• 文献检索
  • 文档翻译
  • 深度研究
  • 学术资讯
  • Suppr Zotero 插件Zotero 插件
  • 邀请有礼
  • 套餐&价格
  • 历史记录
应用&插件
Suppr Zotero 插件Zotero 插件浏览器插件Mac 客户端Windows 客户端微信小程序
定价
高级版会员购买积分包购买API积分包
服务
文献检索文档翻译深度研究API 文档MCP 服务
关于我们
关于 Suppr公司介绍联系我们用户协议隐私条款
关注我们

Suppr 超能文献

核心技术专利:CN118964589B侵权必究
粤ICP备2023148730 号-1Suppr @ 2026

文献检索

告别复杂PubMed语法,用中文像聊天一样搜索,搜遍4000万医学文献。AI智能推荐,让科研检索更轻松。

立即免费搜索

文件翻译

保留排版,准确专业,支持PDF/Word/PPT等文件格式,支持 12+语言互译。

免费翻译文档

深度研究

AI帮你快速写综述,25分钟生成高质量综述,智能提取关键信息,辅助科研写作。

立即免费体验

巴西南部孕妇病毒性严重急性呼吸道感染的回顾性横断面分析。

A Retrospective Cross-Sectional Analysis of Viral SARI in Pregnant Women in Southern Brazil.

作者信息

Lissa Sonia Maria, Lapinski Bruna Amaral, Graf Maria Ester, Reda Somaia, Debur Maria do Carmo, Presibella Mayra, Pereira Luciane Aparecida, de Carvalho Newton Sérgio, Carvalho de Oliveira Jaqueline, Raboni Sonia Mara, Nogueira Meri Bordignon

机构信息

Postgraduate Program in Tocogynecology and Women's Health, Federal University of Parana Universidade Federal do Paraná, Curitiba 80060-900, Brazil.

Postgraduate Program in Internal Medicine and Health Science, Federal University of Parana, Curitiba 80060-900, Brazil.

出版信息

Microorganisms. 2024 Jul 30;12(8):1555. doi: 10.3390/microorganisms12081555.

DOI:10.3390/microorganisms12081555
PMID:39203399
原文链接:https://pmc.ncbi.nlm.nih.gov/articles/PMC11356489/
Abstract

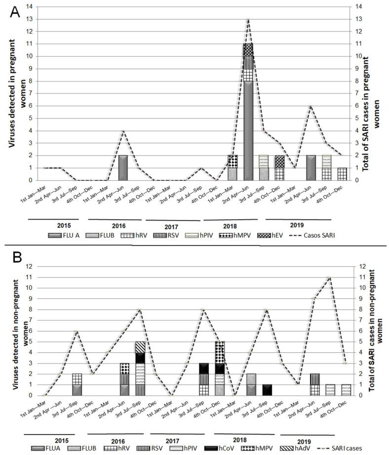
Pregnant women (PW) are at a higher risk of diseases and hospitalization from viral respiratory infections, particularly influenza and SARS-CoV-2, due to cardiopulmonary and immunological changes. This study assessed the impact of viral respiratory infections on PW hospitalized with severe acute respiratory infection (SARI) prior to the COVID-19 pandemic. It is a cross-sectional study with 42 PW and 85 non-pregnant women (NPW) admitted with SARI to two tertiary hospitals between January 2015 and December 2019. The rates of virus prevalence, SARI hospitalization, length of hospital stay, oxygen supplementation, intensive care unit (ICU) admission, and death were comparable between PW and NPW. A multivariate analysis showed that PW had a higher rate of viral SARI hospitalizations (OR = 2.37; 95% CI = 1.02-5.48) as compared to NPW, with the influenza virus being the most prevalent (aOR = 7.58; 95% CI = 1.53-37.66). The length of hospital stays (aOR = 0.83; 95% CI = 0.73-0.95) and admissions to the ICU (aOR = 0.028; 95% CI = 0.004-0.25) were lower in PW as compared to hospitalized NPW. The influenza virus had a greater impact on the frequency of SARI in the group of PW, and these had a better outcome than NPW due to the earlier antiviral treatment they received.

摘要

由于心肺和免疫方面的变化,孕妇更容易因病毒性呼吸道感染而患病并住院,尤其是流感和新冠病毒。本研究评估了病毒性呼吸道感染对在新冠疫情大流行之前因严重急性呼吸道感染(SARI)住院的孕妇的影响。这是一项横断面研究,在2015年1月至2019年12月期间,对两家三级医院收治的42名孕妇和85名非孕妇(NPW)进行了SARI评估。孕妇和非孕妇在病毒流行率、SARI住院率、住院时间、吸氧、重症监护病房(ICU)入院率和死亡率方面相当。多变量分析显示,与非孕妇相比,孕妇因病毒性SARI住院的比例更高(OR = 2.37;95% CI = 1.02 - 5.48),其中流感病毒最为常见(aOR = 7.58;95% CI = 1.53 - 37.66)。与住院的非孕妇相比,孕妇的住院时间(aOR = 0.83;95% CI = 0.73 - 0.95)和ICU入院率(aOR = 0.028;95% CI = 0.004 - 0.25)更低。流感病毒对孕妇组SARI的发生频率影响更大,并且由于她们接受了更早的抗病毒治疗,其预后比非孕妇更好。

https://cdn.ncbi.nlm.nih.gov/pmc/blobs/a639/11356489/4dcc21eb41e7/microorganisms-12-01555-g003.jpg
https://cdn.ncbi.nlm.nih.gov/pmc/blobs/a639/11356489/dd88ef6f1b9d/microorganisms-12-01555-g001.jpg
https://cdn.ncbi.nlm.nih.gov/pmc/blobs/a639/11356489/8486066ea9aa/microorganisms-12-01555-g002.jpg
https://cdn.ncbi.nlm.nih.gov/pmc/blobs/a639/11356489/4dcc21eb41e7/microorganisms-12-01555-g003.jpg
https://cdn.ncbi.nlm.nih.gov/pmc/blobs/a639/11356489/dd88ef6f1b9d/microorganisms-12-01555-g001.jpg
https://cdn.ncbi.nlm.nih.gov/pmc/blobs/a639/11356489/8486066ea9aa/microorganisms-12-01555-g002.jpg
https://cdn.ncbi.nlm.nih.gov/pmc/blobs/a639/11356489/4dcc21eb41e7/microorganisms-12-01555-g003.jpg

相似文献

1
A Retrospective Cross-Sectional Analysis of Viral SARI in Pregnant Women in Southern Brazil.巴西南部孕妇病毒性严重急性呼吸道感染的回顾性横断面分析。
Microorganisms. 2024 Jul 30;12(8):1555. doi: 10.3390/microorganisms12081555.
2
Characteristics and outcomes of pregnant women with SARS-CoV-2 infection and other severe acute respiratory infections (SARI) in Brazil from January to November 2020.2020 年 1 月至 11 月期间巴西感染 SARS-CoV-2 病毒和其他严重急性呼吸道感染(SARI)的孕妇的特征和结局。
Braz J Infect Dis. 2021 Sep-Oct;25(5):101620. doi: 10.1016/j.bjid.2021.101620. Epub 2021 Sep 14.
3
Population-based incidence of severe acute respiratory virus infections among children aged <5 years in rural Bangladesh, June-October 2010.2010年6月至10月孟加拉国农村地区5岁以下儿童严重急性呼吸道病毒感染的人群发病率。
PLoS One. 2014 Feb 25;9(2):e89978. doi: 10.1371/journal.pone.0089978. eCollection 2014.
4
Outcomes of patients with Severe Acute Respiratory Infections (SARI) admitted to the intensive care unit: results from the Egyptian Surveillance Study 2010-2014.入住重症监护病房的严重急性呼吸道感染(SARI)患者的治疗结果:2010 - 2014年埃及监测研究的结果
Multidiscip Respir Med. 2020 Jun 9;15(1):465. doi: 10.4081/mrm.2020.465. eCollection 2020 Jan 28.
5
COVID-19 Across Pandemic Variant Periods: The Severe Acute Respiratory Infection-Preparedness (SARI-PREP) Study.COVID-19 在大流行变异期间:严重急性呼吸道感染准备度(SARI-PREP)研究。
Crit Care Explor. 2024 Jul 18;6(7):e1122. doi: 10.1097/CCE.0000000000001122. eCollection 2024 Jul 1.
6
Clinical and Epidemiological Features of SARS-CoV-2 Patients in SARI Ward of a Tertiary Care Centre in New Delhi.新德里一家三级医疗中心SARI病房中新冠病毒患者的临床和流行病学特征
J Assoc Physicians India. 2020 Jul;68(7):19-26.
7
The association between influenza infections in primary care and intensive care admissions for severe acute respiratory infection (SARI): A modelling approach.初级保健中流感感染与重症急性呼吸道感染(SARI)重症监护入院之间的关联:一种建模方法。
Influenza Other Respir Viruses. 2020 Sep;14(5):575-586. doi: 10.1111/irv.12759. Epub 2020 Jun 12.
8
Severe acute respiratory infections (SARI) from influenza in adult patients in Chile: the experience of a sentinel hospital.智利成年患者中流感所致严重急性呼吸道感染(SARI):一家哨点医院的经验
Rev Panam Salud Publica. 2019 Jan 25;43:e1. doi: 10.26633/RPSP.2019.1. eCollection 2019.
9
Epidemiology of Severe Acute Respiratory Illness and Risk Factors for Influenza Infection and Clinical Severity among Adults in Malawi, 2011-2013.马拉维成人严重急性呼吸道疾病的流行病学和流感感染及临床严重程度的危险因素,2011-2013 年。
Am J Trop Med Hyg. 2018 Sep;99(3):772-779. doi: 10.4269/ajtmh.17-0905. Epub 2018 Jul 19.
10
Epidemiologic Profile of Severe Acute Respiratory Infection in Brazil During the COVID-19 Pandemic: An Epidemiological Study.COVID-19大流行期间巴西严重急性呼吸道感染的流行病学概况:一项流行病学研究
Front Microbiol. 2022 Jul 1;13:911036. doi: 10.3389/fmicb.2022.911036. eCollection 2022.

引用本文的文献

1
Increased maternal and neonatal morbidity and mortality due to severe acute respiratory syndrome in the early years of COVID-19: a descriptive-analytical study, Rio de Janeiro state, Brazil, 2018-2021.2018 - 2021年巴西里约热内卢州:COVID - 19早期因严重急性呼吸综合征导致的孕产妇和新生儿发病率及死亡率上升:一项描述性分析研究
Epidemiol Serv Saude. 2025 Aug 11;34:e20240665. doi: 10.1590/S2237-96222025v34e20240665.en. eCollection 2025.

本文引用的文献

1
Factors associated with COVID-19 vaccination among pregnant women in Rio De Janeiro City, Brazil.与巴西里约热内卢市孕妇接种 COVID-19 疫苗相关的因素。
Sci Rep. 2023 Oct 25;13(1):18235. doi: 10.1038/s41598-023-44370-6.
2
Antiviral Approaches against Influenza Virus.抗流感病毒的策略。
Clin Microbiol Rev. 2023 Mar 23;36(1):e0004022. doi: 10.1128/cmr.00040-22. Epub 2023 Jan 16.
3
Covid-19 vaccination in pregnancy.妊娠期 COVID-19 疫苗接种。
BMJ. 2022 Aug 10;378:e069741. doi: 10.1136/bmj-2021-069741.
4
A multi-country investigation of influenza vaccine coverage in pregnant individuals, 2010-2016.2010 - 2016年对孕妇流感疫苗接种率的多国调查。
Vaccine. 2021 Dec 20;39(52):7598-7605. doi: 10.1016/j.vaccine.2021.11.018. Epub 2021 Nov 19.
5
Incidence of influenza and other respiratory viruses among pregnant women: A multi-country, multiyear cohort.孕妇中流感和其他呼吸道病毒的发病率:一项多国家、多年度队列研究。
Int J Gynaecol Obstet. 2022 Aug;158(2):359-367. doi: 10.1002/ijgo.14018. Epub 2021 Dec 11.
6
Safety, Immunogenicity, Efficacy and Effectiveness of Inactivated Influenza Vaccines in Healthy Pregnant Women and Children Under 5 Years: An Evidence-Based Clinical Review.健康孕妇和 5 岁以下儿童接种流感灭活疫苗的安全性、免疫原性、有效性和效果:基于证据的临床综述。
Front Immunol. 2021 Oct 6;12:744774. doi: 10.3389/fimmu.2021.744774. eCollection 2021.
7
Characteristics and outcomes of pregnant women with SARS-CoV-2 infection and other severe acute respiratory infections (SARI) in Brazil from January to November 2020.2020 年 1 月至 11 月期间巴西感染 SARS-CoV-2 病毒和其他严重急性呼吸道感染(SARI)的孕妇的特征和结局。
Braz J Infect Dis. 2021 Sep-Oct;25(5):101620. doi: 10.1016/j.bjid.2021.101620. Epub 2021 Sep 14.
8
Clinical Effectiveness and Safety of Antivirals for Influenza in Pregnancy.孕期使用抗流感病毒药物的临床有效性与安全性
Open Forum Infect Dis. 2021 Mar 20;8(6):ofab138. doi: 10.1093/ofid/ofab138. eCollection 2021 Jun.
9
Uptake of vaccination in pregnancy.孕期疫苗接种率。
Best Pract Res Clin Obstet Gynaecol. 2021 Oct;76:53-65. doi: 10.1016/j.bpobgyn.2021.03.007. Epub 2021 Apr 6.
10
The effect of influenza virus infection on pregnancy outcomes: A systematic review and meta-analysis of cohort studies.流感病毒感染对妊娠结局的影响:队列研究的系统评价和荟萃分析。
Int J Infect Dis. 2021 Apr;105:567-578. doi: 10.1016/j.ijid.2021.02.095. Epub 2021 Feb 27.