Suppr超能文献

脑卒中后失语症患者抑郁风险增加及相关症状。

Increased risk of depression and associated symptoms in poststroke aphasia.

机构信息

Department of General Medicine, Shin Kong Wu Ho-Su Memorial Hospital, Taipei, Taiwan.

Department of Psychiatry, Shin Kong Wu Ho-Su Memorial Hospital, No. 95, Wenchang Rd., Shilin Dist., Taipei, 111, Taiwan.

出版信息

Sci Rep. 2024 Sep 12;14(1):21352. doi: 10.1038/s41598-024-72742-z.

Abstract

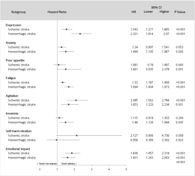
Poststroke aphasia hinders patients' emotional processing and social adaptation. This study estimated the risks of depression and related symptoms in patients developing or not developing aphasia after various types of stroke. Using data from the US Collaborative Network within the TriNetX Diamond Network, we conducted a retrospective cohort study of adults experiencing their first stroke between 2013 and 2022. Diagnoses were confirmed using corresponding International Classification of Diseases, Tenth Revision, Clinical Modification codes. Patients were stratified by poststroke aphasia status and stroke type, with propensity score matching performed to control for confounders. The primary outcome was depression within one year post-stroke; secondary outcomes included anxiety, fatigue, agitation, emotional impact, and insomnia. Each matched group comprised 12,333 patients. The risk of depression was significantly higher in patients with poststroke aphasia (hazard ratio: 1.728; 95% CI 1.464-2.038; p < 0.001), especially those with post-hemorrhagic-stroke aphasia (hazard ratio: 2.321; 95% CI 1.814-2.970; p < 0.001). Patients with poststroke aphasia also had higher risks of fatigue, agitation, and emotional impact. Anxiety and insomnia risks were higher in those with post-hemorrhagic-stroke aphasia. Poststroke aphasia, particularly post-hemorrhagic-stroke aphasia, may increase the risks of depression and associated symptoms, indicating the need for comprehensive psychiatric assessments.

摘要

脑卒中后失语症会阻碍患者的情绪处理和社会适应能力。本研究旨在评估不同类型脑卒中后发生或未发生失语症的患者发生抑郁及相关症状的风险。本研究使用美国三网协作研究内的 TriNetX Diamond 网络内的数据,对 2013 年至 2022 年期间首次发生脑卒中的成年人进行了回顾性队列研究。通过相应的国际疾病分类第十次修订临床修订版代码来确认诊断。根据脑卒中后是否失语及脑卒中类型对患者进行分层,并通过倾向评分匹配来控制混杂因素。主要结局为脑卒中后 1 年内的抑郁;次要结局包括焦虑、疲劳、激越、情绪影响和失眠。每个匹配组包含 12333 名患者。发生脑卒中后失语症的患者发生抑郁的风险显著更高(风险比:1.728;95%置信区间 1.464-2.038;p<0.001),尤其是发生出血性脑卒中后失语症的患者(风险比:2.321;95%置信区间 1.814-2.970;p<0.001)。发生脑卒中后失语症的患者发生疲劳、激越和情绪影响的风险也更高。发生出血性脑卒中后失语症的患者发生焦虑和失眠的风险更高。脑卒中后失语症,尤其是出血性脑卒中后失语症,可能会增加抑郁及相关症状的风险,这表明需要进行全面的精神评估。

https://cdn.ncbi.nlm.nih.gov/pmc/blobs/b9bc/11393353/5dc20652ab0d/41598_2024_72742_Fig1_HTML.jpg

文献AI研究员

20分钟写一篇综述,助力文献阅读效率提升50倍。

立即体验

用中文搜PubMed

大模型驱动的PubMed中文搜索引擎

马上搜索

文档翻译

学术文献翻译模型,支持多种主流文档格式。

立即体验