• 文献检索
  • 文档翻译
  • 深度研究
  • 学术资讯
  • Suppr Zotero 插件Zotero 插件
  • 邀请有礼
  • 套餐&价格
  • 历史记录
应用&插件
Suppr Zotero 插件Zotero 插件浏览器插件Mac 客户端Windows 客户端微信小程序
定价
高级版会员购买积分包购买API积分包
服务
文献检索文档翻译深度研究API 文档MCP 服务
关于我们
关于 Suppr公司介绍联系我们用户协议隐私条款
关注我们

Suppr 超能文献

核心技术专利:CN118964589B侵权必究
粤ICP备2023148730 号-1Suppr @ 2026

文献检索

告别复杂PubMed语法,用中文像聊天一样搜索,搜遍4000万医学文献。AI智能推荐,让科研检索更轻松。

立即免费搜索

文件翻译

保留排版,准确专业,支持PDF/Word/PPT等文件格式,支持 12+语言互译。

免费翻译文档

深度研究

AI帮你快速写综述,25分钟生成高质量综述,智能提取关键信息,辅助科研写作。

立即免费体验

微粉化贝壳生物聚集体作为有机涂料中的机械增强剂

Micronized Shell-Bioaggregates as Mechanical Reinforcement in Organic Coatings.

作者信息

Rodríguez-Gómez Francisco Javier, Calovi Massimo, Rossi Stefano

机构信息

Departamento de Ingeniería Metalúrgica, Facultad de Química, Universidad Nacional Autónoma de México, Del. Coyoacán, Mexico City 04510, Mexico.

Department of Industrial Engineering, University of Trento, Via Sommarive 9, 38123 Trento, Italy.

出版信息

Materials (Basel). 2024 Aug 21;17(16):4134. doi: 10.3390/ma17164134.

DOI:10.3390/ma17164134
PMID:39203313
原文链接:https://pmc.ncbi.nlm.nih.gov/articles/PMC11356364/
Abstract

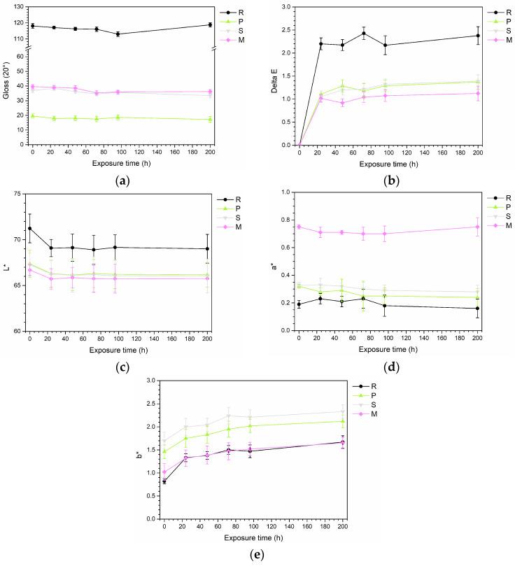
Shells are primarily composed of calcite and aragonite, making the inclusion of micronized shells as bio-based fillers in organic coatings a potential means to enhance the mechanical properties of the layers. A water-based coating was reinforced with 5 wt.% powder, 5 wt.% powder, and 5 wt.% of an LDPE/ceramic/nanoceramic composite. An improvement in abrasion resistance was achieved using micronized seashells, as demonstrated by the Taber test (evaluating both weight loss and thickness reduction). Additionally, Buchholz hardness improved with powders derived from . No significant differences were observed among the samples in terms of color and gloss after 200 h of UV-B exposure. However, the delamination length from the scratch after 168 h of exposure in a salt spray chamber indicated that the addition of particles to the polymeric matrix resulted in premature degradation, likely due to the formation of preferential paths for water penetration from the scratch. This hypothesis was supported by electrochemical impedance spectroscopy measurements, which revealed a decrease in total impedance at 0.01 Hz shortly after immersion in a 3.5% NaCl solution. In conclusion, the particle size and shape of the micronized shells improved abrasion resistance without altering color and gloss but led to a decrease in the coating's isolation properties.

摘要

贝壳主要由方解石和文石组成,这使得将微粉化贝壳作为生物基填料加入有机涂料中成为增强涂层机械性能的一种潜在方法。一种水性涂料用5重量%的[某种粉末]、5重量%的[某种粉末]和5重量%的低密度聚乙烯/陶瓷/纳米陶瓷复合材料进行了增强。如泰伯试验(评估重量损失和厚度减少)所示,使用微粉化贝壳可提高耐磨性。此外,由[某种物质]衍生的粉末使布氏硬度提高。在紫外线B照射200小时后,各样品在颜色和光泽方面未观察到显著差异。然而,在盐雾试验箱中暴露168小时后划痕处的分层长度表明,向聚合物基体中添加颗粒导致过早降解,这可能是由于划痕处形成了水渗透的优先通道。电化学阻抗谱测量结果支持了这一假设,该测量结果显示在浸入3.5%氯化钠溶液后不久,0.01赫兹下的总阻抗降低。总之,微粉化贝壳的粒径和形状提高了耐磨性,且未改变颜色和光泽,但导致涂层的隔离性能下降。

https://cdn.ncbi.nlm.nih.gov/pmc/blobs/bbb2/11356364/f69a7ae8f522/materials-17-04134-g011.jpg
https://cdn.ncbi.nlm.nih.gov/pmc/blobs/bbb2/11356364/5c1f195d0eb1/materials-17-04134-g001.jpg
https://cdn.ncbi.nlm.nih.gov/pmc/blobs/bbb2/11356364/42f087dd6d4e/materials-17-04134-g002.jpg
https://cdn.ncbi.nlm.nih.gov/pmc/blobs/bbb2/11356364/e7470ead2553/materials-17-04134-g003.jpg
https://cdn.ncbi.nlm.nih.gov/pmc/blobs/bbb2/11356364/41876008dc2e/materials-17-04134-g004.jpg
https://cdn.ncbi.nlm.nih.gov/pmc/blobs/bbb2/11356364/24535dac9153/materials-17-04134-g005.jpg
https://cdn.ncbi.nlm.nih.gov/pmc/blobs/bbb2/11356364/93e993a09f72/materials-17-04134-g006.jpg
https://cdn.ncbi.nlm.nih.gov/pmc/blobs/bbb2/11356364/31cab44c3509/materials-17-04134-g007.jpg
https://cdn.ncbi.nlm.nih.gov/pmc/blobs/bbb2/11356364/8c4633b4641a/materials-17-04134-g008.jpg
https://cdn.ncbi.nlm.nih.gov/pmc/blobs/bbb2/11356364/4ee6d275f483/materials-17-04134-g009.jpg
https://cdn.ncbi.nlm.nih.gov/pmc/blobs/bbb2/11356364/442fa2c76322/materials-17-04134-g010.jpg
https://cdn.ncbi.nlm.nih.gov/pmc/blobs/bbb2/11356364/f69a7ae8f522/materials-17-04134-g011.jpg
https://cdn.ncbi.nlm.nih.gov/pmc/blobs/bbb2/11356364/5c1f195d0eb1/materials-17-04134-g001.jpg
https://cdn.ncbi.nlm.nih.gov/pmc/blobs/bbb2/11356364/42f087dd6d4e/materials-17-04134-g002.jpg
https://cdn.ncbi.nlm.nih.gov/pmc/blobs/bbb2/11356364/e7470ead2553/materials-17-04134-g003.jpg
https://cdn.ncbi.nlm.nih.gov/pmc/blobs/bbb2/11356364/41876008dc2e/materials-17-04134-g004.jpg
https://cdn.ncbi.nlm.nih.gov/pmc/blobs/bbb2/11356364/24535dac9153/materials-17-04134-g005.jpg
https://cdn.ncbi.nlm.nih.gov/pmc/blobs/bbb2/11356364/93e993a09f72/materials-17-04134-g006.jpg
https://cdn.ncbi.nlm.nih.gov/pmc/blobs/bbb2/11356364/31cab44c3509/materials-17-04134-g007.jpg
https://cdn.ncbi.nlm.nih.gov/pmc/blobs/bbb2/11356364/8c4633b4641a/materials-17-04134-g008.jpg
https://cdn.ncbi.nlm.nih.gov/pmc/blobs/bbb2/11356364/4ee6d275f483/materials-17-04134-g009.jpg
https://cdn.ncbi.nlm.nih.gov/pmc/blobs/bbb2/11356364/442fa2c76322/materials-17-04134-g010.jpg
https://cdn.ncbi.nlm.nih.gov/pmc/blobs/bbb2/11356364/f69a7ae8f522/materials-17-04134-g011.jpg

相似文献

1
Micronized Shell-Bioaggregates as Mechanical Reinforcement in Organic Coatings.微粉化贝壳生物聚集体作为有机涂料中的机械增强剂
Materials (Basel). 2024 Aug 21;17(16):4134. doi: 10.3390/ma17164134.
2
Incorporation of AlO, GO, and AlO@GO nanoparticles into water-borne epoxy coatings: abrasion and corrosion resistance.将AlO、GO和AlO@GO纳米粒子掺入水性环氧涂料:耐磨性和耐腐蚀性。
RSC Adv. 2022 Aug 31;12(38):24804-24820. doi: 10.1039/d2ra04223a. eCollection 2022 Aug 30.
3
Comparative Study of Fire Resistance and Char Formation of Intumescent Fire-Retardant Coatings Reinforced with Three Types of Shell Bio-Fillers.三种壳类生物填料增强膨胀型防火涂料的耐火性和炭化形成的对比研究
Polymers (Basel). 2021 Dec 10;13(24):4333. doi: 10.3390/polym13244333.
4
Assessing the Impact of Sepiolite-Based Bio-Pigment Infused with Indigo Extract on Appearance and Durability of Water-Based White Primer.评估添加靛蓝提取物的海泡石基生物色素对水性白色底漆外观和耐久性的影响。
Materials (Basel). 2024 Feb 18;17(4):941. doi: 10.3390/ma17040941.
5
Mechanical properties, electrochemical corrosion and in-vitro bioactivity of yttria stabilized zirconia reinforced hydroxyapatite coatings prepared by gas tunnel type plasma spraying.气膜隧道等离子喷涂法制备氧化钇稳定氧化锆增强羟基磷灰石涂层的力学性能、电化学腐蚀及体外生物活性
J Mech Behav Biomed Mater. 2012 May;9:22-33. doi: 10.1016/j.jmbbm.2011.11.002. Epub 2011 Nov 26.
6
Fluorinated Ethylene Propylene Coatings Deposited by a Spray Process: Mechanical Properties, Scratch and Wear Behavior.通过喷涂工艺沉积的氟化乙烯丙烯涂层:机械性能、划痕和磨损行为
Polymers (Basel). 2022 Jan 17;14(2):347. doi: 10.3390/polym14020347.
7
An HVOF-Sprayed (CrC-NiCr+Co) Composite Coating on Ductile Cast Iron: Microstructure, Mechanical Properties, and Scratch Resistance.球墨铸铁上的高速氧燃料喷涂(CrC-NiCr+Co)复合涂层:微观结构、力学性能及耐划痕性
Materials (Basel). 2024 Mar 25;17(7):1484. doi: 10.3390/ma17071484.
8
Graphene-Based Reinforcing Filler for Double-Layer Acrylic Coatings.用于双层丙烯酸涂料的石墨烯增强填料
Materials (Basel). 2020 Oct 11;13(20):4499. doi: 10.3390/ma13204499.
9
Effect of Transparent, Purple, and Yellow Shellac Microcapsules on Properties of the Coating on Surface.透明、紫色和黄色紫胶微胶囊对表面涂层性能的影响
Polymers (Basel). 2022 Aug 13;14(16):3304. doi: 10.3390/polym14163304.
10
Effect of Silane Coupling Agent Modification on Properties of Brass Powder-Water-Based Acrylic Coating on .硅烷偶联剂改性对……上黄铜粉-水基丙烯酸涂层性能的影响
Polymers (Basel). 2023 Mar 10;15(6):1396. doi: 10.3390/polym15061396.

本文引用的文献

1
Micro/Nano Structural Investigation and Characterization of Mussel Shell Waste in Thailand as a Feasible Bioresource of CaO.泰国贻贝壳废弃物作为氧化钙可行生物资源的微观/纳米结构研究与表征
Materials (Basel). 2023 Jan 13;16(2):805. doi: 10.3390/ma16020805.
2
Efficient downstream valorization of lignocellulose after organosolv fractionation: Synergistic enhancement of waterborne coatings by co-assembled lignin@cellulose nanocrystals.有机溶剂预处理后木质纤维素的高效下游增值利用:协同组装的木质素@纤维素纳米晶体增强水基涂料。
Int J Biol Macromol. 2023 Feb 1;227:1325-1335. doi: 10.1016/j.ijbiomac.2022.12.008. Epub 2022 Dec 5.
3
Analysis of the Influence of Waste Seashell as Modified Materials on Asphalt Pavement Performance.
废弃贝壳作为改性材料对沥青路面性能的影响分析
Materials (Basel). 2022 Sep 30;15(19):6788. doi: 10.3390/ma15196788.
4
An insight into the structure, composition and hardness of a biological material: the shell of freshwater mussels.对一种生物材料——淡水贻贝壳的结构、组成和硬度的深入研究。
RSC Adv. 2020 Aug 11;10(49):29543-29554. doi: 10.1039/d0ra04271d. eCollection 2020 Aug 5.
5
Comparative Study of Fire Resistance and Anti-Ageing Properties of Intumescent Fire-Retardant Coatings Reinforced with Conch Shell Bio-Filler.以海螺壳生物填料增强的膨胀型防火涂料的耐火性与抗老化性能对比研究
Polymers (Basel). 2021 Aug 6;13(16):2620. doi: 10.3390/polym13162620.
6
Impact of Particle Size on Performance of Selective Laser Sintering Walnut Shell/Co-PES Powder.颗粒尺寸对选择性激光烧结核桃壳/共聚醚砜粉末性能的影响
Materials (Basel). 2021 Jan 18;14(2):448. doi: 10.3390/ma14020448.
7
Evaluation of Mussel Shells Powder as Reinforcement for PLA-Based Biocomposites.评价贻贝壳粉作为 PLA 基生物复合材料的增强材料。
Int J Mol Sci. 2020 Jul 28;21(15):5364. doi: 10.3390/ijms21155364.