• 文献检索
  • 文档翻译
  • 深度研究
  • 学术资讯
  • Suppr Zotero 插件Zotero 插件
  • 邀请有礼
  • 套餐&价格
  • 历史记录
应用&插件
Suppr Zotero 插件Zotero 插件浏览器插件Mac 客户端Windows 客户端微信小程序
定价
高级版会员购买积分包购买API积分包
服务
文献检索文档翻译深度研究API 文档MCP 服务
关于我们
关于 Suppr公司介绍联系我们用户协议隐私条款
关注我们

Suppr 超能文献

核心技术专利:CN118964589B侵权必究
粤ICP备2023148730 号-1Suppr @ 2026

文献检索

告别复杂PubMed语法,用中文像聊天一样搜索,搜遍4000万医学文献。AI智能推荐,让科研检索更轻松。

立即免费搜索

文件翻译

保留排版,准确专业,支持PDF/Word/PPT等文件格式,支持 12+语言互译。

免费翻译文档

深度研究

AI帮你快速写综述,25分钟生成高质量综述,智能提取关键信息,辅助科研写作。

立即免费体验

基于与炎症和钙磷代谢的相关性设定 25-羟维生素 D 和 1,25-二羟维生素 D 的目标值。

Target Values for 25-Hydroxy and 1,25-Dihydroxy Vitamin D Based on Their Associations with Inflammation and Calcium-Phosphate Metabolism.

机构信息

Fifth Department of Medicine (Nephrology/Endocrinology/Rheumatology/Pneumology), University Medical Center Mannheim, University of Heidelberg, 69120 Mannheim, Germany.

Department of Nephrology, Charité Universitätsmedizin Berlin, 10117 Berlin, Germany.

出版信息

Nutrients. 2024 Aug 13;16(16):2679. doi: 10.3390/nu16162679.

DOI:10.3390/nu16162679
PMID:39203816
原文链接:https://pmc.ncbi.nlm.nih.gov/articles/PMC11357189/
Abstract

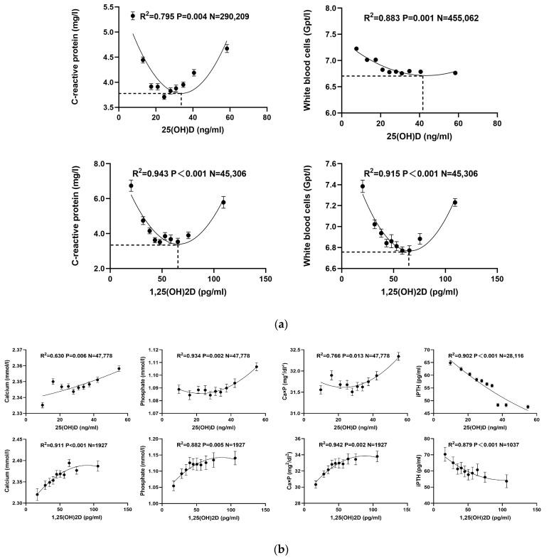
Target values for 25-hydroxy vitamin D and 1,25(OH)D or 1,25-dihydroxy vitamin D remain a topic of debate among clinicians. We analysed data collected from December 2012 to April 2020 from two cohorts. Cohort A, comprising 455,062 subjects, was used to investigate the relationship between inflammatory indicators (white blood cell [WBC] count and C-reactive protein [CRP]) and 25(OH)D/1,25(OH)D. Cohort B, including 47,778 subjects, was used to investigate the connection between 25(OH)D/1,25(OH)D and mineral metabolism markers (phosphate, calcium, and intact parathyroid hormone [iPTH]). Quadratic models fit best for all tested correlations, revealing U-shaped relationships between inflammatory indicators and 25(OH)D and 1,25(OH)D. Minimal CRP and WBC counts were observed at 1,25(OH)D levels of 60 pg/mL and at 25(OH)D levels of 32 ng/mL, as well as of 42 ng/mL, respectively. iPTH correlated inversely with both 1,25(OH)D and 25(OH)D, while phosphate as well as calcium levels positively correlated with both vitamin D forms. Calcium-phosphate product increased sharply when 25(OH)D was more than 50 ng/mL, indicating a possible risk for vascular calcification. Multiple regression analyses confirmed that these correlations were independent of confounders. This study suggests target values for 25(OH)D between 30-50 ng/mL and for 1,25(OH)D between 50-70 pg/mL, based particularly on their associations with inflammation but also with mineral metabolism markers. These findings contribute to the ongoing discussion around ideal levels of vitamin D but require support from independent studies with data on clinical endpoints.

摘要

目标值 25-羟维生素 D 和 1,25(OH)D 或 1,25-二羟维生素 D 仍然是临床医生争论的话题。我们分析了 2012 年 12 月至 2020 年 4 月从两个队列中收集的数据。队列 A 包括 455,062 例受试者,用于研究炎症指标(白细胞计数和 C 反应蛋白)与 25(OH)D/1,25(OH)D 之间的关系。队列 B 包括 47,778 例受试者,用于研究 25(OH)D/1,25(OH)D 与矿物质代谢标志物(磷酸盐、钙和完整甲状旁腺激素 [iPTH])之间的关系。所有测试的相关性都最适合二次模型,表明炎症指标与 25(OH)D 和 1,25(OH)D 之间存在 U 型关系。在 1,25(OH)D 水平为 60 pg/mL 和 25(OH)D 水平为 32 ng/mL 时,观察到最小的 CRP 和白细胞计数,以及分别为 42 ng/mL。iPTH 与 1,25(OH)D 和 25(OH)D 呈负相关,而磷酸盐和钙水平与两种维生素 D 形式均呈正相关。当 25(OH)D 超过 50 ng/mL 时,钙-磷乘积急剧增加,表明血管钙化的风险可能增加。多元回归分析证实,这些相关性不受混杂因素的影响。本研究根据 25(OH)D 与炎症的关联以及与矿物质代谢标志物的关联,建议 25(OH)D 的目标值为 30-50ng/mL,1,25(OH)D 的目标值为 50-70pg/mL。这些发现有助于围绕维生素 D 的理想水平进行持续讨论,但需要来自具有临床终点数据的独立研究的支持。

https://cdn.ncbi.nlm.nih.gov/pmc/blobs/6af6/11357189/d1609f346ae6/nutrients-16-02679-g003.jpg
https://cdn.ncbi.nlm.nih.gov/pmc/blobs/6af6/11357189/297e1a431d80/nutrients-16-02679-g001.jpg
https://cdn.ncbi.nlm.nih.gov/pmc/blobs/6af6/11357189/51c0431c8585/nutrients-16-02679-g002.jpg
https://cdn.ncbi.nlm.nih.gov/pmc/blobs/6af6/11357189/d1609f346ae6/nutrients-16-02679-g003.jpg
https://cdn.ncbi.nlm.nih.gov/pmc/blobs/6af6/11357189/297e1a431d80/nutrients-16-02679-g001.jpg
https://cdn.ncbi.nlm.nih.gov/pmc/blobs/6af6/11357189/51c0431c8585/nutrients-16-02679-g002.jpg
https://cdn.ncbi.nlm.nih.gov/pmc/blobs/6af6/11357189/d1609f346ae6/nutrients-16-02679-g003.jpg

相似文献

1
Target Values for 25-Hydroxy and 1,25-Dihydroxy Vitamin D Based on Their Associations with Inflammation and Calcium-Phosphate Metabolism.基于与炎症和钙磷代谢的相关性设定 25-羟维生素 D 和 1,25-二羟维生素 D 的目标值。
Nutrients. 2024 Aug 13;16(16):2679. doi: 10.3390/nu16162679.
2
Dietary vitamin D intake is not associated with 25-hydroxyvitamin D3 or parathyroid hormone in elderly subjects, whereas the calcium-to-phosphate ratio affects parathyroid hormone.饮食维生素 D 摄入与老年人的 25-羟维生素 D3 或甲状旁腺激素无关,而钙磷比值影响甲状旁腺激素。
Nutr Res. 2013 Aug;33(8):661-7. doi: 10.1016/j.nutres.2013.05.011. Epub 2013 Jun 28.
3
Parathyroid hormone is associated with biomarkers of insulin resistance and inflammation, independent of vitamin D status, in obese adolescents.甲状旁腺激素与肥胖青少年的胰岛素抵抗和炎症的生物标志物有关,而与维生素 D 状态无关。
Metab Syndr Relat Disord. 2012 Dec;10(6):422-9. doi: 10.1089/met.2012.0056. Epub 2012 Jul 31.
4
Hypovitaminosis D in obese children and adolescents: relationship with adiposity, insulin sensitivity, ethnicity, and season.肥胖儿童和青少年的维生素D缺乏症:与肥胖、胰岛素敏感性、种族和季节的关系。
Metabolism. 2008 Feb;57(2):183-91. doi: 10.1016/j.metabol.2007.08.023.
5
Vitamin D status and its association with parathyroid hormone in 23,134 outpatients.23134名门诊患者的维生素D状况及其与甲状旁腺激素的关联
J Steroid Biochem Mol Biol. 2022 Jun;220:106101. doi: 10.1016/j.jsbmb.2022.106101. Epub 2022 Mar 26.
6
Effect of 16-weeks vitamin D replacement on calcium-phosphate homeostasis in overweight and obese adults.16 周补充维生素 D 对超重和肥胖成年人钙磷稳态的影响。
J Steroid Biochem Mol Biol. 2019 Feb;186:169-175. doi: 10.1016/j.jsbmb.2018.10.011. Epub 2018 Oct 25.
7
Vitamin D and parathyroid hormone in relation to bone health in Croatian women.维生素 D 和甲状旁腺激素与克罗地亚女性骨骼健康的关系。
Arch Osteoporos. 2018 Jun 24;13(1):69. doi: 10.1007/s11657-018-0483-z.
8
Total 25(OH) vitamin D, free 25(OH) vitamin D and markers of bone turnover in cirrhotics with and without synthetic dysfunction.伴有或不伴有合成功能障碍的肝硬化患者的总 25(OH)维生素 D、游离 25(OH)维生素 D 及骨转换标志物
Liver Int. 2015 Oct;35(10):2294-300. doi: 10.1111/liv.12819. Epub 2015 Mar 27.
9
Impact of cholecalciferol treatment on biomarkers of inflammation and myocardial structure in hemodialysis patients without hyperparathyroidism.骨化三醇治疗对无甲状旁腺功能亢进症血液透析患者炎症和心肌结构生物标志物的影响。
J Ren Nutr. 2012 Mar;22(2):284-291. doi: 10.1053/j.jrn.2011.07.001. Epub 2011 Sep 10.
10
Early renal impairment affects hormonal regulators of calcium and bone metabolism and Wnt signalling and the response to vitamin D supplementation in healthy older adults.早期肾功能损害会影响健康老年人钙和骨代谢的激素调节剂、Wnt 信号通路以及维生素 D 补充的反应。
J Steroid Biochem Mol Biol. 2023 May;229:106267. doi: 10.1016/j.jsbmb.2023.106267. Epub 2023 Feb 3.

引用本文的文献

1
Effect of vitamin D supplementation on inflammatory status and behavioral symptoms in children with autism spectrum disorders: a double-blind randomized clinical trial.补充维生素D对自闭症谱系障碍儿童炎症状态和行为症状的影响:一项双盲随机临床试验。
BMC Pediatr. 2025 Aug 8;25(1):615. doi: 10.1186/s12887-025-05985-y.
2
A novel indicator for predicting functional recovery in elderly hip fracture patients.一种预测老年髋部骨折患者功能恢复的新型指标。
Front Med (Lausanne). 2025 Mar 13;12:1538038. doi: 10.3389/fmed.2025.1538038. eCollection 2025.
3
Editorial: Vitamin D and mineral ion homeostasis: endocrine dysregulation in chronic diseases.

本文引用的文献

1
Both partial inactivation as well as activation of NF-κB signaling lead to hypertension and chronic kidney disease.NF-κB 信号的部分失活和激活均可导致高血压和慢性肾脏病。
Nephrol Dial Transplant. 2024 Nov 27;39(12):1993-2004. doi: 10.1093/ndt/gfae090.
2
Vitamin D and Chronic Kidney Disease Association with Mineral and Bone Disorder: An Appraisal of Tangled Guidelines.维生素 D 与慢性肾脏病及其与矿物质和骨代谢紊乱的关系:对现有指南的评估。
Nutrients. 2023 Mar 24;15(7):1576. doi: 10.3390/nu15071576.
3
Threshold of 25(OH)D and consequently adjusted parathyroid hormone reference intervals: data mining for relationship between vitamin D and parathyroid hormone.
社论:维生素D与矿物质离子稳态:慢性疾病中的内分泌失调
Front Endocrinol (Lausanne). 2025 Jan 21;16:1493986. doi: 10.3389/fendo.2025.1493986. eCollection 2025.
25(OH)D 阈值和甲状旁腺激素参考区间的相应调整:维生素 D 和甲状旁腺激素之间关系的数据挖掘。
J Endocrinol Invest. 2023 Oct;46(10):2067-2077. doi: 10.1007/s40618-023-02057-9. Epub 2023 Mar 15.
4
An Update on the Effects of Vitamin D on the Immune System and Autoimmune Diseases.维生素 D 对免疫系统和自身免疫性疾病影响的最新研究进展。
Int J Mol Sci. 2022 Aug 29;23(17):9784. doi: 10.3390/ijms23179784.
5
Vitamin D and the Kidney: Two Players, One Console.维生素 D 与肾脏:二者犹如双剑合璧
Int J Mol Sci. 2022 Aug 15;23(16):9135. doi: 10.3390/ijms23169135.
6
Vitamin D status and its association with parathyroid hormone in 23,134 outpatients.23134名门诊患者的维生素D状况及其与甲状旁腺激素的关联
J Steroid Biochem Mol Biol. 2022 Jun;220:106101. doi: 10.1016/j.jsbmb.2022.106101. Epub 2022 Mar 26.
7
Vitamin D and Phosphate Interactions in Health and Disease.维生素 D 与磷在健康与疾病中的相互作用。
Adv Exp Med Biol. 2022;1362:37-46. doi: 10.1007/978-3-030-91623-7_5.
8
Leukocyte count and the risk of adverse outcomes in patients with HFpEF.白细胞计数与 HFpEF 患者不良结局的风险。
BMC Cardiovasc Disord. 2021 Jul 7;21(1):333. doi: 10.1186/s12872-021-02142-y.
9
The role of systemic inflammation in the association between serum 25-hydroxyvitamin D and type 2 diabetes mellitus.全身性炎症在血清 25-羟维生素 D 与 2 型糖尿病之间的关联中的作用。
Clin Nutr. 2021 Jun;40(6):3661-3667. doi: 10.1016/j.clnu.2021.04.029. Epub 2021 Apr 27.
10
Vitamin D regulation of the immune system and its implications for COVID-19: A mini review.维生素D对免疫系统的调节及其对2019冠状病毒病的影响:一篇综述
SAGE Open Med. 2021 May 18;9:20503121211014073. doi: 10.1177/20503121211014073. eCollection 2021.