Suppr超能文献

甾体化合物复杂氧化反应中细胞色素 P450 催化机制的最新研究进展。

Updates on Mechanisms of Cytochrome P450 Catalysis of Complex Steroid Oxidations.

机构信息

Department of Biochemistry, Vanderbilt University School of Medicine, Nashville, TN 37232, USA.

Department of Chemistry, University of Texas at San Antonio, San Antonio, TX 78249, USA.

出版信息

Int J Mol Sci. 2024 Aug 20;25(16):9020. doi: 10.3390/ijms25169020.

Abstract

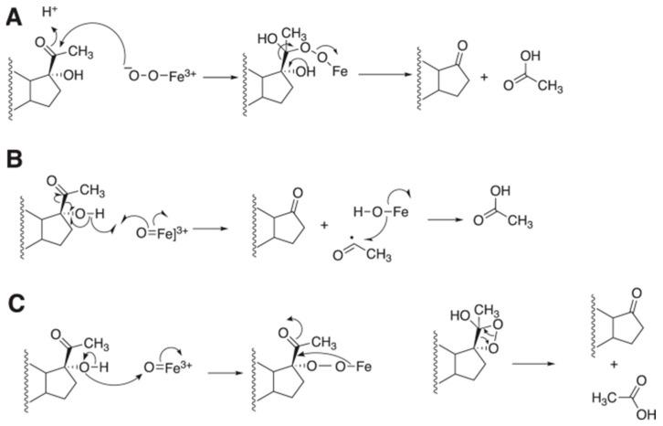
Cytochrome P450 (P450) enzymes dominate steroid metabolism. In general, the simple C-hydroxylation reactions are mechanistically straightforward and are generally agreed to involve a perferryl oxygen species (formally FeO). Several of the steroid transformations are more complex and involve C-C bond scission. We initiated mechanistic studies with several of these (i.e., 11A1, 17A1, 19A1, and 51A1) and have now established that the dominant modes of catalysis for P450s 19A1 and 51A1 involve a ferric peroxide anion (i.e., FeO¯) instead of a perferryl ion complex (FeO), as demonstrated with O incorporation studies. P450 17A1 is less clear. The indicated P450 reactions all involve sequential oxidations, and we have explored the processivity of these multi-step reactions. P450 19A1 is distributive, i.e., intermediate products dissociate and reassociate, but P450s 11A1 and 51A1 are highly processive. P450 17A1 shows intermediate processivity, as expected from the release of 17-hydroxysteroids for the biosynthesis of key molecules, and P450 19A1 is very distributive. P450 11B2 catalyzes a processive multi-step oxidation process with the complexity of a chemical closure of an intermediate to a locked lactol form.

摘要

细胞色素 P450(P450)酶主导类固醇代谢。一般来说,简单的 C-羟化反应在机制上很直接,通常被认为涉及过氧亚铁物种(形式上为 FeO)。一些类固醇转化更为复杂,涉及 C-C 键的断裂。我们对其中的几种(即 11A1、17A1、19A1 和 51A1)进行了机制研究,现在已经确定 P450s 19A1 和 51A1 的主要催化模式涉及铁过氧化物阴离子(即 FeO¯)而不是过氧铁离子配合物(FeO),正如 O 掺入研究所示。P450 17A1 则不太清楚。所指示的 P450 反应都涉及顺序氧化,我们已经探索了这些多步反应的连续性。P450 19A1 是分布式的,即中间产物解离并重新结合,但 P450s 11A1 和 51A1 具有高度连续性。P450 17A1 显示出中间连续性,这是从 17-羟甾体释放预期的,用于关键分子的生物合成,而 P450 19A1 非常分布式。P450 11B2 催化一个连续的多步氧化过程,其复杂性类似于中间产物化学封闭到锁定的内酯形式。

https://cdn.ncbi.nlm.nih.gov/pmc/blobs/f7cf/11354347/9b0a2a8c3e79/ijms-25-09020-g001.jpg

文献检索

告别复杂PubMed语法,用中文像聊天一样搜索,搜遍4000万医学文献。AI智能推荐,让科研检索更轻松。

立即免费搜索

文件翻译

保留排版,准确专业,支持PDF/Word/PPT等文件格式,支持 12+语言互译。

免费翻译文档

深度研究

AI帮你快速写综述,25分钟生成高质量综述,智能提取关键信息,辅助科研写作。

立即免费体验