molecular link between ELA and the risk of an adult mental disorder is still not fully understood. Evidence is emerging that long-lasting changes in the epigenetic processes regulating gene expression, such as DNA methylation, play an important role in the biological mechanisms linking ELA and mental disorders. Based on a recent study, we analyzed the DNA methylation of a specific CpG site within the gene -cg10888111-in blood in the context of ELA across a set of psychiatric disorders, namely Borderline Personality Disorder (BPD), Major Depressive Disorder (MDD) and Social Anxiety Disorder (SAD), and its potential contribution to their pathogenesis. We found significant hypermethylation in mentally ill patients with high levels of ELA compared to patients with low levels of ELA, whereas cg10888111 methylation in healthy control individuals was not affected by ELA. Further investigations revealed that this effect was driven by the MDD cohort. Providing a direct comparison of cg10888111 DNA methylation in blood in the context of ELA across three mental disorders, our results indicate the role of regulation in the response to ELA in the pathogenesis of mental disorders, especially MDD. Further studies will be needed to validate these results and decipher the corresponding biological network that is involved in the transmission of ELA to an adult mental disorder in general.

摘要

早期生活逆境(ELA)的特征是在生命早期暴露于创伤性事件,特别是在儿童时期经历情感、性和/或身体逆境。精神障碍受环境和与生活方式相关的风险因素的强烈影响,包括 ELA。然而,ELA 与成人精神障碍风险之间的分子联系仍不完全清楚。有证据表明,调节基因表达的表观遗传过程的持久变化,如 DNA 甲基化,在将 ELA 与精神障碍联系起来的生物学机制中发挥着重要作用。基于最近的一项研究,我们分析了在一组精神障碍(即边缘型人格障碍(BPD)、重度抑郁症(MDD)和社交焦虑症(SAD))中,ELA 背景下基因 -cg10888111 内特定 CpG 位点的 DNA 甲基化及其对发病机制的潜在贡献。我们发现,与 ELA 水平较低的患者相比,ELA 水平较高的精神病患者的 DNA 甲基化显著升高,而健康对照组个体的 cg10888111 甲基化不受 ELA 影响。进一步的研究表明,这种影响是由 MDD 队列驱动的。提供了在三种精神障碍的 ELA 背景下比较血液中 cg10888111 DNA 甲基化的直接比较,我们的研究结果表明了调节在精神障碍发病机制中对 ELA 反应的作用,特别是在 MDD 中。需要进一步的研究来验证这些结果,并解析涉及 ELA 向一般成人精神障碍传播的相应生物学网络。

https://cdn.ncbi.nlm.nih.gov/pmc/blobs/b10f/11353138/7d31bf87b7a0/biomolecules-14-00976-g001.jpg

文献AI研究员

20分钟写一篇综述,助力文献阅读效率提升50倍。

立即体验

用中文搜PubMed

大模型驱动的PubMed中文搜索引擎

马上搜索

文档翻译

学术文献翻译模型,支持多种主流文档格式。

立即体验