• 文献检索
  • 文档翻译
  • 深度研究
  • 学术资讯
  • Suppr Zotero 插件Zotero 插件
  • 邀请有礼
  • 套餐&价格
  • 历史记录
应用&插件
Suppr Zotero 插件Zotero 插件浏览器插件Mac 客户端Windows 客户端微信小程序
定价
高级版会员购买积分包购买API积分包
服务
文献检索文档翻译深度研究API 文档MCP 服务
关于我们
关于 Suppr公司介绍联系我们用户协议隐私条款
关注我们

Suppr 超能文献

核心技术专利:CN118964589B侵权必究
粤ICP备2023148730 号-1Suppr @ 2026

文献检索

告别复杂PubMed语法,用中文像聊天一样搜索,搜遍4000万医学文献。AI智能推荐,让科研检索更轻松。

立即免费搜索

文件翻译

保留排版,准确专业,支持PDF/Word/PPT等文件格式,支持 12+语言互译。

免费翻译文档

深度研究

AI帮你快速写综述,25分钟生成高质量综述,智能提取关键信息,辅助科研写作。

立即免费体验

计算机辅助发现新型 SmDHODH 抑制剂用于血吸虫病治疗:基于配体的药物设计、分子对接、分子动力学模拟、类药性和 ADMET 研究。

Computer-aided discovery of novel SmDHODH inhibitors for schistosomiasis therapy: Ligand-based drug design, molecular docking, molecular dynamic simulations, drug-likeness, and ADMET studies.

机构信息

Department of Chemistry, Ahmadu Bello University, Zaria, Nigeria.

Department of Chemistry, Aliko Dangote University of Science and Technology, Wudil, Nigeria.

出版信息

PLoS Negl Trop Dis. 2024 Sep 12;18(9):e0012453. doi: 10.1371/journal.pntd.0012453. eCollection 2024 Sep.

DOI:10.1371/journal.pntd.0012453
PMID:39264908
原文链接:https://pmc.ncbi.nlm.nih.gov/articles/PMC11392272/
Abstract

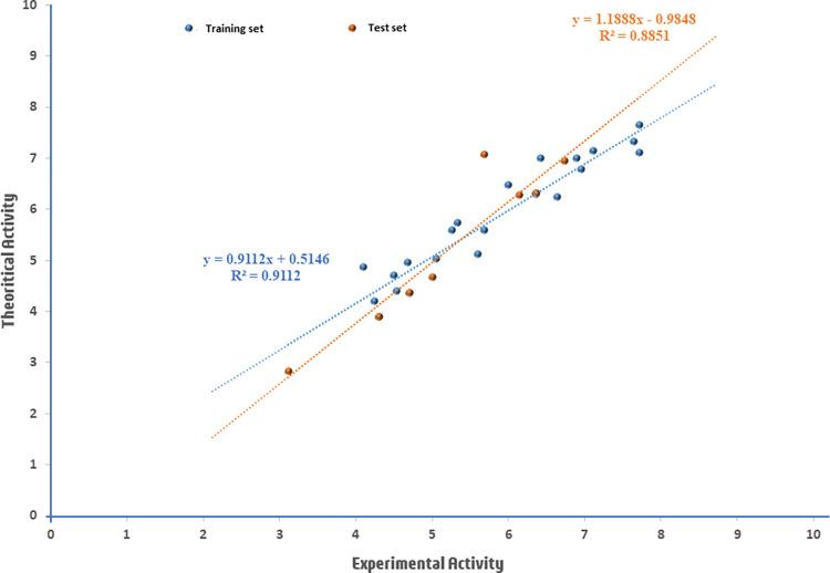
Schistosomiasis, also known as bilharzia or snail fever, is a tropical parasitic disease resulting from flatworms of the Schistosoma genus. This often overlooked disease has significant impacts in affected regions, causing enduring morbidity, hindering child development, reducing productivity, and creating economic burdens. Praziquantel (PZQ) is currently the only treatment option for schistosomiasis. Given the potential rise of drug resistance and the limited treatment choices available, there is a need to develop more effective inhibitors for this neglected tropical disease (NTD). In view of this, quantitative structure-activity relationship studies (QSAR), molecular docking, molecular dynamics simulations, drug-likeness, and ADMET predictions were applied to 31 inhibitors of Schistosoma mansoni Dihydroorotate dehydrogenase (SmDHODH). The designed QSAR model demonstrated robust statistical parameters including an R2 of 0.911, R2adj of 0.890, Q2cv of 0.686, R2pred of 0.807, and cR2p of 0.825, confirming its robustness. Compound 26, identified as the most active derivative, emerged as a lead candidate for new potential inhibitors through ligand-based drug design. Subsequently, 12 novel compounds (26A-26L) were designed with enhanced inhibition activity and binding affinity. Molecular docking studies revealed strong and stable interactions, including hydrogen bonding and hydrophobic interactions, between the designed compounds and the target receptor. Molecular dynamics simulations over 100 nanoseconds and MM-PBSA free binding energy (ΔGbind) calculations validated the stability of the two best-designed molecules (26A and 26L). Furthermore, drug-likeness and ADMET prediction analyses affirmed the potential of these designed compounds, suggesting their promise as innovative agents for treating schistosomiasis.

摘要

血吸虫病,又称裂体吸虫病或蜗牛热,是一种由血吸虫属扁形动物引起的热带寄生虫病。这种常被忽视的疾病在受影响地区造成了重大影响,导致持久的发病率、阻碍儿童发育、降低生产力,并造成经济负担。目前,吡喹酮(PZQ)是治疗血吸虫病的唯一选择。鉴于耐药性的潜在上升和有限的治疗选择,需要为这种被忽视的热带病(NTD)开发更有效的抑制剂。有鉴于此,对 31 种曼氏血吸虫二氢乳清酸脱氢酶(SmDHODH)抑制剂进行了定量构效关系研究(QSAR)、分子对接、分子动力学模拟、类药性和 ADMET 预测。所设计的 QSAR 模型表现出稳健的统计参数,包括 R2 为 0.911、R2adj 为 0.890、Q2cv 为 0.686、R2pred 为 0.807 和 cR2p 为 0.825,证实了其稳健性。化合物 26 被确定为最具活性的衍生物,通过基于配体的药物设计成为新的潜在抑制剂的候选药物。随后,设计了 12 种新型化合物(26A-26L),具有增强的抑制活性和结合亲和力。分子对接研究表明,设计的化合物与靶受体之间存在强而稳定的相互作用,包括氢键和疏水相互作用。超过 100 纳秒的分子动力学模拟和 MM-PBSA 自由结合能(ΔGbind)计算验证了两个最佳设计分子(26A 和 26L)的稳定性。此外,药物相似性和 ADMET 预测分析证实了这些设计化合物的潜力,表明它们有望成为治疗血吸虫病的创新药物。

https://cdn.ncbi.nlm.nih.gov/pmc/blobs/08f2/11392272/c82e75b6008f/pntd.0012453.g012.jpg
https://cdn.ncbi.nlm.nih.gov/pmc/blobs/08f2/11392272/a733d01db7e4/pntd.0012453.g001.jpg
https://cdn.ncbi.nlm.nih.gov/pmc/blobs/08f2/11392272/3ae091144a68/pntd.0012453.g002.jpg
https://cdn.ncbi.nlm.nih.gov/pmc/blobs/08f2/11392272/be8fcea06c22/pntd.0012453.g003.jpg
https://cdn.ncbi.nlm.nih.gov/pmc/blobs/08f2/11392272/4ab58cfef81f/pntd.0012453.g004.jpg
https://cdn.ncbi.nlm.nih.gov/pmc/blobs/08f2/11392272/aabad37642c7/pntd.0012453.g005.jpg
https://cdn.ncbi.nlm.nih.gov/pmc/blobs/08f2/11392272/6ac8ac898104/pntd.0012453.g006.jpg
https://cdn.ncbi.nlm.nih.gov/pmc/blobs/08f2/11392272/69dea948b58b/pntd.0012453.g007.jpg
https://cdn.ncbi.nlm.nih.gov/pmc/blobs/08f2/11392272/a4471b078336/pntd.0012453.g008.jpg
https://cdn.ncbi.nlm.nih.gov/pmc/blobs/08f2/11392272/139978c31de6/pntd.0012453.g009.jpg
https://cdn.ncbi.nlm.nih.gov/pmc/blobs/08f2/11392272/638deb7446eb/pntd.0012453.g010.jpg
https://cdn.ncbi.nlm.nih.gov/pmc/blobs/08f2/11392272/0bd7d63410ce/pntd.0012453.g011.jpg
https://cdn.ncbi.nlm.nih.gov/pmc/blobs/08f2/11392272/c82e75b6008f/pntd.0012453.g012.jpg
https://cdn.ncbi.nlm.nih.gov/pmc/blobs/08f2/11392272/a733d01db7e4/pntd.0012453.g001.jpg
https://cdn.ncbi.nlm.nih.gov/pmc/blobs/08f2/11392272/3ae091144a68/pntd.0012453.g002.jpg
https://cdn.ncbi.nlm.nih.gov/pmc/blobs/08f2/11392272/be8fcea06c22/pntd.0012453.g003.jpg
https://cdn.ncbi.nlm.nih.gov/pmc/blobs/08f2/11392272/4ab58cfef81f/pntd.0012453.g004.jpg
https://cdn.ncbi.nlm.nih.gov/pmc/blobs/08f2/11392272/aabad37642c7/pntd.0012453.g005.jpg
https://cdn.ncbi.nlm.nih.gov/pmc/blobs/08f2/11392272/6ac8ac898104/pntd.0012453.g006.jpg
https://cdn.ncbi.nlm.nih.gov/pmc/blobs/08f2/11392272/69dea948b58b/pntd.0012453.g007.jpg
https://cdn.ncbi.nlm.nih.gov/pmc/blobs/08f2/11392272/a4471b078336/pntd.0012453.g008.jpg
https://cdn.ncbi.nlm.nih.gov/pmc/blobs/08f2/11392272/139978c31de6/pntd.0012453.g009.jpg
https://cdn.ncbi.nlm.nih.gov/pmc/blobs/08f2/11392272/638deb7446eb/pntd.0012453.g010.jpg
https://cdn.ncbi.nlm.nih.gov/pmc/blobs/08f2/11392272/0bd7d63410ce/pntd.0012453.g011.jpg
https://cdn.ncbi.nlm.nih.gov/pmc/blobs/08f2/11392272/c82e75b6008f/pntd.0012453.g012.jpg

相似文献

1
Computer-aided discovery of novel SmDHODH inhibitors for schistosomiasis therapy: Ligand-based drug design, molecular docking, molecular dynamic simulations, drug-likeness, and ADMET studies.计算机辅助发现新型 SmDHODH 抑制剂用于血吸虫病治疗:基于配体的药物设计、分子对接、分子动力学模拟、类药性和 ADMET 研究。
PLoS Negl Trop Dis. 2024 Sep 12;18(9):e0012453. doi: 10.1371/journal.pntd.0012453. eCollection 2024 Sep.
2
Unveiling potent inhibitors for schistosomiasis through ligand-based drug design, molecular docking, molecular dynamics simulations and pharmacokinetics predictions.通过基于配体的药物设计、分子对接、分子动力学模拟和药代动力学预测揭示血吸虫病的有效抑制剂。
PLoS One. 2024 Jun 26;19(6):e0302390. doi: 10.1371/journal.pone.0302390. eCollection 2024.
3
Ligand-based design, synthesis and biochemical evaluation of potent and selective inhibitors of Schistosoma mansoni dihydroorotate dehydrogenase.基于配体的设计、合成及对曼氏血吸虫二氢乳清酸脱氢酶的高活性和选择性抑制剂的生化评估。
Eur J Med Chem. 2019 Apr 1;167:357-366. doi: 10.1016/j.ejmech.2019.02.018. Epub 2019 Feb 8.
4
Comparison of Bioactive Compounds Characterized from with an FDA-Approved Drug against Schistosomal Agents: New Insight into Schistosomiasis Treatment.比较 与美国食品和药物管理局批准的药物中特征性生物活性化合物:血吸虫病治疗的新见解。
Molecules. 2024 Apr 23;29(9):1909. doi: 10.3390/molecules29091909.
5
Structural basis for the design of selective inhibitors for Schistosoma mansoni dihydroorotate dehydrogenase.曼氏血吸虫二氢乳清酸脱氢酶选择性抑制剂设计的结构基础。
Biochimie. 2019 Mar;158:180-190. doi: 10.1016/j.biochi.2019.01.006. Epub 2019 Jan 19.
6
Structural basis for the function and inhibition of dihydroorotate dehydrogenase from Schistosoma mansoni.曼氏血吸虫二氢乳清酸脱氢酶的功能及抑制的结构基础。
FEBS J. 2021 Feb;288(3):930-944. doi: 10.1111/febs.15367. Epub 2020 Jun 7.
7
Structure-Based Study of Natural Products with Anti-Schistosoma Activity.具有抗血吸虫活性的天然产物的基于结构的研究
Curr Comput Aided Drug Des. 2017;13(2):91-100. doi: 10.2174/1573409913666170119114859.
8
Ligand based-design of potential schistosomiasis inhibitors through QSAR, homology modeling, molecular dynamics, pharmacokinetics, and DFT studies.通过定量构效关系、同源建模、分子动力学、药代动力学和密度泛函理论研究进行基于配体的血吸虫病潜在抑制剂设计。
J Taibah Univ Med Sci. 2024 Feb 26;19(2):429-446. doi: 10.1016/j.jtumed.2024.02.003. eCollection 2024 Apr.
9
Discovery of Potent Inhibitors of Schistosoma mansoni NAD⁺ Catabolizing Enzyme.曼氏血吸虫NAD⁺分解代谢酶强效抑制剂的发现
J Med Chem. 2015 Apr 23;58(8):3582-92. doi: 10.1021/acs.jmedchem.5b00203. Epub 2015 Apr 1.
10
Molecular Modeling and Docking of Aquaporin Inhibitors to Reveal New Insights into Schistosomiasis Treatment.水通道蛋白抑制剂的分子建模与对接研究,为血吸虫病治疗提供新见解
Curr Comput Aided Drug Des. 2020;16(6):772-785. doi: 10.2174/1573409915666191003124947.

引用本文的文献

1
Crystallographic Structure of Human Dihydroorotate Dehydrogenase in Complex with the Natural Product Inhibitor Lapachol.人二氢乳清酸脱氢酶与天然产物抑制剂拉帕醇复合物的晶体结构
ACS Omega. 2025 Jul 3;10(27):29087-29097. doi: 10.1021/acsomega.5c01536. eCollection 2025 Jul 15.
2
Immunoinformatic strategy for developing multi-epitope subunit vaccine against Helicobacter pylori.开发抗幽门螺杆菌多表位亚单位疫苗的免疫信息学策略
PLoS One. 2025 Feb 7;20(2):e0318750. doi: 10.1371/journal.pone.0318750. eCollection 2025.

本文引用的文献

1
Drug Repurposing in the Chemotherapy of Infectious Diseases.药物重定位在传染病化疗中的应用
Molecules. 2024 Jan 29;29(3):635. doi: 10.3390/molecules29030635.
2
Molecular modelling studies of substituted indole derivatives as novel influenza a virus inhibitors.作为新型甲型流感病毒抑制剂的取代吲哚衍生物的分子模拟研究
J Biomol Struct Dyn. 2025 Jan;43(1):241-260. doi: 10.1080/07391102.2023.2280735. Epub 2023 Nov 15.
3
Novel computational and drug design strategies for inhibition of human papillomavirus-associated cervical cancer and DNA polymerase theta receptor by Apigenin derivatives.
新型计算和药物设计策略,通过芹菜素衍生物抑制人乳头瘤病毒相关宫颈癌和 DNA 聚合酶 θ 受体。
Sci Rep. 2023 Oct 2;13(1):16565. doi: 10.1038/s41598-023-43175-x.
4
Ligand-based drug design of quinazolin-4(3H)-ones as breast cancer inhibitors using QSAR modeling, molecular docking, and pharmacological profiling.基于配体的喹唑啉-4(3H)-酮类化合物作为乳腺癌抑制剂的药物设计:使用 QSAR 建模、分子对接和药理学分析。
J Egypt Natl Canc Inst. 2023 Aug 7;35(1):24. doi: 10.1186/s43046-023-00182-3.
5
Investigation of the Relationship between Electronic Structures and Bioactivities of Polypyridyl Ru(II) Complexes.研究多吡啶钌(II)配合物的电子结构与生物活性之间的关系。
Molecules. 2023 Jun 27;28(13):5035. doi: 10.3390/molecules28135035.
6
You must be flexible enough to be trained, Mr. Dynamics simulator.动态模拟器先生,你必须足够灵活以便接受训练。
Mol Divers. 2024 Aug;28(4):2731-2733. doi: 10.1007/s11030-023-10689-5. Epub 2023 Jul 12.
7
Kinetic and structural studies of Mycobacterium tuberculosis dihydroorotate dehydrogenase reveal new insights into class 2 DHODH inhibition.结核分枝杆菌二氢乳清酸脱氢酶的动力学和结构研究揭示了 2 类 DHODH 抑制的新见解。
Biochim Biophys Acta Gen Subj. 2023 Jul;1867(7):130378. doi: 10.1016/j.bbagen.2023.130378. Epub 2023 May 5.
8
Pharmacokinetic profiling of quinazoline-4(3H)-one analogs as EGFR inhibitors: 3D-QSAR modeling, molecular docking studies and the design of therapeutic agents.喹唑啉-4(3H)-酮类似物作为表皮生长因子受体抑制剂的药代动力学分析:三维定量构效关系建模、分子对接研究及治疗药物设计
J Taibah Univ Med Sci. 2023 Mar 9;18(5):1018-1029. doi: 10.1016/j.jtumed.2023.02.015. eCollection 2023 Oct.
9
..
J Taibah Univ Med Sci. 2023 Feb 4;18(5):933-946. doi: 10.1016/j.jtumed.2023.01.013. eCollection 2023 Oct.
10
2D-QSAR, molecular docking, drug-likeness, and ADMET/pharmacokinetic predictions of some non-small cell lung cancer therapeutic agents.一些非小细胞肺癌治疗药物的二维定量构效关系、分子对接、类药性及药物代谢动力学/药物代谢性质预测
J Taibah Univ Med Sci. 2022 Sep 16;18(2):295-309. doi: 10.1016/j.jtumed.2022.09.002. eCollection 2023 Apr.