School of Pharmacy and Biomolecular Sciences, Liverpool John Moores University, Byrom Street, Liverpool L3 3AF, England, United Kingdom.
Research Institute for Fragrance Materials, Inc, 1200 MacArthur Boulevard no. 306, Mahwah, New Jersey 07430, United States.
Chem Res Toxicol. 2024 Nov 18;37(11):1757-1768. doi: 10.1021/acs.chemrestox.4c00207. Epub 2024 Sep 11.
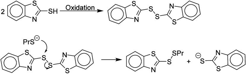
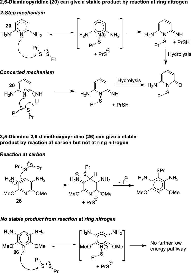
It has long been recognized that skin sensitizers either are electrophilic or can be activated to electrophilic species. Several nonanimal assays for skin sensitization are based on this premise. In the course of a project to update dermal sensitization thresholds (DST), we found a substantial number of sensitizers, with no electrophilic or pro-electrophilic alerts, that could be simply explained in terms of the sensitizer acting as a nucleophile. In some cases, the nucleophilic center is a sulfur or phosphorus atom, while in others, it is an aromatic carbon atom. For carbon-centered nucleophiles, a quantitative mechanistic model based on a combination of Hammett σ and logP values has been derived. This has been applied to rationalize several groups of known sensitizers with no electrophilic or pro-electrophilic alerts, including anacardic acids and cardols, which are known human sensitizers associated with, inter alia, cashew nut oil, mango, and . The possibility of nucleophilic sensitization needs to be considered when evaluating new chemicals for skin sensitization potential and potency by nonanimal assays, particularly those based on the premise that skin sensitization is dependent upon reactions of electrophiles with skin protein-based nucleophiles.
长期以来,人们一直认为皮肤敏化剂要么具有亲电性,要么可以被激活为亲电性物质。几种非动物皮肤致敏性检测方法都是基于这一前提。在一个更新皮肤致敏阈值(DST)的项目中,我们发现了大量的敏化剂,它们没有亲电性或亲电性预警,可以简单地解释为敏化剂作为亲核试剂起作用。在某些情况下,亲核中心是硫或磷原子,而在其他情况下,它是芳香碳原子。对于碳中心亲核试剂,已经推导出了一个基于哈米特 σ 和 logP 值组合的定量机理模型。这已被应用于合理化一些没有亲电性或亲电性预警的已知敏化剂组,包括漆酚酸和腰果酚,它们是已知的人类敏化剂,与腰果油、芒果等有关。当通过非动物检测方法评估新化学物质的皮肤致敏潜能和效力时,需要考虑亲核敏化的可能性,特别是那些基于皮肤致敏取决于亲电物质与皮肤蛋白亲核物质反应的前提。