Suppr超能文献

液体摄入模式与皮炎风险之间的因果关联:一项孟德尔随机化研究。

Causal associations between fluid intake patterns and dermatitis risk: a Mendelian randomization study.

作者信息

Zeng Ruiqi, Guo Beian, Liao Wanzhe, Zhuan Kairui, Chen Huilan, Qin Zixiang, Lin Junxi, Gu Tingyu, Zhou Zhiyi

机构信息

Guangzhou Medical University, Guangzhou, China.

Department of Clinical Medicine, The Nanshan College of Guangzhou Medical University, Guangzhou, China.

出版信息

Front Nutr. 2024 Aug 14;11:1416619. doi: 10.3389/fnut.2024.1416619. eCollection 2024.

Abstract

BACKGROUND

Dermatitis is one of the most common skin disorders across the world. Atopic dermatitis (AD) and contact dermatitis (CD) are its two primary types. Few studies have focused on the causal relationship between fluid intake and dermatitis. With an Mendelian Randomization (MR), this study investigated the potential causal effects of alcohol, coffee, tea, and water intake on the risk of AD and CD.

METHODS

Utilizing genetic variants as instrumental variables (IVs), a two-sample MR analysis was implemented based on data from the UK Biobank and FinnGen r9 consortium. Fluid intake was categorized into alcohol, coffee, tea, and water intake. Causal estimates were analyzed through Inverse Variance Weighted (IVW), MR-Egger, and weighted median methods. Cochran's Q, MR-Egger intercept, and MR-PRESSO tests were conducted to assess potential heterogeneity and pleiotropy.

RESULTS

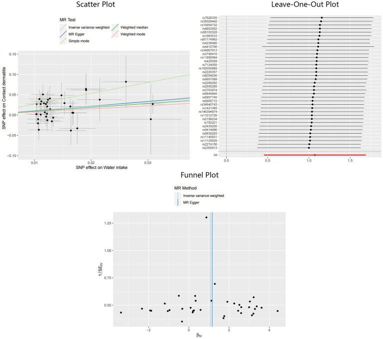
Water intake exhibited a significant causal effect on raised CD risk (IVW OR = 2.92, 95% CI: 1.58-5.41,  = <0.01). Coffee intake was associated with increased CD risk (IVW OR = 2.16, 95% CI: 1.19-3.91,  = 0.01). Conversely, tea intake demonstrated a protective effect on AD risk (IVW OR = 0.71, 95% CI: 0.56-0.91,  = <0.01).

CONCLUSION

This MR study suggests a potential association where water and coffee intake may be linked to an elevated risk of CD, while tea intake may potentially have a mitigating effect on AD risk. Modifying fluid intake patterns could be a targeted approach for dermatitis prevention, emphasizing the need for additional longitudinal studies to validate and expand upon these findings.

摘要

背景

皮炎是全球最常见的皮肤疾病之一。特应性皮炎(AD)和接触性皮炎(CD)是其两种主要类型。很少有研究关注液体摄入与皮炎之间的因果关系。本研究采用孟德尔随机化(MR)方法,调查了酒精、咖啡、茶和水的摄入量对AD和CD风险的潜在因果效应。

方法

利用基因变异作为工具变量(IVs),基于英国生物银行和芬兰基因库r9联盟的数据进行了两样本MR分析。液体摄入分为酒精、咖啡、茶和水的摄入。通过逆方差加权(IVW)、MR-Egger和加权中位数方法分析因果估计值。进行了Cochran's Q检验、MR-Egger截距检验和MR-PRESSO检验,以评估潜在的异质性和多效性。

结果

水的摄入对CD风险升高具有显著的因果效应(IVW OR = 2.92,95% CI:1.58 - 5.41,P = <0.01)。咖啡摄入与CD风险增加相关(IVW OR = 2.16,95% CI:1.19 - 3.91,P = 0.01)。相反,茶的摄入对AD风险具有保护作用(IVW OR = 0.71,95% CI:0.56 - 0.91,P = <0.01)。

结论

这项MR研究表明,水和咖啡的摄入可能与CD风险升高有关,而茶的摄入可能对AD风险具有缓解作用。改变液体摄入模式可能是预防皮炎的一种有针对性的方法,强调需要更多的纵向研究来验证和扩展这些发现。

https://cdn.ncbi.nlm.nih.gov/pmc/blobs/da0f/11349695/3080469774db/fnut-11-1416619-g001.jpg

文献AI研究员

20分钟写一篇综述,助力文献阅读效率提升50倍。

立即体验

用中文搜PubMed

大模型驱动的PubMed中文搜索引擎

马上搜索

文档翻译

学术文献翻译模型,支持多种主流文档格式。

立即体验