Suppr超能文献

评估临床评分系统APACHE、CURB、SOFA和NEWS2在糖尿病患者入院时及症状出现后5天对预测重症新型冠状病毒肺炎的效用。

Evaluating the Utility of Clinical Scores APACHE, CURB, SOFA, and NEWS2 at Admission and 5-Days after Symptom Onset in Predicting Severe COVID-19 in Patients with Diabetes.

作者信息

Ion Radu, Kimidi Jaya Shankar Sai Kumar, Kalapala Chaitanya, Fnu Oktrian, Chandrababu Varshika Ramakrishnan, Desireddygari Omprakash Reddy, Grigras Mirela Loredana, Rosca Ovidiu, Bratosin Felix, Cioca Flavius, Timar Romulus, Negrean Rodica Anamaria

机构信息

Department III Functional Sciences, Division of Public Health and Management, Victor Babes University of Medicine and Pharmacy, 300041 Timisoara, Romania.

Katuri Medical College and Hospital, Katuri Health City 522019, India.

出版信息

J Pers Med. 2024 Aug 16;14(8):868. doi: 10.3390/jpm14080868.

Abstract

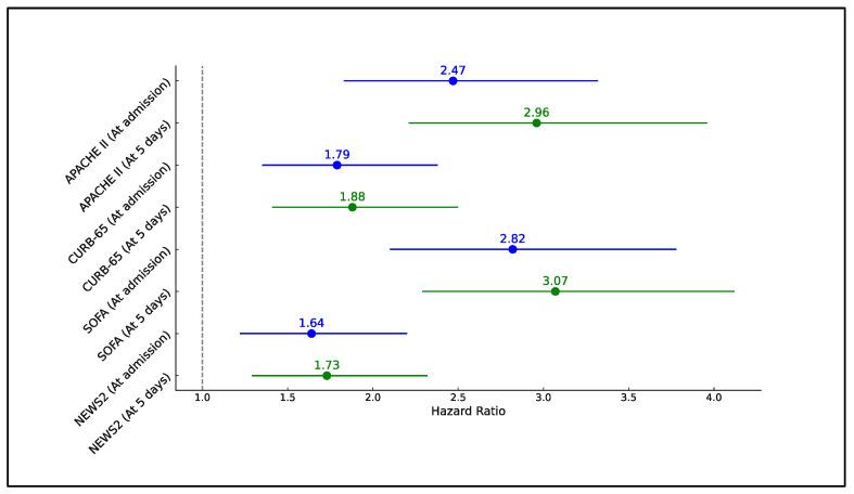
The elevated risk of severe COVID-19 outcomes in patients with diabetes underscores the need for effective predictive tools. This study aimed to assess the predictive accuracy of APACHE II, CURB-65, SOFA, and NEWS2 scores at critical time points in diabetic patients diagnosed with COVID-19, aiming to guide early and potentially life-saving interventions. In a prospective cohort study conducted from January 2021 to December 2023, adult patients with type 1 or type 2 diabetes and confirmed SARS-CoV-2 infection were evaluated. Clinical scores were calculated at admission and five days post-symptom onset, with data analyzed using receiver operating characteristic (ROC) curves and logistic regression to determine areas under the curve (AUC) and hazard ratios (HR) for severe outcomes. Among the 141 diabetic patients studied, ROC analysis revealed high AUC values for SOFA (0.771 at admission, 0.873 at day five) and NEWS2 (0.892 at admission, 0.729 at day five), indicating strong predictive accuracy for these scores. The APACHE II score's AUC improved from 0.698 at admission to 0.806 on day five, reflecting worsening patient conditions. Regression analysis showed significant HRs associated with exceeding threshold scores: The SOFA score HR at day five was 3.07 (95% CI: 2.29-4.12, < 0.001), indicating a threefold risk of severe outcomes. Similarly, the APACHE II score showed an HR of 2.96 (95% CI: 2.21-3.96, < 0.001) at day five, highlighting its utility in predicting severe disease progression. The SOFA and NEWS2 scores demonstrated excellent early predictive accuracy for severe COVID-19 outcomes in diabetic patients, with significant AUC and HR findings. Continuous score monitoring, especially of APACHE II and SOFA, is crucial for managing and potentially mitigating severe complications in this vulnerable population. These tools can effectively assist in the timely escalation of care, thus potentially reducing morbidity and mortality among diabetic patients during the COVID-19 pandemic.

摘要

糖尿病患者出现严重新冠病毒病(COVID-19)结局的风险升高,这凸显了对有效预测工具的需求。本研究旨在评估急性生理学及慢性健康状况评分系统II(APACHE II)、社区获得性肺炎CURB-65评分(CURB-65)、序贯器官衰竭评估(SOFA)和国家早期预警评分2(NEWS2)在确诊COVID-19的糖尿病患者关键时间点的预测准确性,旨在指导早期且可能挽救生命的干预措施。在一项于2021年1月至2023年12月进行的前瞻性队列研究中,对1型或2型糖尿病且确诊感染严重急性呼吸综合征冠状病毒2(SARS-CoV-2)的成年患者进行了评估。在入院时及症状出现后5天计算临床评分,并使用受试者工作特征(ROC)曲线和逻辑回归分析数据,以确定严重结局的曲线下面积(AUC)和风险比(HR)。在141例接受研究的糖尿病患者中,ROC分析显示SOFA评分(入院时为0.771,第5天为0.873)和NEWS2评分(入院时为0.892,第5天为0.729)的AUC值较高,表明这些评分具有较强的预测准确性。APACHE II评分的AUC从入院时的0.698提高到第5天的0.806,反映出患者病情恶化。回归分析显示,超过阈值评分与显著的HR相关:第5天SOFA评分的HR为3.07(95%置信区间:2.29 - 4.12,P < 0.001),表明严重结局风险增加了两倍。同样,第5天APACHE II评分的HR为2.96(95%置信区间:2.21 - 3.96,P < 0.001),突出了其在预测严重疾病进展方面的效用。SOFA和NEWS2评分在预测糖尿病患者严重COVID-19结局方面显示出优异的早期预测准确性,具有显著的AUC和HR结果。持续监测评分,尤其是APACHE II和SOFA评分,对于管理并可能减轻这一脆弱人群的严重并发症至关重要。这些工具可有效协助及时加强护理,从而有可能降低COVID-19大流行期间糖尿病患者的发病率和死亡率。

https://cdn.ncbi.nlm.nih.gov/pmc/blobs/e1ba/11355465/7d8dde66e667/jpm-14-00868-g001.jpg

文献检索

告别复杂PubMed语法,用中文像聊天一样搜索,搜遍4000万医学文献。AI智能推荐,让科研检索更轻松。

立即免费搜索

文件翻译

保留排版,准确专业,支持PDF/Word/PPT等文件格式,支持 12+语言互译。

免费翻译文档

深度研究

AI帮你快速写综述,25分钟生成高质量综述,智能提取关键信息,辅助科研写作。

立即免费体验