• 文献检索
  • 文档翻译
  • 深度研究
  • 学术资讯
  • Suppr Zotero 插件Zotero 插件
  • 邀请有礼
  • 套餐&价格
  • 历史记录
应用&插件
Suppr Zotero 插件Zotero 插件浏览器插件Mac 客户端Windows 客户端微信小程序
定价
高级版会员购买积分包购买API积分包
服务
文献检索文档翻译深度研究API 文档MCP 服务
关于我们
关于 Suppr公司介绍联系我们用户协议隐私条款
关注我们

Suppr 超能文献

核心技术专利:CN118964589B侵权必究
粤ICP备2023148730 号-1Suppr @ 2026

文献检索

告别复杂PubMed语法,用中文像聊天一样搜索,搜遍4000万医学文献。AI智能推荐,让科研检索更轻松。

立即免费搜索

文件翻译

保留排版,准确专业,支持PDF/Word/PPT等文件格式,支持 12+语言互译。

免费翻译文档

深度研究

AI帮你快速写综述,25分钟生成高质量综述,智能提取关键信息,辅助科研写作。

立即免费体验

对话代理促成的电子接触减少了阿富汗的族际偏见和焦虑。

E-contact facilitated by conversational agents reduces interethnic prejudice and anxiety in Afghanistan.

作者信息

Sahab Sofia, Haqbeen Jawad, Hadfi Rafik, Ito Takayuki, Imade Richard Eke, Ohnuma Susumu, Hasegawa Takuya

机构信息

Department of Social Informatics, Kyoto University, Kyoto, Japan.

Department of International Cooperation Studies, Nagoya University, Nagoya, Japan.

出版信息

Commun Psychol. 2024 Mar 21;2(1):22. doi: 10.1038/s44271-024-00070-z.

DOI:10.1038/s44271-024-00070-z
PMID:39242893
原文链接:https://pmc.ncbi.nlm.nih.gov/articles/PMC11332027/
Abstract

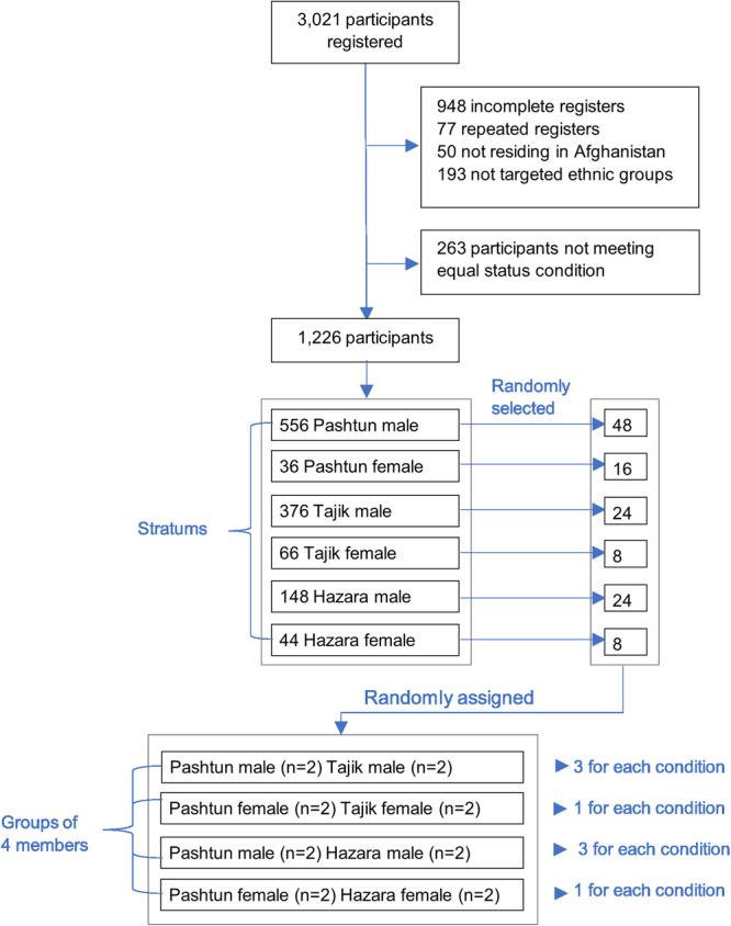
Intergroup contact occurring through indirect means such as the internet has the potential to improve intergroup relationships and may be especially beneficial in high conflict situations. Here we conducted a three-timepoint online experiment to ascertain whether the use of a conversational agent in E-contact platforms could mitigate interethnic prejudices and hostility among Afghanistan's historically segregated and persistently conflictual ethnic groups. 128 Afghans of Pashtun, Tajik, and Hazara backgrounds were assigned to one of four E-contact conditions (control with no conversational agent and three experimental groups that varied in the conversational agent settings). Participants in the experimental conditions contributed more ideas and longer opinions and showed a greater reduction in outgroup prejudice and anxiety than those in the control group. These findings demonstrate that E-contact facilitated by a conversational agent can improve intergroup attitudes even in contexts characterized by a long history of intergroup segregation and conflict.

摘要

通过互联网等间接方式进行的群体间接触有可能改善群体间关系,在高度冲突的情况下可能尤其有益。在这里,我们进行了一项三时间点的在线实验,以确定在电子接触平台中使用对话代理是否可以减轻阿富汗历史上隔离且冲突持续的不同种族群体之间的种族间偏见和敌意。128名普什图、塔吉克和哈扎拉背景的阿富汗人被分配到四种电子接触条件之一(无对话代理的对照组和对话代理设置不同的三个实验组)。与对照组相比,实验组的参与者提出了更多的想法和更长的意见,并且对外群体的偏见和焦虑减少得更多。这些发现表明,即使在群体间长期隔离和冲突的背景下,由对话代理促成的电子接触也可以改善群体间态度。

https://cdn.ncbi.nlm.nih.gov/pmc/blobs/5b8f/11332027/ac3e88d0efba/44271_2024_70_Fig2_HTML.jpg
https://cdn.ncbi.nlm.nih.gov/pmc/blobs/5b8f/11332027/ded9102eff8f/44271_2024_70_Fig1_HTML.jpg
https://cdn.ncbi.nlm.nih.gov/pmc/blobs/5b8f/11332027/ac3e88d0efba/44271_2024_70_Fig2_HTML.jpg
https://cdn.ncbi.nlm.nih.gov/pmc/blobs/5b8f/11332027/ded9102eff8f/44271_2024_70_Fig1_HTML.jpg
https://cdn.ncbi.nlm.nih.gov/pmc/blobs/5b8f/11332027/ac3e88d0efba/44271_2024_70_Fig2_HTML.jpg

相似文献

1
E-contact facilitated by conversational agents reduces interethnic prejudice and anxiety in Afghanistan.对话代理促成的电子接触减少了阿富汗的族际偏见和焦虑。
Commun Psychol. 2024 Mar 21;2(1):22. doi: 10.1038/s44271-024-00070-z.
2
Afghanistan's ethnic groups share a Y-chromosomal heritage structured by historical events.阿富汗的族群共享由历史事件塑造的 Y 染色体遗传结构。
PLoS One. 2012;7(3):e34288. doi: 10.1371/journal.pone.0034288. Epub 2012 Mar 28.
3
Emotions in Intergroup Contact: Incidental and Integral Emotions' Effects on Interethnic Bias Are Moderated by Emotion Applicability and Subjective Agency.群体间接触中的情绪:附带情绪和整合情绪对族裔间偏见的影响受情绪适用性和主观能动性的调节。
Front Psychol. 2021 May 28;12:588944. doi: 10.3389/fpsyg.2021.588944. eCollection 2021.
4
Effects of intergroup contact on explicit and implicit outgroup attitudes: A longitudinal field study with majority and minority group members.群体间接触对外群体态度的内隐和外显影响:一项对多数群体和少数群体成员的纵向实地研究。
Br J Soc Psychol. 2023 Jan;62(1):215-240. doi: 10.1111/bjso.12558. Epub 2022 Jul 13.
5
Rejected! Cognitions of rejection and intergroup anxiety as mediators of the impact of cross-group friendships on prejudice.被拒绝!作为跨群体友谊对偏见影响的中介因素的被拒绝认知和群体间焦虑。
Br J Soc Psychol. 2009 Sep;48(Pt 3):389-405. doi: 10.1348/014466608X387089. Epub 2008 Dec 10.
6
Imagine Being Humble: Integrating Imagined Intergroup Contact and Cultural Humility to Foster Inclusive Intergroup Relations.设想谦逊:整合想象中的群体间接触与文化谦逊以促进包容性群体间关系。
Behav Sci (Basel). 2024 Jan 14;14(1):51. doi: 10.3390/bs14010051.
7
Buffering anti-fat attitudes using contact: The roles of contact quantity, duration, favorability, and intergroup anxiety.使用接触来缓冲反脂肪态度:接触数量、持续时间、好感度和群际焦虑的作用。
Body Image. 2021 Sep;38:120-126. doi: 10.1016/j.bodyim.2021.03.019. Epub 2021 Apr 19.
8
A meta-analytic test of intergroup contact theory.群体间接触理论的元分析检验。
J Pers Soc Psychol. 2006 May;90(5):751-83. doi: 10.1037/0022-3514.90.5.751.
9
Affective mediators of intergroup contact: a three-wave longitudinal study in South Africa.群体间接触的情感中介:南非的一项三波纵向研究。
J Pers Soc Psychol. 2011 Dec;101(6):1221-38. doi: 10.1037/a0024450. Epub 2011 Jul 4.
10
Contextual effect of positive intergroup contact on outgroup prejudice.积极的群体间接触对外群偏见的情境影响。
Proc Natl Acad Sci U S A. 2014 Mar 18;111(11):3996-4000. doi: 10.1073/pnas.1320901111. Epub 2014 Mar 3.

本文引用的文献

1
Non-normal Data in Repeated Measures ANOVA: Impact on Type I Error and Power.重复测量方差分析中的非正态数据:对Ⅰ类错误和功效的影响。
Psicothema. 2023 Feb;35(1):21-29. doi: 10.7334/psicothema2022.292.
2
A System for Converting and Recovering Texts Managed as Structured Information.一种将管理为结构化信息的文本进行转换和恢复的系统。
Sci Rep. 2022 Dec 23;12(1):22249. doi: 10.1038/s41598-022-26304-w.
3
Assessing the impact of novelty and conformity on hesitancy towards COVID-19 vaccines using mRNA technology.评估新颖性和从众性对使用mRNA技术的COVID-19疫苗犹豫态度的影响。
Commun Med (Lond). 2022 May 31;2:61. doi: 10.1038/s43856-022-00123-6. eCollection 2022.
4
Argumentative Conversational Agents for Online Discussions.用于在线讨论的辩论性对话代理。
J Syst Sci Syst Eng. 2021;30(4):450-464. doi: 10.1007/s11518-021-5497-1. Epub 2021 May 25.
5
Anti-Asian Hate Crime During the COVID-19 Pandemic: Exploring the Reproduction of Inequality.新冠疫情期间的反亚裔仇恨犯罪:探究不平等的再现
Am J Crim Justice. 2020;45(4):647-667. doi: 10.1007/s12103-020-09545-1. Epub 2020 Jul 7.
6
Building social cohesion between Christians and Muslims through soccer in post-ISIS Iraq.在伊拉克伊斯兰国(ISIS)之后,通过足球在基督徒和穆斯林之间建立社会凝聚力。
Science. 2020 Aug 14;369(6505):866-870. doi: 10.1126/science.abb3153.
7
The impact of patient sex on intensive care unit admission: a blinded randomized survey.患者性别对重症监护病房入院的影响:一项盲法随机调查。
Sci Rep. 2019 Oct 2;9(1):14222. doi: 10.1038/s41598-019-50836-3.
8
Non-normal data: Is ANOVA still a valid option?非正态数据:方差分析仍然是一个有效的选择吗?
Psicothema. 2017 Nov;29(4):552-557. doi: 10.7334/psicothema2016.383.
9
Intergroup contact as a tool for reducing, resolving, and preventing intergroup conflict: evidence, limitations, and potential.群体间接触作为减少、解决和预防群体间冲突的工具:证据、局限性和潜力。
Am Psychol. 2013 Oct;68(7):527-42. doi: 10.1037/a0032603.
10
The contact caveat: negative contact predicts increased prejudice more than positive contact predicts reduced prejudice.接触警示:负面接触比正面接触更能预测增加偏见。
Pers Soc Psychol Bull. 2012 Dec;38(12):1629-43. doi: 10.1177/0146167212457953. Epub 2012 Aug 31.