Suppr超能文献

线性调频跳频扩频的能量性能:分析与评估

Energy Performance of LR-FHSS: Analysis and Evaluation.

作者信息

Sanchez-Vital Roger, Casals Lluís, Heer-Salva Bartomeu, Vidal Rafael, Gomez Carles, Garcia-Villegas Eduard

机构信息

Department of Network Engineering, Universitat Politècnica de Catalunya, C/Esteve Terradas, 7, 08860 Castelldefels, Spain.

出版信息

Sensors (Basel). 2024 Sep 5;24(17):5770. doi: 10.3390/s24175770.

Abstract

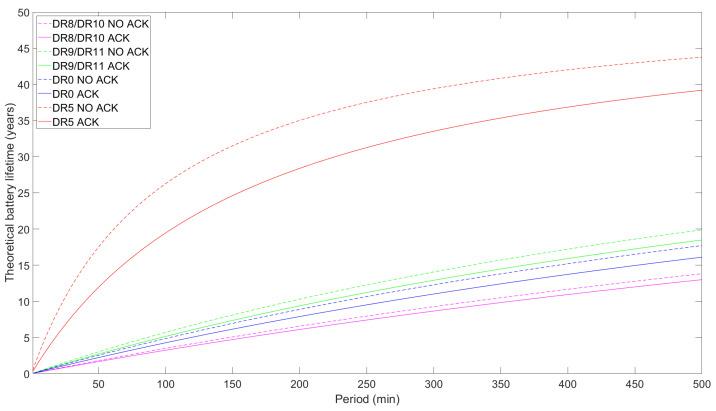
Long-range frequency hopping spread spectrum (LR-FHSS) is a pivotal advancement in the LoRaWAN protocol that is designed to enhance the network's capacity and robustness, particularly in densely populated environments. Although energy consumption is paramount in LoRaWAN-based end devices, this is the first study in the literature, to our knowledge, that models the impact of this novel mechanism on energy consumption. In this article, we provide a comprehensive energy consumption analytical model of LR-FHSS, focusing on three critical metrics: average current consumption, battery lifetime, and energy efficiency of data transmission. The model is based on measurements performed on real hardware in a fully operational LR-FHSS network. While in our evaluation, LR-FHSS can show worse consumption figures than LoRa, we find that with optimal configuration, the battery lifetime of LR-FHSS end devices can reach 2.5 years for a 50 min notification period. For the most energy-efficient payload size, this lifespan can be extended to a theoretical maximum of up to 16 years with a one-day notification interval using a cell-coin battery.

摘要

远程跳频扩频(LR-FHSS)是LoRaWAN协议中的一项关键进展,旨在增强网络容量和鲁棒性,尤其是在人口密集的环境中。尽管基于LoRaWAN的终端设备中能耗至关重要,但据我们所知,这是文献中首次对这种新机制对能耗的影响进行建模的研究。在本文中,我们提供了一个全面的LR-FHSS能耗分析模型,重点关注三个关键指标:平均电流消耗、电池寿命和数据传输的能源效率。该模型基于在一个完全运行的LR-FHSS网络中对真实硬件进行的测量。虽然在我们的评估中,LR-FHSS的能耗数据可能比LoRa更差,但我们发现,通过优化配置,对于50分钟的通知周期,LR-FHSS终端设备的电池寿命可以达到2.5年。对于最节能的有效载荷大小,使用纽扣电池,在一天通知间隔的情况下,这个寿命理论上可以延长到最长16年。

https://cdn.ncbi.nlm.nih.gov/pmc/blobs/d7b5/11397901/4223f5dcc9ca/sensors-24-05770-g002.jpg

文献AI研究员

20分钟写一篇综述,助力文献阅读效率提升50倍。

立即体验

用中文搜PubMed

大模型驱动的PubMed中文搜索引擎

马上搜索

文档翻译

学术文献翻译模型,支持多种主流文档格式。

立即体验