Suppr超能文献

马来西亚半岛烟霾期间与呼吸道疾病入院的关联。

Association between and respiratory diseases admission in peninsula Malaysia during haze.

机构信息

Department of Mathematical Science Faculty of Science and Technology, National University of Malaysia, Bangi, 43600, Selangor, Malaysia.

出版信息

Sci Rep. 2024 Sep 9;14(1):21030. doi: 10.1038/s41598-024-63591-x.

Abstract

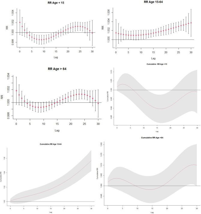
Numerous studies have been conducted in other countries on the health effects of exposure to particulate matter with a diameter of 10 microns or less , but little research has been conducted in Malaysia, particularly during the haze season. This study intends to investigate how exposure of influenced hospital admissions for respiratory diseases during the haze period in peninsula Malaysia and it was further stratified by age group, gender and respiratory diseases categories. The study includes data from all patients with respiratory diseases in 92 government hospitals, as well as concentration and meteorological data from 92 monitoring stations in Peninsula Malaysia starting from 1st January 2000 to 31st December 2019. A quasi-poison time series regression with distributed lag nonlinear model (DLNM) was employed in this study to examine the relationship between exposure of and hospital admissions for respiratory diseases during the haze period. Haze period for this study has been defined from June to September each year. According to the findings of this study, was positively associated with hospitalisation of respiratory disease within 30 lag days under various lag patterns, with lag 25 showing the strongest association (RR = 1.001742, CI 1.001029,1.002456). Using median as a reference, it was discovered that females were more likely than males to be hospitalized for exposure. Working age group will be the most affected by the increase in exposure with a significant cumulative RR from lag 010 to lag 030. The study found that had a significant influence on respiratory hospitalisation in peninsula Malaysia, particularly for lung diseases caused by external agents(CD5). Therefore, it is important to implement effective intervention measures to control and reduce the burden of respiratory disease admissions.

摘要

许多国家已经开展了关于暴露于直径 10 微米或以下的颗粒物对健康影响的研究,但马来西亚的研究相对较少,尤其是在雾霾季节。本研究旨在探讨暴露于 对马来西亚半岛雾霾期间呼吸道疾病住院的影响,并进一步按年龄组、性别和呼吸道疾病类别进行分层。该研究包括来自马来西亚半岛 92 个政府医院的所有呼吸道疾病患者的数据,以及从 2000 年 1 月 1 日至 2019 年 12 月 31 日来自 92 个监测站的 浓度和气象数据。本研究采用了准毒时间序列滞后非线性模型(DLNM)进行分析,以研究暴露于 与雾霾期间呼吸道疾病住院之间的关系。本研究将雾霾期定义为每年 6 月至 9 月。根据本研究的结果,在各种滞后模式下, 与雾霾期间呼吸道疾病住院之间呈正相关,滞后 25 天的相关性最强(RR=1.001742,CI 1.001029,1.002456)。以中位数为参照,发现女性因 暴露住院的可能性高于男性。工作年龄段将受到 暴露增加的最大影响,从滞后 010 到滞后 030 的累积 RR 显著增加。本研究发现, 在马来西亚半岛对呼吸道疾病住院有显著影响,特别是对外源性疾病(CD5)引起的肺部疾病。因此,实施有效的干预措施来控制 和减少呼吸道疾病住院负担非常重要。

https://cdn.ncbi.nlm.nih.gov/pmc/blobs/9584/11385522/bf25236345f9/41598_2024_63591_Fig1_HTML.jpg

文献AI研究员

20分钟写一篇综述,助力文献阅读效率提升50倍。

立即体验

用中文搜PubMed

大模型驱动的PubMed中文搜索引擎

马上搜索

文档翻译

学术文献翻译模型,支持多种主流文档格式。

立即体验