Suppr超能文献

射血分数保留的心力衰竭(HFpEF)患者3年和5年新发房颤风险预测模型的构建与验证

Construction and validation of a risk prediction model for 3- and 5-year new-onset atrial fibrillation in HFpEF patients.

作者信息

Wang Shuaishuai, Xie Zhonglei, Wang Fengjiao, Zhang Wenzhong

机构信息

Department of Cardiology, Affiliated Hospital of Qingdao University, Shandong, China.

Institutes of Biomedical Sciences, Fudan University, Shanghai, China.

出版信息

Front Cardiovasc Med. 2024 Aug 16;11:1429431. doi: 10.3389/fcvm.2024.1429431. eCollection 2024.

Abstract

BACKGROUND

Patients with heart failure (HF) with preserved ejection fraction (HFpEF) are more prone to atrial fibrillation (AF) compared to those with heart failure with reduced ejection fraction (HFrEF). Nevertheless, a risk prediction model for new-onset atrial fibrillation (NOAF) in HFpEF patients remains a notable gap, especially with respect to imaging indicators.

METHODS

We retrospectively analyzed 402 HFpEF subjects reviewed at the Affiliated Hospital of Qingdao University from 2017 to 2023. Cox regression analysis was performed to screen predictors of NOAF. A nomogram was constructed based on these factors and internally validated through the bootstrap resampling method. A performance comparison between the nomogram and the mCHEST score was performed.

RESULTS

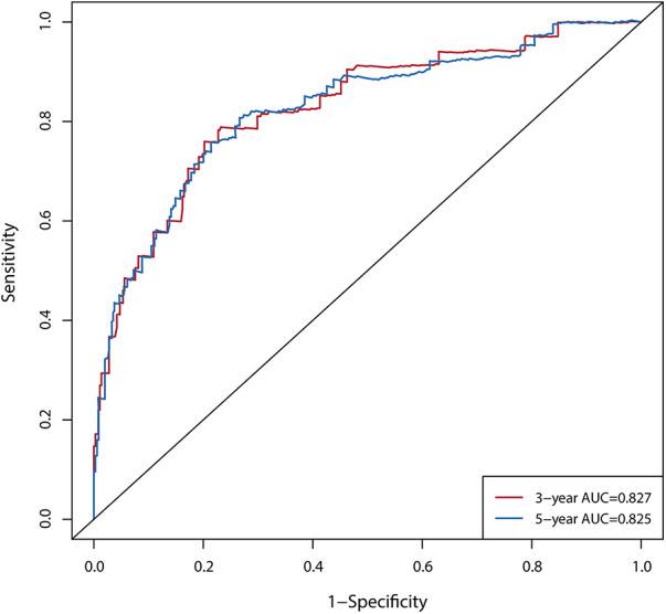
Out of the 402 participants, 62 (15%) developed atrial fibrillation. The risk factors for NOAF were finally screened out to include age, chronic obstructive pulmonary disease (COPD), hyperthyroidism, renal dysfunction, left atrial anterior-posterior diameter (LAD), and pulmonary artery systolic pressure (PASP), all of which were identified to create the nomogram. We calculated the bootstrap-corrected C-index (0.819, 95% CI: 0.762-0.870) and drew receiver operator characteristic (ROC) curves [3-year areas under curves (AUC) = 0.827, 5-year AUC = 0.825], calibration curves, and clinical decision curves to evaluate the discrimination, calibration, and clinical adaptability of the six-factor nomogram. Based on two cutoff values calculated by X-tile software, the moderate- and high-risk groups had more NOAF cases than the low-risk group ( < 0.0001). Our nomogram showed better 3- and 5-year NOAF predictive performance than the mCHEST score estimated by the Integrated Discriminant Improvement Index (IDI) and the Net Reclassification Index (NRI) ( < 0.05).

CONCLUSIONS

The nomogram combining clinical features with echocardiographic indices helps predict NOAF among HFpEF patients.

摘要

背景

与射血分数降低的心力衰竭(HFrEF)患者相比,射血分数保留的心力衰竭(HFpEF)患者更容易发生心房颤动(AF)。然而,HFpEF患者新发心房颤动(NOAF)的风险预测模型仍然存在显著差距,尤其是在影像指标方面。

方法

我们回顾性分析了2017年至2023年在青岛大学附属医院接受检查的402例HFpEF受试者。进行Cox回归分析以筛选NOAF的预测因素。基于这些因素构建列线图,并通过自助重采样法进行内部验证。对列线图和mCHEST评分进行性能比较。

结果

在402名参与者中,62人(15%)发生了心房颤动。最终筛选出的NOAF危险因素包括年龄、慢性阻塞性肺疾病(COPD)、甲状腺功能亢进、肾功能不全、左心房前后径(LAD)和肺动脉收缩压(PASP),所有这些因素都被用于创建列线图。我们计算了自助校正的C指数(0.819,95%CI:0.762 - 0.870),并绘制了受试者工作特征(ROC)曲线[3年曲线下面积(AUC) = 0.827,5年AUC = 0.825]、校准曲线和临床决策曲线,以评估六因素列线图的辨别力、校准度和临床适用性。基于X-tile软件计算的两个临界值,中高危组的NOAF病例比低风险组更多(<0.0001)。我们的列线图在3年和5年NOAF预测性能方面优于通过综合判别改善指数(IDI)和净重新分类指数(NRI)估计的mCHEST评分(<0.05)。

结论

结合临床特征和超声心动图指标的列线图有助于预测HFpEF患者的NOAF。

https://cdn.ncbi.nlm.nih.gov/pmc/blobs/dd1d/11362097/633e1132f238/fcvm-11-1429431-g001.jpg

文献检索

告别复杂PubMed语法,用中文像聊天一样搜索,搜遍4000万医学文献。AI智能推荐,让科研检索更轻松。

立即免费搜索

文件翻译

保留排版,准确专业,支持PDF/Word/PPT等文件格式,支持 12+语言互译。

免费翻译文档

深度研究

AI帮你快速写综述,25分钟生成高质量综述,智能提取关键信息,辅助科研写作。

立即免费体验