Suppr超能文献

天麻素:一种有前途的治疗中枢神经系统疾病的天然小分子,以及其在合成、药理学和药代动力学方面的最新进展。

Gastrodin, a Promising Natural Small Molecule for the Treatment of Central Nervous System Disorders, and Its Recent Progress in Synthesis, Pharmacology and Pharmacokinetics.

机构信息

Institute of Medicinal Plant Development, Chinese Academy of Medical Sciences and Peking Union Medical College, Beijing 100193, China.

出版信息

Int J Mol Sci. 2024 Sep 2;25(17):9540. doi: 10.3390/ijms25179540.

Abstract

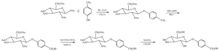
Blume is a traditional medicinal and food homology substance that has been used for thousands of years, is mainly distributed in China and other Asian countries, and has always been distinguished as a superior class of herbs. Gastrodin is the main active ingredient of Blume and has attracted increasing attention because of its extensive pharmacological activities. In addition to extraction and isolation from the original plant, gastrodin can also be obtained via chemical synthesis and biosynthesis. Gastrodin has significant pharmacological effects on the central nervous system, such as sedation and improvement of sleep. It can also improve epilepsy, neurodegenerative diseases, emotional disorders and cognitive impairment to a certain extent. Gastrodin is rapidly absorbed and widely distributed in the body and can also penetrate the blood-brain barrier. In brief, gastrodin is a promising natural small molecule with significant potential in the treatment of brain diseases. In this review, we summarised studies on the synthesis, pharmacological effects and pharmacokinetic characteristics of gastrodin, with emphasis on its effects on central nervous system disorders and the possible mechanisms, in order to find potential therapeutic applications and provide favourable information for the research and development of gastodin.

摘要

天麻是一种传统的药食同源物质,已有数千年的应用历史,主要分布在中国和其他亚洲国家,一直被视为优质草药。天麻素是天麻的主要活性成分,由于其广泛的药理活性而受到越来越多的关注。天麻素除了可以从原植物中提取和分离得到外,还可以通过化学合成和生物合成获得。天麻素对中枢神经系统具有显著的药理作用,如镇静和改善睡眠。它还可以在一定程度上改善癫痫、神经退行性疾病、情绪障碍和认知障碍。天麻素吸收迅速,在体内分布广泛,也能穿透血脑屏障。总之,天麻素是一种很有前途的天然小分子,在治疗脑部疾病方面具有很大的潜力。本综述总结了天麻素的合成、药理作用和药代动力学特征的研究,重点介绍了其对中枢神经系统疾病的作用及可能的机制,以期找到潜在的治疗应用,并为天麻素的研究和开发提供有利信息。

https://cdn.ncbi.nlm.nih.gov/pmc/blobs/6278/11394983/602c198d1d48/ijms-25-09540-g001.jpg

文献检索

告别复杂PubMed语法,用中文像聊天一样搜索,搜遍4000万医学文献。AI智能推荐,让科研检索更轻松。

立即免费搜索

文件翻译

保留排版,准确专业,支持PDF/Word/PPT等文件格式,支持 12+语言互译。

免费翻译文档

深度研究

AI帮你快速写综述,25分钟生成高质量综述,智能提取关键信息,辅助科研写作。

立即免费体验