Suppr超能文献

从瓜皮中提取果胶的优化:作为具有益生元潜力的果胶和果胶水解产物的新来源

Optimization of Pectin Extraction from Melon Peel as a New Source of Pectin and Pectin Hydrolysate with Prebiotic Potential.

作者信息

Bilraheem Saroya, Srinuanpan Sirasit, Cheirsilp Benjamas, Upaichit Apichat, Kawai Fusako, Thumarat Uschara

机构信息

Environmental Biotechnology Laboratory, Faculty of Agro-Industry, Prince of Songkla University, Hat Yai, Songkhla 90110, Thailand.

Center of Excellence of Microbial Diversity and Sustainable Utilization, Faculty of Science, Chiang Mai University, Chiang Mai 50200, Thailand.

出版信息

Foods. 2024 Aug 16;13(16):2554. doi: 10.3390/foods13162554.

Abstract

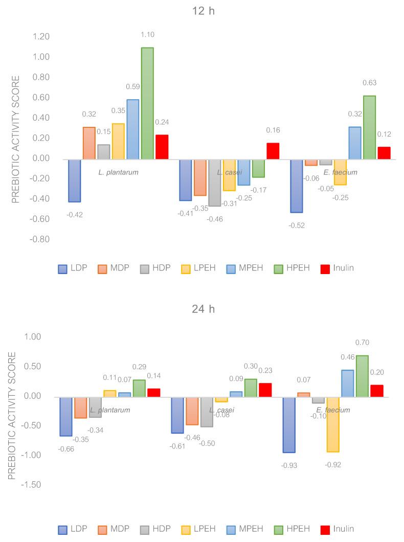
Food wastes have a large number of functional ingredients that have potential for valorization. Melon peels are increasingly produced as waste in food industries in Thailand. This study aimed to optimize pectin extraction conditions from melon peel for its prebiotic potential. Optimization was conducted using a response surface methodology and Box-Behnken experimental design. An analysis of variance indicated a significant interaction between the extraction conditions on extraction yield and degree of esterification (DE). These include pH and solvent-to-sample ratio. The conditions for the extraction of pectin with low DE (LDP), medium DE (MDP) and high DE (HDP) were optimized. Pectin hydrolysate from LDP, MDP and HDP was prepared by enzymatic hydrolysis into LPEH, MPEH and HPEH, respectively. LDP, MDP, HDP, LPEH, MPEH and HPEH were compared for their efficiency in terms of the growth of three probiotic strains, namely TISTR 877, TISTR 390 and TISTR 1027. Among the samples tested, HPEH showed the highest ability as a carbon source to promote the growth and prebiotic activity score for these three probiotic strains. This study suggests that melon peel waste from agro-industry can be a novel source for prebiotic production.

摘要

食物垃圾含有大量具有增值潜力的功能成分。在泰国的食品工业中,瓜皮作为废弃物的产量日益增加。本研究旨在优化从瓜皮中提取果胶的条件,以挖掘其益生元潜力。采用响应面法和Box-Behnken实验设计进行优化。方差分析表明,提取条件对提取率和酯化度(DE)之间存在显著交互作用。这些条件包括pH值和溶剂与样品的比例。对低DE(LDP)、中DE(MDP)和高DE(HDP)果胶的提取条件进行了优化。通过酶解分别将LDP、MDP和HDP的果胶水解产物制备成LPEH、MPEH和HPEH。比较了LDP、MDP、HDP、LPEH、MPEH和HPEH对三种益生菌菌株(即TISTR 877、TISTR 390和TISTR 1027)生长的促进效率。在所测试的样品中,HPEH作为碳源促进这三种益生菌菌株生长和益生元活性评分的能力最强。本研究表明,农业工业产生的瓜皮废弃物可以成为益生元生产的新来源。

https://cdn.ncbi.nlm.nih.gov/pmc/blobs/d6f8/11354141/25499a52b0ba/foods-13-02554-g001.jpg

文献检索

告别复杂PubMed语法,用中文像聊天一样搜索,搜遍4000万医学文献。AI智能推荐,让科研检索更轻松。

立即免费搜索

文件翻译

保留排版,准确专业,支持PDF/Word/PPT等文件格式,支持 12+语言互译。

免费翻译文档

深度研究

AI帮你快速写综述,25分钟生成高质量综述,智能提取关键信息,辅助科研写作。

立即免费体验