Suppr超能文献

氯吡格雷与阿司匹林作为慢性肾脏病经皮冠状动脉介入治疗后慢性维持抗血小板单药治疗的比较:HOST-EXAM 试验的事后分析。

Clopidogrel Versus Aspirin as Chronic Maintenance Antiplatelet Monotherapy in Patients After Percutaneous Coronary Intervention With Chronic Kidney Disease: A Post Hoc Analysis of the HOST-EXAM Trial.

机构信息

Department of Internal Medicine, Cardiovascular Center Seoul National University Hospital Seoul South Korea.

Department of Internal Medicine Seoul National University Bundang Hospital Seongnam South Korea.

出版信息

J Am Heart Assoc. 2024 Sep 17;13(18):e035269. doi: 10.1161/JAHA.124.035269. Epub 2024 Sep 9.

Abstract

BACKGROUND

Clopidogrel monotherapy improved clinical outcomes compared with aspirin monotherapy during a chronic maintenance period in patients who underwent coronary stenting in the HOST-EXAM (Harmonizing Optimal Strategy for Treatment of Coronary Artery Stenosis-Extended Antiplatelet Monotherapy) trial. However, it is uncertain whether the beneficial effect of clopidogrel over aspirin is different according to the renal function.

METHODS AND RESULTS

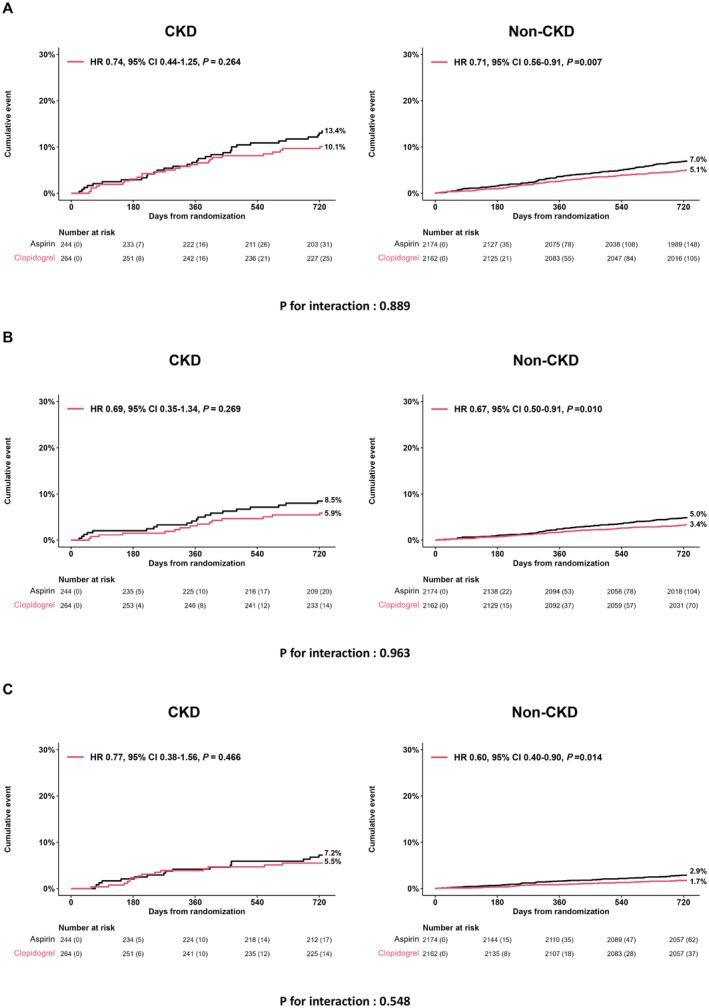
We conducted a post hoc analysis of the HOST-EXAM trial. Chronic kidney disease (CKD) was defined as baseline estimated glomerular filtration rate <60 mL/min per 1.73 m. The primary end point was a composite of all-cause death, nonfatal myocardial infarction, stroke, readmission due to acute coronary syndrome, and Bleeding Academic Research Consortium bleeding type ≥3, during the 2-year follow up. Among the 5438 patients enrolled in the HOST-EXAM trial, 4844 patients (mean age, 63.3±10.6 years; 74.9% men) with a baseline creatinine value were analyzed in this study. A total of 508 (10.5%) patients had CKD, who were at higher risk of the primary end point compared with those without CKD (hazard ratio [HR], 2.01 [95% CI, 1.51-2.67]). Clopidogrel monotherapy was associated with a lower rate of the primary end point in both patients with CKD (HR, 0.74 [95% CI, 0.44-1.25]) and patients without CKD (HR, 0.71 [95% CI, 0.56-0.91]). No significant interaction was observed between the treatment effect and CKD status ( for interaction=0.889).

CONCLUSIONS

During the chronic maintenance period after coronary stenting, the risk of thrombotic and bleeding events was significantly higher in patients with CKD compared with those without CKD. There was no statistical difference in the treatment effect of clopidogrel monotherapy in those with versus without CKD.

摘要

背景

在 HOST-EXAM(治疗冠状动脉狭窄的最佳策略协调试验——延长抗血小板单药治疗)试验中,接受经皮冠状动脉介入治疗的患者在慢性维持期,氯吡格雷单药治疗较阿司匹林单药治疗可改善临床结局。然而,氯吡格雷优于阿司匹林的效果是否因肾功能不同而不同尚不确定。

方法和结果

我们对 HOST-EXAM 试验进行了事后分析。慢性肾脏病(CKD)定义为基线估算肾小球滤过率<60 ml/min/1.73 m。主要终点为 2 年随访期间全因死亡、非致死性心肌梗死、卒中等复合终点,以及因急性冠脉综合征再入院和 Bleeding Academic Research Consortium 出血≥3 级。在 HOST-EXAM 试验中,共纳入 5438 例患者,本研究对其中 4844 例有基线肌酐值的患者进行了分析。共 508 例(10.5%)患者患有 CKD,与无 CKD 患者相比,这些患者发生主要终点事件的风险更高(风险比[HR],2.01[95%可信区间,1.51-2.67])。在 CKD 患者(HR,0.74[95%可信区间,0.44-1.25])和无 CKD 患者(HR,0.71[95%可信区间,0.56-0.91])中,氯吡格雷单药治疗均与较低的主要终点事件发生率相关。治疗效果与 CKD 状态之间无显著交互作用( for interaction=0.889)。

结论

在经皮冠状动脉介入治疗后的慢性维持期,与无 CKD 患者相比,CKD 患者发生血栓形成和出血事件的风险显著更高。氯吡格雷单药治疗在 CKD 患者和无 CKD 患者中的疗效无统计学差异。

https://cdn.ncbi.nlm.nih.gov/pmc/blobs/3e17/11935617/c77cefdd6e7c/JAH3-13-e035269-g003.jpg

文献检索

告别复杂PubMed语法,用中文像聊天一样搜索,搜遍4000万医学文献。AI智能推荐,让科研检索更轻松。

立即免费搜索

文件翻译

保留排版,准确专业,支持PDF/Word/PPT等文件格式,支持 12+语言互译。

免费翻译文档

深度研究

AI帮你快速写综述,25分钟生成高质量综述,智能提取关键信息,辅助科研写作。

立即免费体验