• 文献检索
  • 文档翻译
  • 深度研究
  • 学术资讯
  • Suppr Zotero 插件Zotero 插件
  • 邀请有礼
  • 套餐&价格
  • 历史记录
应用&插件
Suppr Zotero 插件Zotero 插件浏览器插件Mac 客户端Windows 客户端微信小程序
定价
高级版会员购买积分包购买API积分包
服务
文献检索文档翻译深度研究API 文档MCP 服务
关于我们
关于 Suppr公司介绍联系我们用户协议隐私条款
关注我们

Suppr 超能文献

核心技术专利:CN118964589B侵权必究
粤ICP备2023148730 号-1Suppr @ 2026

文献检索

告别复杂PubMed语法,用中文像聊天一样搜索,搜遍4000万医学文献。AI智能推荐,让科研检索更轻松。

立即免费搜索

文件翻译

保留排版,准确专业,支持PDF/Word/PPT等文件格式,支持 12+语言互译。

免费翻译文档

深度研究

AI帮你快速写综述,25分钟生成高质量综述,智能提取关键信息,辅助科研写作。

立即免费体验

极低密度脂蛋白胆固醇与总脂质比率和消化性溃疡之间的因果关联:一项双向孟德尔随机化研究。

Causal associations between intermediate very-low-density lipoprotein cholesterol-to-total lipids ratio and peptic ulcer: A bidirectional Mendelian randomization study.

作者信息

Lin Chun-Mei, Meng Qian, Li Ying-Jun, Zhang Shuang-Xi, Luo Qiong-Xi, Dai Zhen-Yu

机构信息

Postgraduate Student, Guangzhou University of Chinese Medicine, Guangzhou 510006, Guangdong Province, China.

Department of Gastroenterology, Guangzhou University of Chinese Medicine Shunde Hospital, Foshan 528300, Guangdong Province, China.

出版信息

World J Clin Cases. 2024 Sep 6;12(25):5729-5738. doi: 10.12998/wjcc.v12.i25.5729.

DOI:10.12998/wjcc.v12.i25.5729
PMID:39247748
原文链接:https://pmc.ncbi.nlm.nih.gov/articles/PMC11263067/
Abstract

BACKGROUND

Previous epidemiologic investigations have consistently demonstrated a strong association between the ratio of cholesterol to total lipids in medium very-low-density lipoprotein (VLDL) and the occurrence of peptic ulcers (PU). However, the precise causal relationship between these factors remains ambiguous. Consequently, this study aims to elucidate the potential correlation between the ratio of cholesterol to total lipids in medium VLDL and the incidence of peptic ulcer.

AIM

To investigate the ratio of cholesterol to total lipids in medium very-low-density lipoprotein (VLDL) association with PU genetic methods, guiding future clinical research.

METHODS

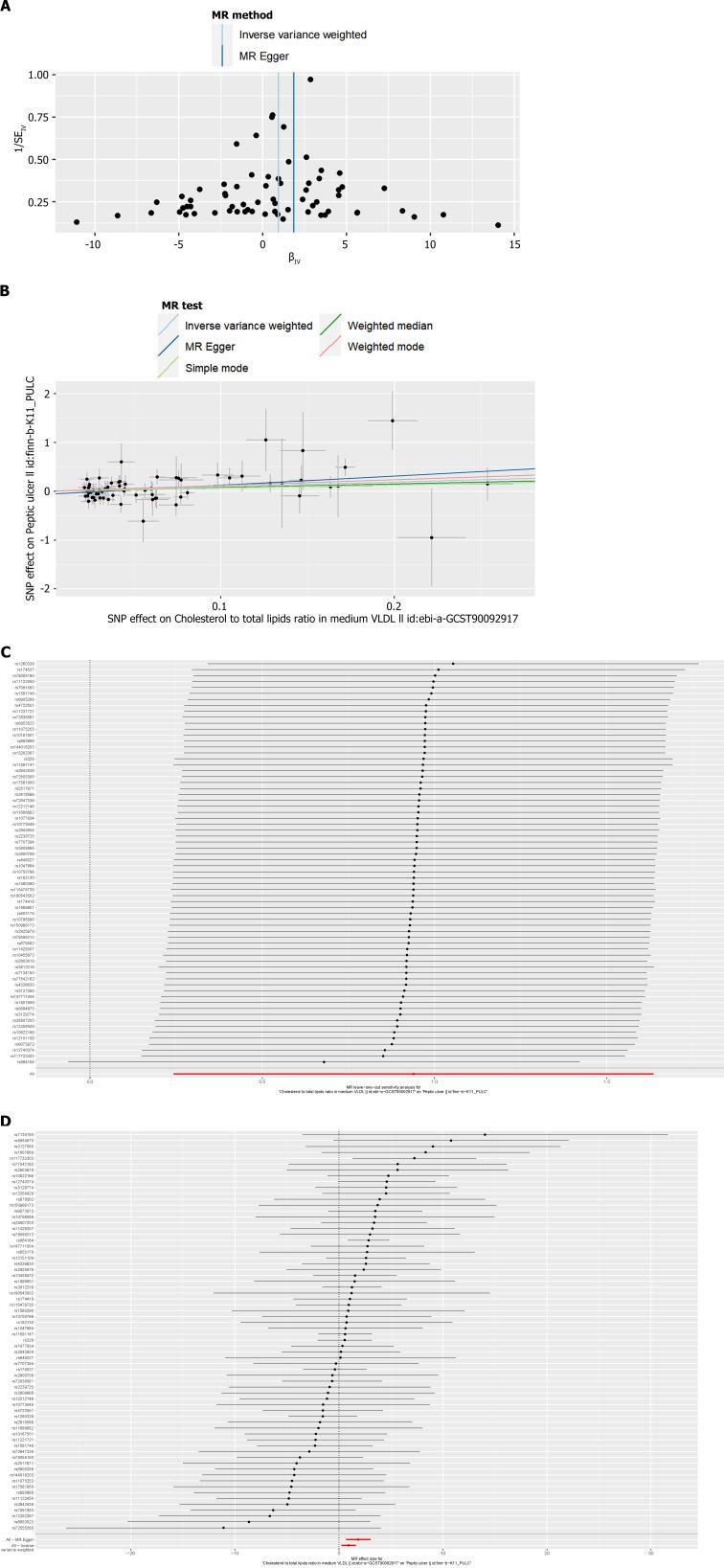
Genome-wide association study (GWAS) datasets for the ratio of cholesterol to total lipids in intermediate VLDL and peptic ulcer were retrieved from the IEU OpenGWAS project (https://gwas.mrcieu.ac.uk). For the forward Mendelian randomization (MR) analysis, 72 single nucleotide polymorphisms (SNPs) were identified as instrumental variables. These SNPs were selected based on their association with the ratio of cholesterol to total lipids in intermediate VLDL, with peptic ulcer as the outcome variable. Conversely, for the inverse MR analysis, no SNPs were identified with peptic ulcer as the exposure variable and the ratio of cholesterol to total lipids in intermediate VLDL as the outcome. All MR analyses utilized inverse variance weighted (IVW) as the primary analytical method. Additionally, weighted median and MR-Egger methods were employed as supplementary analytical approaches to assess causal effects. Egger regression was used as a supplementary method to evaluate potential directional pleiotropy. Heterogeneity and multiplicity tests were conducted using the leave-one-out method to evaluate result stability and mitigate biases associated with multiple testing.

RESULTS

The genetically predicted ratio of cholesterol to total lipids in medium VLDL was significantly associated with an elevated risk of peptic ulcer (IVW: OR = 2.557, 95%CI = 1.274-5.132, = 0.008). However, no causal association of peptic ulcer with the ratio of cholesterol to total lipids in medium VLDL was observed in the inverse Mendelian randomization analysis.

CONCLUSION

In conclusion, our study reveals a significant association between the ratio of cholesterol to total lipids in medium VLDL and an elevated risk of peptic ulcers. However, further validation through laboratory investigations and larger-scale studies is warranted to strengthen the evidence and confirm the causal relationship between these factors.

摘要

背景

以往的流行病学调查一致表明,中极低密度脂蛋白(VLDL)中胆固醇与总脂质的比例与消化性溃疡(PU)的发生之间存在密切关联。然而,这些因素之间的确切因果关系仍不明确。因此,本研究旨在阐明中VLDL中胆固醇与总脂质的比例与消化性溃疡发病率之间的潜在相关性。

目的

采用遗传方法研究中极低密度脂蛋白(VLDL)中胆固醇与总脂质的比例与PU的关联,为未来的临床研究提供指导。

方法

从IEU OpenGWAS项目(https://gwas.mrcieu.ac.uk)检索中密度VLDL中胆固醇与总脂质比例及消化性溃疡的全基因组关联研究(GWAS)数据集。在正向孟德尔随机化(MR)分析中,72个单核苷酸多态性(SNP)被确定为工具变量。这些SNP是根据它们与中密度VLDL中胆固醇与总脂质比例的关联而选择的,以消化性溃疡作为结果变量。相反,在反向MR分析中,未发现以消化性溃疡为暴露变量、中密度VLDL中胆固醇与总脂质比例为结果的SNP。所有MR分析均采用逆方差加权(IVW)作为主要分析方法。此外,采用加权中位数和MR-Egger方法作为补充分析方法来评估因果效应。Egger回归用作评估潜在定向多效性的补充方法。使用留一法进行异质性和多重性检验,以评估结果稳定性并减轻与多重检验相关的偏差。

结果

遗传预测的中VLDL中胆固醇与总脂质的比例与消化性溃疡风险升高显著相关(IVW:OR = 2.557,95%CI = 1.274 - 5.132,P = 0.008)。然而,在反向孟德尔随机化分析中未观察到消化性溃疡与中VLDL中胆固醇与总脂质比例之间的因果关联。

结论

总之,我们的研究揭示了中VLDL中胆固醇与总脂质的比例与消化性溃疡风险升高之间存在显著关联。然而,有必要通过实验室研究和更大规模的研究进行进一步验证,以加强证据并确认这些因素之间的因果关系。

https://cdn.ncbi.nlm.nih.gov/pmc/blobs/a4e1/11263067/10f01e9b9d9a/WJCC-12-5729-g001.jpg
https://cdn.ncbi.nlm.nih.gov/pmc/blobs/a4e1/11263067/10f01e9b9d9a/WJCC-12-5729-g001.jpg
https://cdn.ncbi.nlm.nih.gov/pmc/blobs/a4e1/11263067/10f01e9b9d9a/WJCC-12-5729-g001.jpg

相似文献

1
Causal associations between intermediate very-low-density lipoprotein cholesterol-to-total lipids ratio and peptic ulcer: A bidirectional Mendelian randomization study.极低密度脂蛋白胆固醇与总脂质比率和消化性溃疡之间的因果关联:一项双向孟德尔随机化研究。
World J Clin Cases. 2024 Sep 6;12(25):5729-5738. doi: 10.12998/wjcc.v12.i25.5729.
2
[Genetic Causation Analysis of Hyperandrogenemia Testing Indicators and Preeclampsia].[高雄激素血症检测指标与子痫前期的遗传因果关系分析]
Sichuan Da Xue Xue Bao Yi Xue Ban. 2024 May 20;55(3):566-573. doi: 10.12182/20240560106.
3
The Causal Relationship Between Blood Lipids and Systemic Lupus Erythematosus Risk: A Bidirectional Two-Sample Mendelian Randomization Study.血脂与系统性红斑狼疮风险之间的因果关系:一项双向两样本孟德尔随机化研究
Front Genet. 2022 Apr 13;13:858653. doi: 10.3389/fgene.2022.858653. eCollection 2022.
4
Causal associations of fatigue and functional outcome after ischemic stroke: a mediation Mendelian randomization study.缺血性中风后疲劳与功能结局的因果关联:一项中介孟德尔随机化研究。
Front Neurol. 2024 Jul 25;15:1415553. doi: 10.3389/fneur.2024.1415553. eCollection 2024.
5
Causal association between 637 human metabolites and ovarian cancer: a mendelian randomization study.637 个人类代谢物与卵巢癌之间的因果关系:一项孟德尔随机化研究。
BMC Genomics. 2024 Jan 23;25(1):97. doi: 10.1186/s12864-024-09997-3.
6
The causal effects of lipid traits on kidney function in Africans: bidirectional and multivariable Mendelian-randomization study.脂质特征对非洲人肾功能的因果影响:双向和多变量孟德尔随机化研究。
EBioMedicine. 2023 Apr;90:104537. doi: 10.1016/j.ebiom.2023.104537. Epub 2023 Mar 29.
7
Causal effects of gut microbiota, metabolites, immune cells, liposomes, and inflammatory proteins on anorexia nervosa: A mediation joint multi-omics Mendelian randomization analysis.肠道微生物群、代谢物、免疫细胞、脂质体和炎症蛋白对神经性厌食症的因果影响:基于中介的联合多组学 Mendelian 随机分析。
J Affect Disord. 2025 Jan 1;368:343-358. doi: 10.1016/j.jad.2024.09.115. Epub 2024 Sep 17.
8
Causal association of micronutrients and supplements with pressure ulcer: A Mendelian randomization study.微量营养素和补充剂与压疮的因果关系:一项孟德尔随机研究。
Skin Res Technol. 2024 Aug;30(8):e13904. doi: 10.1111/srt.13904.
9
The causal associations of circulating lipids with Barrett's Esophagus and Esophageal Cancer: a bi-directional, two sample mendelian randomization analysis.循环脂质与 Barrett 食管和食管癌的因果关系:双向、两样本 Mendelian 随机分析。
Hum Genomics. 2024 Apr 16;18(1):37. doi: 10.1186/s40246-024-00608-6.
10
Plasma lipid levels and risk of retinal vascular occlusion: A genetic study using Mendelian randomization.血浆脂质水平与视网膜血管闭塞风险:基于孟德尔随机化的遗传研究。
Front Endocrinol (Lausanne). 2022 Oct 10;13:954453. doi: 10.3389/fendo.2022.954453. eCollection 2022.

本文引用的文献

1
Peptic Ulcer Disease Associated with Central Obesity.与中心性肥胖相关的消化性溃疡病
J Pers Med. 2022 Nov 28;12(12):1968. doi: 10.3390/jpm12121968.
2
Osteoporosis and sarcopenia-related traits: A bi-directional Mendelian randomization study.骨质疏松症和肌肉减少症相关特征:一项双向孟德尔随机化研究。
Front Endocrinol (Lausanne). 2022 Sep 14;13:975647. doi: 10.3389/fendo.2022.975647. eCollection 2022.
3
Microbiota imbalance induced by dietary sugar disrupts immune-mediated protection from metabolic syndrome.饮食糖导致的微生物群落失衡破坏了免疫介导的代谢综合征保护作用。
Cell. 2022 Sep 15;185(19):3501-3519.e20. doi: 10.1016/j.cell.2022.08.005. Epub 2022 Aug 29.
4
Gut microbiota and major depressive disorder: A bidirectional Mendelian randomization.肠道微生物群与重度抑郁症:双向孟德尔随机化研究。
J Affect Disord. 2022 Nov 1;316:187-193. doi: 10.1016/j.jad.2022.08.012. Epub 2022 Aug 10.
5
The metabolic nature of inflammatory bowel diseases.炎症性肠病的代谢性质。
Nat Rev Gastroenterol Hepatol. 2022 Dec;19(12):753-767. doi: 10.1038/s41575-022-00658-y. Epub 2022 Jul 29.
6
Causal relationships between inflammatory factors and multiple myeloma: A bidirectional Mendelian randomization study.炎症因子与多发性骨髓瘤之间的因果关系:一项双向孟德尔随机化研究。
Int J Cancer. 2022 Nov 15;151(10):1750-1759. doi: 10.1002/ijc.34214. Epub 2022 Jul 29.
7
Mendelian randomization suggests a bidirectional, causal relationship between physical inactivity and adiposity.孟德尔随机化研究表明,身体不活动与肥胖之间存在双向的因果关系。
Elife. 2022 Mar 7;11:e70386. doi: 10.7554/eLife.70386.
8
The global, regional and national burden of peptic ulcer disease from 1990 to 2019: a population-based study.全球、区域和国家的消化性溃疡疾病负担:1990 年至 2019 年的一项基于人群的研究。
BMC Gastroenterol. 2022 Feb 10;22(1):58. doi: 10.1186/s12876-022-02130-2.
9
Depression and Inflammatory Bowel Disease: A Bidirectional Two-sample Mendelian Randomization Study.抑郁与炎症性肠病:一项双向二样本孟德尔随机化研究。
J Crohns Colitis. 2022 May 10;16(4):633-642. doi: 10.1093/ecco-jcc/jjab191.
10
Use of Short-Chain Fatty Acids for the Recovery of the Intestinal Epithelial Barrier Affected by Bacterial Toxins.使用短链脂肪酸修复受细菌毒素影响的肠道上皮屏障。
Front Physiol. 2021 May 24;12:650313. doi: 10.3389/fphys.2021.650313. eCollection 2021.