• 文献检索
  • 文档翻译
  • 深度研究
  • 学术资讯
  • Suppr Zotero 插件Zotero 插件
  • 邀请有礼
  • 套餐&价格
  • 历史记录
应用&插件
Suppr Zotero 插件Zotero 插件浏览器插件Mac 客户端Windows 客户端微信小程序
定价
高级版会员购买积分包购买API积分包
服务
文献检索文档翻译深度研究API 文档MCP 服务
关于我们
关于 Suppr公司介绍联系我们用户协议隐私条款
关注我们

Suppr 超能文献

核心技术专利:CN118964589B侵权必究
粤ICP备2023148730 号-1Suppr @ 2026

文献检索

告别复杂PubMed语法,用中文像聊天一样搜索,搜遍4000万医学文献。AI智能推荐,让科研检索更轻松。

立即免费搜索

文件翻译

保留排版,准确专业,支持PDF/Word/PPT等文件格式,支持 12+语言互译。

免费翻译文档

深度研究

AI帮你快速写综述,25分钟生成高质量综述,智能提取关键信息,辅助科研写作。

立即免费体验

阻塞性睡眠呼吸暂停中青年患者轻度认知障碍诊断模型的建立:一项前瞻性观察研究

Development of a diagnostic model for detecting mild cognitive impairment in young and middle-aged patients with obstructive sleep apnea: a prospective observational study.

作者信息

Wang Shuo, Fan Ji-Min, Xie Mian-Mian, Yang Jiao-Hong, Zeng Yi-Ming

机构信息

The School of Nursing, Fujian Medical University, Fuzhou, China.

Department of Respiratory Pulmonary and Critical Care Medicine, The Second Affiliated Hospital of Fujian Medical University, Quanzhou, China.

出版信息

Front Neurol. 2024 Aug 21;15:1431127. doi: 10.3389/fneur.2024.1431127. eCollection 2024.

DOI:10.3389/fneur.2024.1431127
PMID:39233685
原文链接:https://pmc.ncbi.nlm.nih.gov/articles/PMC11371584/
Abstract

OBJECTIVES

Obstructive sleep apnea (OSA) is a common sleep-disordered breathing condition linked to the accelerated onset of mild cognitive impairment (MCI). However, the prevalence of undiagnosed MCI among OSA patients is high and attributable to the complexity and specialized nature of MCI diagnosis. Timely identification and intervention for MCI can potentially prevent or delay the onset of dementia. This study aimed to develop screening models for MCI in OSA patients that will be suitable for healthcare professionals in diverse settings and can be effectively utilized without specialized neurological training.

METHODS

A prospective observational study was conducted at a specialized sleep medicine center from April 2021 to September 2022. Three hundred and fifty consecutive patients (age: 18-60 years) suspected OSA, underwent the Montreal Cognitive Assessment (MoCA) and polysomnography overnight. Demographic and clinical data, including polysomnographic sleep parameters and additional cognitive function assessments were collected from OSA patients. The data were divided into training (70%) and validation (30%) sets, and predictors of MCI were identified using univariate and multivariate logistic regression analyses. Models were evaluated for predictive accuracy and calibration, with nomograms for application.

RESULTS

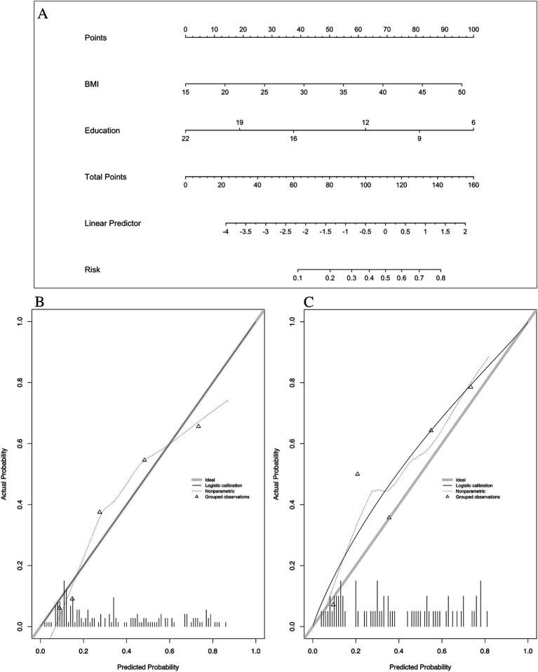
Two hundred and thirty-three patients with newly diagnosed OSA were enrolled. The proportion of patients with MCI was 38.2%. Three diagnostic models, each with an accompanying nomogram, were developed. Model 1 utilized body mass index (BMI) and years of education as predictors. Model 2 incorporated N1 and the score of backward task of the digital span test (DST_B) into the base of Model 1. Model 3 expanded upon Model 1 by including the total score of digital span test (DST). Each of these models exhibited robust discriminatory power and calibration. The C-statistics for Model 1, 2, and 3 were 0.803 [95% confidence interval (CI): 0.735-0.872], 0.849 (95% CI: 0.788-0.910), and 0.83 (95% CI: 0.763-0.896), respectively.

CONCLUSION

Three straightforward diagnostic models, each requiring only two to four easily accessible parameters, were developed that demonstrated high efficacy. These models offer a convenient diagnostic tool for healthcare professionals in diverse healthcare settings, facilitating timely and necessary further evaluation and intervention for OSA patients at an increased risk of MCI.

摘要

目的

阻塞性睡眠呼吸暂停(OSA)是一种常见的睡眠呼吸障碍疾病,与轻度认知障碍(MCI)的加速发作有关。然而,OSA患者中未被诊断出的MCI患病率很高,这归因于MCI诊断的复杂性和专业性。及时识别和干预MCI有可能预防或延缓痴呆症的发作。本研究旨在开发适用于不同环境下医疗保健专业人员的OSA患者MCI筛查模型,且无需专门的神经学培训即可有效利用。

方法

2021年4月至2022年9月在一家专业睡眠医学中心进行了一项前瞻性观察研究。350名连续的疑似OSA患者(年龄:18 - 60岁)接受了蒙特利尔认知评估(MoCA)和整夜多导睡眠图检查。收集了OSA患者的人口统计学和临床数据,包括多导睡眠图睡眠参数和额外的认知功能评估。数据被分为训练集(70%)和验证集(30%),并使用单变量和多变量逻辑回归分析确定MCI的预测因素。对模型的预测准确性和校准进行评估,并绘制列线图以供应用。

结果

纳入了233名新诊断的OSA患者。MCI患者的比例为38.2%。开发了三个诊断模型,每个模型都配有一个列线图。模型1使用体重指数(BMI)和受教育年限作为预测因素。模型2在模型1的基础上纳入了N1和数字广度测试反向任务得分(DST_B)。模型3在模型1的基础上增加了数字广度测试总分(DST)。这些模型均表现出强大的辨别力和校准能力。模型1、2和3的C统计量分别为0.803 [95%置信区间(CI):0.735 - 0.872]、0.849(95% CI:0.788 - 0.910)和0.83(95% CI:0.763 - 0.896)。

结论

开发了三个简单的诊断模型,每个模型仅需两到四个易于获取的参数,且显示出高效性。这些模型为不同医疗环境中的医疗保健专业人员提供了一种便捷的诊断工具,有助于对有MCI风险增加的OSA患者进行及时且必要的进一步评估和干预。

https://cdn.ncbi.nlm.nih.gov/pmc/blobs/fe70/11371584/0466a0194011/fneur-15-1431127-g005.jpg
https://cdn.ncbi.nlm.nih.gov/pmc/blobs/fe70/11371584/e100c1694cd7/fneur-15-1431127-g001.jpg
https://cdn.ncbi.nlm.nih.gov/pmc/blobs/fe70/11371584/01097f5fdd6e/fneur-15-1431127-g002.jpg
https://cdn.ncbi.nlm.nih.gov/pmc/blobs/fe70/11371584/fb65e16a887e/fneur-15-1431127-g003.jpg
https://cdn.ncbi.nlm.nih.gov/pmc/blobs/fe70/11371584/2c3fb29def8e/fneur-15-1431127-g004.jpg
https://cdn.ncbi.nlm.nih.gov/pmc/blobs/fe70/11371584/0466a0194011/fneur-15-1431127-g005.jpg
https://cdn.ncbi.nlm.nih.gov/pmc/blobs/fe70/11371584/e100c1694cd7/fneur-15-1431127-g001.jpg
https://cdn.ncbi.nlm.nih.gov/pmc/blobs/fe70/11371584/01097f5fdd6e/fneur-15-1431127-g002.jpg
https://cdn.ncbi.nlm.nih.gov/pmc/blobs/fe70/11371584/fb65e16a887e/fneur-15-1431127-g003.jpg
https://cdn.ncbi.nlm.nih.gov/pmc/blobs/fe70/11371584/2c3fb29def8e/fneur-15-1431127-g004.jpg
https://cdn.ncbi.nlm.nih.gov/pmc/blobs/fe70/11371584/0466a0194011/fneur-15-1431127-g005.jpg

相似文献

1
Development of a diagnostic model for detecting mild cognitive impairment in young and middle-aged patients with obstructive sleep apnea: a prospective observational study.阻塞性睡眠呼吸暂停中青年患者轻度认知障碍诊断模型的建立:一项前瞻性观察研究
Front Neurol. 2024 Aug 21;15:1431127. doi: 10.3389/fneur.2024.1431127. eCollection 2024.
2
Severe obstructive sleep apnea in patients with chronic obstructive pulmonary disease is associated with an increased prevalence of mild cognitive impairment.慢性阻塞性肺疾病患者的重度阻塞性睡眠呼吸暂停与轻度认知障碍患病率增加有关。
Sleep Med. 2020 Nov;75:522-530. doi: 10.1016/j.sleep.2020.05.002. Epub 2020 May 11.
3
Electroencephalographic slowdowns during sleep are associated with cognitive impairment in patients who have obstructive sleep apnea but no dementia.睡眠期间脑电图的减慢与阻塞性睡眠呼吸暂停但没有痴呆的患者的认知障碍有关。
Sleep Breath. 2023 Dec;27(6):2315-2324. doi: 10.1007/s11325-023-02843-y. Epub 2023 May 8.
4
Increased serum levels of cyclophilin a and matrix metalloproteinase-9 are associated with cognitive impairment in patients with obstructive sleep apnea.阻塞性睡眠呼吸暂停患者血清亲环素A和基质金属蛋白酶-9水平升高与认知障碍相关。
Sleep Med. 2022 May;93:75-83. doi: 10.1016/j.sleep.2021.10.009. Epub 2021 Oct 21.
5
Complement protein levels in serum astrocyte-derived exosomes are associated with cognitive impairment in obstructive sleep apnea.血清星形胶质细胞衍生的外泌体中补体蛋白水平与阻塞性睡眠呼吸暂停相关认知障碍有关。
J Clin Sleep Med. 2023 Apr 1;19(4):727-739. doi: 10.5664/jcsm.10412.
6
Subjective cognitive complaints and objective cognitive impairment in patients suspected of obstructive sleep apnea who underwent polysomnography.疑似阻塞性睡眠呼吸暂停患者行多导睡眠图检查后的主观认知主诉和客观认知损害。
Int J Geriatr Psychiatry. 2024 Jan;39(1):e6055. doi: 10.1002/gps.6055.
7
Cognitive Function in a Sleep Clinic Cohort of Patients with Obstructive Sleep Apnea.阻塞性睡眠呼吸暂停患者睡眠诊所队列的认知功能。
Ann Am Thorac Soc. 2021 May;18(5):865-875. doi: 10.1513/AnnalsATS.202004-313OC.
8
Mitochondrial dysfunction is associated with cognitive impairment in adults with OSA without dementia.线粒体功能障碍与非痴呆 OSA 成人的认知障碍有关。
Sleep Med. 2024 Jul;119:234-243. doi: 10.1016/j.sleep.2024.04.035. Epub 2024 Apr 25.
9
Polysomnography in patients with obstructive sleep apnea: an evidence-based analysis.阻塞性睡眠呼吸暂停患者的多导睡眠图:一项基于证据的分析。
Ont Health Technol Assess Ser. 2006;6(13):1-38. Epub 2006 Jun 1.
10
The study of the relationship between moderate to severe sleep obstructive apnea and cognitive impairment, anxiety, and depression.中度至重度睡眠呼吸暂停与认知障碍、焦虑和抑郁之间关系的研究。
Front Neurol. 2024 May 10;15:1363005. doi: 10.3389/fneur.2024.1363005. eCollection 2024.

本文引用的文献

1
The Association Between Cognition of Obstructive Sleep Apnea Patients and Urinary AD7c-NTP Level: Investigation and Application.阻塞性睡眠呼吸暂停患者认知功能与尿 AD7c-NTP 水平的相关性:研究与应用。
J Alzheimers Dis. 2022;90(3):1215-1231. doi: 10.3233/JAD-220451.
2
Development and validation of a nomogram for predicting mild cognitive impairment in middle-aged and elderly people.开发和验证一种预测中老年人群轻度认知障碍的列线图。
Asian J Psychiatr. 2022 Sep;75:103224. doi: 10.1016/j.ajp.2022.103224. Epub 2022 Jul 19.
3
Correlates of excessive daytime sleepiness in obstructive sleep apnea: Results from the nationwide SESAR cohort including 34,684 patients.
阻塞性睡眠呼吸暂停患者日间嗜睡的相关因素:来自全国 SESAR 队列的研究结果,共纳入 34684 例患者。
J Sleep Res. 2022 Dec;31(6):e13690. doi: 10.1111/jsr.13690. Epub 2022 Jul 22.
4
Cognitive Function Assessment and Prediction for Subjective Cognitive Decline and Mild Cognitive Impairment.认知功能评估和预测主观认知下降和轻度认知障碍。
Brain Imaging Behav. 2022 Apr;16(2):645-658. doi: 10.1007/s11682-021-00545-1. Epub 2021 Sep 7.
5
Obstructive sleep apnea, depression and cognitive impairment.阻塞性睡眠呼吸暂停、抑郁症与认知障碍。
Sleep Med. 2020 Aug;72:50-58. doi: 10.1016/j.sleep.2020.03.017. Epub 2020 Mar 23.
6
Cognitive profiles in obstructive sleep apnea: a cluster analysis in sleep clinic and community samples.阻塞性睡眠呼吸暂停的认知特征:睡眠诊所和社区样本的聚类分析
J Clin Sleep Med. 2020 Sep 15;16(9):1493-1505. doi: 10.5664/jcsm.8564.
7
Cognitive Effects of Treating Obstructive Sleep Apnea: A Meta-Analysis of Randomized Controlled Trials.治疗阻塞性睡眠呼吸暂停的认知效应:随机对照试验的荟萃分析。
J Alzheimers Dis. 2020;75(3):705-715. doi: 10.3233/JAD-200088.
8
Objective measurement of sleep in mild cognitive impairment: A systematic review and meta-analysis.轻度认知障碍患者睡眠的客观测量:系统评价和荟萃分析。
Sleep Med Rev. 2020 Aug;52:101308. doi: 10.1016/j.smrv.2020.101308. Epub 2020 Mar 13.
9
Obstructive sleep apnea, cognition and Alzheimer's disease: A systematic review integrating three decades of multidisciplinary research.阻塞性睡眠呼吸暂停、认知和阿尔茨海默病:整合三十多年多学科研究的系统综述。
Sleep Med Rev. 2020 Apr;50:101250. doi: 10.1016/j.smrv.2019.101250. Epub 2019 Dec 12.
10
Obstructive Sleep Apnea.阻塞性睡眠呼吸暂停。
Ann Intern Med. 2019 Dec 3;171(11):ITC81-ITC96. doi: 10.7326/AITC201912030.