Suppr超能文献

协作性实验:使用QIAGEN方案和PyroMark Q48平台进行年龄估计分析

Collaborative exercise: analysis of age estimation using a QIAGEN protocol and the PyroMark Q48 platform.

作者信息

Kampmann Marie-Louise, Fleckhaus Jan, Børsting Claus, Jurtikova Helena, Piters Alice, Papin Julien, Gauthier Quentin, Ghemrawi Mirna, Doutremepuich Christian, McCord Bruce, Schneider Peter M, Drabek Jiri, Morling Niels

机构信息

Section of Forensic Genetics, Department of Forensic Medicine, Faculty of Health and Medical Sciences, University of CopenhagenCopenhagen, Denmark.

Institute of Legal Medicine, Faculty of Medicine and University Clinic, University of Cologne, Cologne, Germany.

出版信息

Forensic Sci Res. 2024 Jan 5;9(1):owad055. doi: 10.1093/fsr/owad055. eCollection 2024 Mar.

Abstract

UNLABELLED

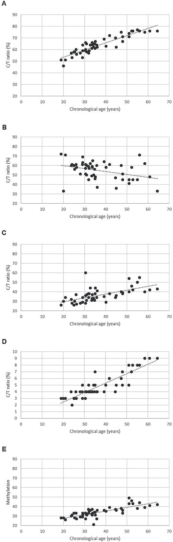
Human age estimation from trace samples may give important leads early in a police investigation by contributing to the description of the perpetrator. Several molecular biomarkers are available for the estimation of chronological age, and currently, DNA methylation patterns are the most promising. In this study, a QIAGEN age protocol for age estimation was tested by five forensic genetic laboratories. The assay comprised bisulfite treatment of the extracted DNA, amplification of five CpG loci (in the genes of , , , , and ), and sequencing of the amplicons using the PyroMark Q48 platform. Blood samples from 49 individuals with ages ranging from 18 to 64 years as well as negative and methylation controls were analyzed. An existing age estimation model was applied to display a mean absolute deviation of 3.62 years within the reference data set.

KEY POINTS

Age determination as an intelligence tool during investigations can be a powerful tool in forensic genetics.In this study, five laboratories ran 49 samples and obtained a mean absolute deviation of 3.62 years.Five markers were analyzed on a PyroMark Q48 platform.

摘要

未标注

从痕量样本中估计人类年龄,可为警方调查初期对犯罪者的描述提供重要线索。有几种分子生物标志物可用于估计实足年龄,目前,DNA甲基化模式最具前景。在本研究中,五个法医遗传学实验室对QIAGEN年龄估计方案进行了测试。该检测包括对提取的DNA进行亚硫酸氢盐处理、扩增五个CpG位点(在 、 、 、 和 基因中),以及使用PyroMark Q48平台对扩增子进行测序。分析了来自49名年龄在18至64岁之间个体的血样以及阴性和甲基化对照。应用现有的年龄估计模型在参考数据集中显示平均绝对偏差为3.62岁。

关键点

在调查期间将年龄测定作为一种情报工具,在法医遗传学中可能是一种强大的工具。在本研究中,五个实验室对49个样本进行了检测,平均绝对偏差为3.62岁。在PyroMark Q48平台上分析了五个标记。

https://cdn.ncbi.nlm.nih.gov/pmc/blobs/9fdd/10986743/009915c07c98/owad055f1.jpg

文献检索

告别复杂PubMed语法,用中文像聊天一样搜索,搜遍4000万医学文献。AI智能推荐,让科研检索更轻松。

立即免费搜索

文件翻译

保留排版,准确专业,支持PDF/Word/PPT等文件格式,支持 12+语言互译。

免费翻译文档

深度研究

AI帮你快速写综述,25分钟生成高质量综述,智能提取关键信息,辅助科研写作。

立即免费体验