• 文献检索
  • 文档翻译
  • 深度研究
  • 学术资讯
  • Suppr Zotero 插件Zotero 插件
  • 邀请有礼
  • 套餐&价格
  • 历史记录
应用&插件
Suppr Zotero 插件Zotero 插件浏览器插件Mac 客户端Windows 客户端微信小程序
定价
高级版会员购买积分包购买API积分包
服务
文献检索文档翻译深度研究API 文档MCP 服务
关于我们
关于 Suppr公司介绍联系我们用户协议隐私条款
关注我们

Suppr 超能文献

核心技术专利:CN118964589B侵权必究
粤ICP备2023148730 号-1Suppr @ 2026

文献检索

告别复杂PubMed语法,用中文像聊天一样搜索,搜遍4000万医学文献。AI智能推荐,让科研检索更轻松。

立即免费搜索

文件翻译

保留排版,准确专业,支持PDF/Word/PPT等文件格式,支持 12+语言互译。

免费翻译文档

深度研究

AI帮你快速写综述,25分钟生成高质量综述,智能提取关键信息,辅助科研写作。

立即免费体验

重新利用化疗引起的周围神经病分级。

Repurposing chemotherapy-induced peripheral neuropathy grading.

机构信息

Unit of Neuro-Oncology, Hospital Universitari de Bellvitge-Institut Català Oncologia, Bellvitge Institute for Biomedical Research, L'Hospitalet de Llobregat, Barcelona, Spain.

Neurological Department, Agios Andreas General Hospital of Patras, Patras, Greece.

出版信息

Eur J Neurol. 2024 Dec;31(12):e16457. doi: 10.1111/ene.16457. Epub 2024 Sep 16.

DOI:10.1111/ene.16457
PMID:39282967
原文链接:https://pmc.ncbi.nlm.nih.gov/articles/PMC11554987/
Abstract

BACKGROUND AND PURPOSE

Chemotherapy-induced peripheral neuropathy (CIPN) is perceived differently by patients and physicians, complicating its assessment. Current recommendations advocate combining clinical and patient-reported outcomes measures, but this approach can be challenging in patient care. This multicenter European study aims to bridge the gap between patients' perceptions and neurological impairments by aligning both perspectives to improve treatment decision-making.

METHODS

Data were pooled from two prospective studies of subjects (n = 372) with established CIPN. Patient and physician views regarding CIPN were assessed using the National Cancer Institute Common Terminology Criteria for Adverse Events (NCI-CTCAE), Total Neuropathy Scale-clinical version (TNSc) items, and the disease-specific quality of life - Chemotherapy-Induced Peripheral Neuropathy questionnaire (QLQ-CIPN20) from the European Organization for Research and Treatment of Cancer (EORTC). To identify inherent neurotoxic severity patterns, we employed hierarchical cluster analysis optimized with k-means clustering and internally validated by discriminant functional analysis.

RESULTS

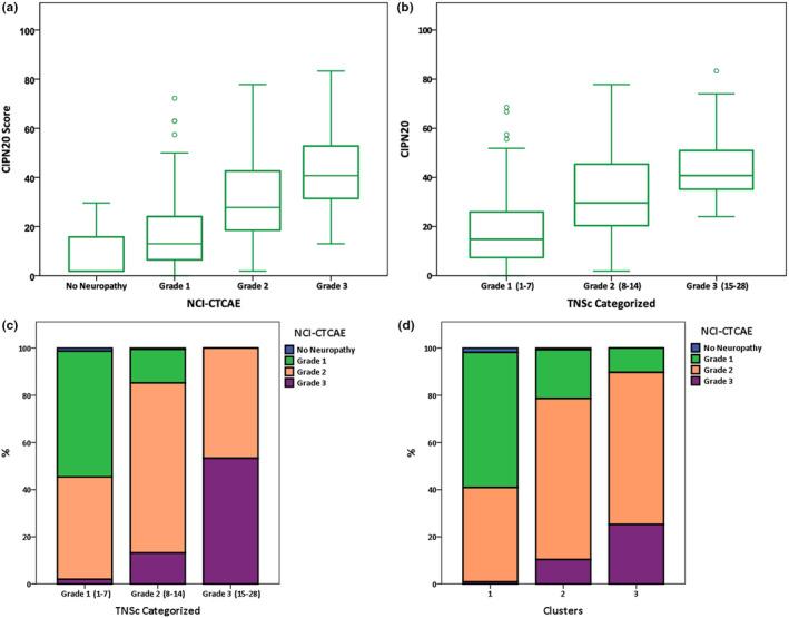
Both NCI-CTCAE and TNSc demonstrated a significant difference in the distribution of severity grades in relation to QLQ-CIPN20 scores. However, a proportion of subjects with different neurotoxic severity grades exhibited overlapping QLQ-CIPN20 scores. We identified three distinct clusters classifying subjects as having severely impaired, intermediately impaired, and mildly impaired CIPN based on TNSc and QLQ-CIPN20 scores. No differences in demographics, cancer type distribution, or class of drug received were observed.

CONCLUSIONS

Our results confirm the heterogeneity in CIPN perception between patients and physicians and identify three well-differentiated subgroups of patients delineated by degree of CIPN impairment based on scores derived from TNSc and QLQ-CIPN20. A more refined assessment of CIPN could potentially be achieved using the calculator tool derived from the cluster equations in this study. This tool, which facilitates individual patient classification, requires prospective validation.

摘要

背景与目的

化疗引起的周围神经病(CIPN)在患者和医生之间的感知不同,这使得其评估变得复杂。目前的建议主张将临床和患者报告的结果测量相结合,但这种方法在患者护理中可能具有挑战性。这项多中心欧洲研究旨在通过对齐两者的观点来缩小患者感知和神经损伤之间的差距,从而改善治疗决策。

方法

汇总了两项已建立 CIPN 的受试者前瞻性研究的数据(n=372)。使用国家癌症研究所不良事件通用术语标准(NCI-CTCAE)、总神经病变量表临床版(TNSc)项目以及欧洲癌症研究与治疗组织(EORTC)的特定疾病质量生活量表-化疗诱导的周围神经病问卷(QLQ-CIPN20)评估患者和医生对 CIPN 的看法。为了确定内在神经毒性严重程度模式,我们使用了层次聚类分析,该分析使用了 K 均值聚类进行优化,并通过判别功能分析进行了内部验证。

结果

NCI-CTCAE 和 TNSc 均显示在严重程度等级分布方面与 QLQ-CIPN20 评分有显著差异。然而,具有不同神经毒性严重程度等级的一部分患者具有重叠的 QLQ-CIPN20 评分。根据 TNSc 和 QLQ-CIPN20 评分,我们确定了三个不同的聚类,将患者分为严重受损、中度受损和轻度受损的 CIPN。在人口统计学、癌症类型分布或接受的药物类别方面没有观察到差异。

结论

我们的结果证实了患者和医生之间对 CIPN 感知的异质性,并根据 TNSc 和 QLQ-CIPN20 评分确定了基于 CIPN 损伤程度的三个截然不同的患者亚组。使用该研究中聚类方程衍生的计算器工具可以更精细地评估 CIPN。该工具有助于对个体患者进行分类,需要进行前瞻性验证。

https://cdn.ncbi.nlm.nih.gov/pmc/blobs/5872/11554987/cbaf95b13ea8/ENE-31-e16457-g002.jpg
https://cdn.ncbi.nlm.nih.gov/pmc/blobs/5872/11554987/89191100a580/ENE-31-e16457-g001.jpg
https://cdn.ncbi.nlm.nih.gov/pmc/blobs/5872/11554987/009f405b2f15/ENE-31-e16457-g003.jpg
https://cdn.ncbi.nlm.nih.gov/pmc/blobs/5872/11554987/cbaf95b13ea8/ENE-31-e16457-g002.jpg
https://cdn.ncbi.nlm.nih.gov/pmc/blobs/5872/11554987/89191100a580/ENE-31-e16457-g001.jpg
https://cdn.ncbi.nlm.nih.gov/pmc/blobs/5872/11554987/009f405b2f15/ENE-31-e16457-g003.jpg
https://cdn.ncbi.nlm.nih.gov/pmc/blobs/5872/11554987/cbaf95b13ea8/ENE-31-e16457-g002.jpg

相似文献

1
Repurposing chemotherapy-induced peripheral neuropathy grading.重新利用化疗引起的周围神经病分级。
Eur J Neurol. 2024 Dec;31(12):e16457. doi: 10.1111/ene.16457. Epub 2024 Sep 16.
2
Physician-assessed and patient-reported outcome measures in chemotherapy-induced sensory peripheral neurotoxicity: two sides of the same coin.化疗诱导感觉性周围神经毒性的医生评估和患者报告结局测量:同一枚硬币的两面。
Ann Oncol. 2014 Jan;25(1):257-64. doi: 10.1093/annonc/mdt409. Epub 2013 Nov 19.
3
Patient-reported (EORTC QLQ-CIPN20) versus physician-reported (CTCAE) quantification of oxaliplatin- and paclitaxel/carboplatin-induced peripheral neuropathy in NCCTG/Alliance clinical trials.在NCCTG/联盟临床试验中,患者报告的(欧洲癌症研究与治疗组织QLQ-CIPN20量表)与医生报告的(美国国立癌症研究所不良事件通用术语标准)对奥沙利铂和紫杉醇/卡铂引起的周围神经病变的量化比较
Support Care Cancer. 2017 Nov;25(11):3537-3544. doi: 10.1007/s00520-017-3780-y. Epub 2017 Jun 20.
4
Longitudinal validation and comparison of the Chinese version of the European Organization for Research and Treatment of Cancer Quality of Life-Chemotherapy-Induced Peripheral Neuropathy Questionnaire (EORTC QLQ-CIPN20) and the Functional Assessment of Cancer-Gynecologic Oncology Group-Neurotoxicity subscale (FACT/GOG-Ntx).欧洲癌症研究与治疗组织生活质量化疗所致周围神经病变问卷中文版(EORTC QLQ-CIPN20)与癌症功能评估-妇科肿瘤学组神经毒性子量表(FACT/GOG-Ntx)的纵向验证及比较
Asia Pac J Clin Oncol. 2019 Feb;15(1):56-62. doi: 10.1111/ajco.13000. Epub 2018 Jun 5.
5
Electronic versus paper-pencil methods for assessing chemotherapy-induced peripheral neuropathy.评估化疗引起的周围神经病变的电子方法与纸笔方法
Support Care Cancer. 2017 Nov;25(11):3437-3446. doi: 10.1007/s00520-017-3764-y. Epub 2017 Jun 2.
6
Patient-Reported Outcome Measures in Chemotherapy-Induced Peripheral Neurotoxicity: Defining Minimal and Clinically Important Changes.化疗引起的周围神经毒性中患者报告的结局指标:定义最小变化和临床重要变化
J Natl Compr Canc Netw. 2023 Feb;21(2):125-132.e3. doi: 10.6004/jnccn.2022.7074.
7
Assessing patient-reported peripheral neuropathy: the reliability and validity of the European Organization for Research and Treatment of Cancer QLQ-CIPN20 Questionnaire.评估患者报告的周围神经病变:欧洲癌症研究与治疗组织 QLQ-CIPN20 问卷的可靠性和有效性。
Qual Life Res. 2013 Dec;22(10):2787-99. doi: 10.1007/s11136-013-0379-8. Epub 2013 Mar 30.
8
Rasch model-based testing of the European Organisation for Research and Treatment of Cancer (EORTC) Quality of Life Questionnaire-Chemotherapy-Induced Peripheral Neuropathy (QLQ-CIPN20) using Alliance for Clinical Trials in Oncology (Alliance) A151408 study data.采用肿瘤临床联盟(Alliance)A151408 研究数据,对欧洲癌症研究与治疗组织(EORTC)生活质量问卷-化疗诱导性周围神经病(QLQ-CIPN20)进行基于 Rasch 模型的检验。
Support Care Cancer. 2019 Jul;27(7):2599-2608. doi: 10.1007/s00520-018-4553-y. Epub 2018 Nov 20.
9
Chemotherapy-induced neuropathy in multiple myeloma: influence on quality of life and development of a questionnaire to compose common toxicity criteria grading for use in daily clinical practice.多发性骨髓瘤化疗所致神经病变:对生活质量的影响以及一份用于日常临床实践中制定常见毒性标准分级的问卷的编制
Support Care Cancer. 2016 Jun;24(6):2411-20. doi: 10.1007/s00520-015-3032-y. Epub 2015 Dec 3.
10
Minimal clinically important difference of the EORTC QLQ-CIPN20 for worsening peripheral neuropathy in patients receiving neurotoxic chemotherapy.EORTC QLQ-CIPN20 用于评估接受神经毒性化疗的患者周围神经病变恶化的最小临床重要差异。
Support Care Cancer. 2019 Dec;27(12):4753-4762. doi: 10.1007/s00520-019-04771-8. Epub 2019 Apr 10.

引用本文的文献

1
Peripheral neuropathy and BTKis in Waldenström: a response?华氏巨球蛋白血症中的周围神经病变与布鲁顿酪氨酸激酶抑制剂:一种反应?
Blood Adv. 2025 Aug 26;9(16):4319-4320. doi: 10.1182/bloodadvances.2025016734.

本文引用的文献

1
Cognitive subgroups and the relationships with symptoms, psychosocial functioning and quality of life in first-episode non-affective psychosis: a cluster-analysis approach.首发非情感性精神病的认知亚组及其与症状、心理社会功能和生活质量的关系:一项聚类分析研究
Front Psychiatry. 2023 Jul 27;14:1203655. doi: 10.3389/fpsyt.2023.1203655. eCollection 2023.
2
Assessing chemotherapy-induced peripheral neuropathy with patient reported outcome measures: a systematic review of measurement properties and considerations for future use.使用患者报告结局测量评估化疗引起的周围神经病:测量特性的系统评价及未来应用的考虑。
Qual Life Res. 2022 Nov;31(11):3091-3107. doi: 10.1007/s11136-022-03154-7. Epub 2022 May 21.
3
Prospective Evaluation of Health Care Provider and Patient Assessments in Chemotherapy-Induced Peripheral Neurotoxicity.
化疗诱导周围神经毒性的医疗保健提供者和患者评估的前瞻性评估。
Neurology. 2021 Aug 17;97(7):e660-e672. doi: 10.1212/WNL.0000000000012300. Epub 2021 Jun 2.
4
Clinical assessment of chemotherapy-induced peripheral neuropathy: a discrete choice experiment of patient preferences.化疗引起的周围神经病的临床评估:患者偏好的离散选择实验。
Support Care Cancer. 2021 Nov;29(11):6379-6387. doi: 10.1007/s00520-021-06196-8. Epub 2021 Apr 22.
5
Patients' and physicians' interpretation of chemotherapy-induced peripheral neurotoxicity.患者和医生对化疗引起的周围神经毒性的解读。
J Peripher Nerv Syst. 2019 Mar;24(1):111-119. doi: 10.1111/jns.12306. Epub 2019 Feb 8.
6
Rasch model-based testing of the European Organisation for Research and Treatment of Cancer (EORTC) Quality of Life Questionnaire-Chemotherapy-Induced Peripheral Neuropathy (QLQ-CIPN20) using Alliance for Clinical Trials in Oncology (Alliance) A151408 study data.采用肿瘤临床联盟(Alliance)A151408 研究数据,对欧洲癌症研究与治疗组织(EORTC)生活质量问卷-化疗诱导性周围神经病(QLQ-CIPN20)进行基于 Rasch 模型的检验。
Support Care Cancer. 2019 Jul;27(7):2599-2608. doi: 10.1007/s00520-018-4553-y. Epub 2018 Nov 20.
7
Long-term peripheral neuropathy symptoms in breast cancer survivors.乳腺癌幸存者的长期周围神经病变症状。
Breast Cancer Res Treat. 2017 Nov;166(2):519-526. doi: 10.1007/s10549-017-4437-8. Epub 2017 Aug 8.
8
Chemotherapy-induced peripheral neuropathy clinical trials: Review and recommendations.化疗引起的周围神经病变临床试验:综述与建议
Neurology. 2017 Aug 22;89(8):859-869. doi: 10.1212/WNL.0000000000004272. Epub 2017 Jul 26.
9
Evaluation of the psychometric properties of the EORTC chemotherapy-induced peripheral neuropathy questionnaire (QLQ-CIPN20).欧洲癌症研究与治疗组织化疗所致周围神经病变问卷(QLQ-CIPN20)的心理测量学特性评估。
Qual Life Res. 2017 Nov;26(11):2999-3010. doi: 10.1007/s11136-017-1626-1. Epub 2017 Jun 20.
10
Long-term course of oxaliplatin-induced polyneuropathy: a prospective 2-year follow-up study.奥沙利铂所致周围神经病变的长期病程:一项为期2年的前瞻性随访研究。
J Peripher Nerv Syst. 2014 Dec;19(4):299-306. doi: 10.1111/jns.12097.