• 文献检索
  • 文档翻译
  • 深度研究
  • 学术资讯
  • Suppr Zotero 插件Zotero 插件
  • 邀请有礼
  • 套餐&价格
  • 历史记录
应用&插件
Suppr Zotero 插件Zotero 插件浏览器插件Mac 客户端Windows 客户端微信小程序
定价
高级版会员购买积分包购买API积分包
服务
文献检索文档翻译深度研究API 文档MCP 服务
关于我们
关于 Suppr公司介绍联系我们用户协议隐私条款
关注我们

Suppr 超能文献

核心技术专利:CN118964589B侵权必究
粤ICP备2023148730 号-1Suppr @ 2026

文献检索

告别复杂PubMed语法,用中文像聊天一样搜索,搜遍4000万医学文献。AI智能推荐,让科研检索更轻松。

立即免费搜索

文件翻译

保留排版,准确专业,支持PDF/Word/PPT等文件格式,支持 12+语言互译。

免费翻译文档

深度研究

AI帮你快速写综述,25分钟生成高质量综述,智能提取关键信息,辅助科研写作。

立即免费体验

基于278个城市多期双重差分检验的新型城镇化建设与城市经济韧性

New urbanization construction and city economic resilience-based on multi-period DID tests for 278 cities.

作者信息

Li Fanglin, Diao Ziyu

机构信息

School of Finance and Economics, Jiangsu University, Zhenjiang, Jiangsu, 212013, China.

出版信息

Heliyon. 2024 Aug 25;10(17):e36605. doi: 10.1016/j.heliyon.2024.e36605. eCollection 2024 Sep 15.

DOI:10.1016/j.heliyon.2024.e36605
PMID:39296071
原文链接:https://pmc.ncbi.nlm.nih.gov/articles/PMC11407932/
Abstract

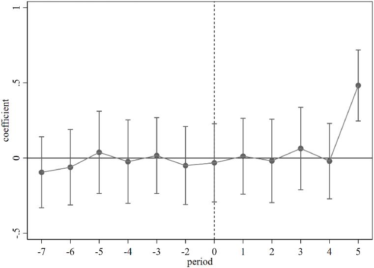
As a key measure to realize Chinese-style modernization, the construction of new urbanization injects new vitality into China 's urban economic growth by building a modern industrial system, and it is also of great significance to improve urban economic resilience. This study examines data from 278 Chinese cities spanning the period 2006-2022, utilizing a multi-period Difference-in-Differences model and a moderating effect model to investigate the impact of new urbanization on cities' economic resilience. The findings indicate that the adoption of modern urbanization significantly enhances cities' economic resilience. Notably, when examined from the perspectives of geographical location, urban scale, urban agglomeration, and urban economic development level, the impact of new urbanization is particularly pronounced in the eastern region, small cities, non-urban agglomeration cities, and cities with lower levels of economic development. The mechanism test demonstrates that new urbanization affects cities' economic resilience by fostering technological innovation and upgrading the industrial structure. Essentially, technological innovation and industrial restructuring serve as intermediaries in fortifying economic resilience through the implementation of new urbanization. As a result, recommendations are formulated to bolster the resilience of urban economies.

摘要

作为实现中国式现代化的关键举措,新型城镇化建设通过构建现代产业体系为中国城市经济增长注入新活力,对提升城市经济韧性也具有重要意义。本研究考察了2006年至2022年期间中国278个城市的数据,运用多期双重差分模型和调节效应模型来探究新型城镇化对城市经济韧性的影响。研究结果表明,推进新型城镇化显著增强了城市的经济韧性。值得注意的是,从地理位置、城市规模、城市群以及城市经济发展水平等角度考察时,新型城镇化的影响在东部地区、小城市、非城市群城市以及经济发展水平较低的城市中尤为显著。机制检验表明,新型城镇化通过促进技术创新和产业结构升级来影响城市的经济韧性。从本质上讲,技术创新和产业结构调整是通过实施新型城镇化来增强经济韧性的中介因素。据此提出了增强城市经济韧性的建议。

https://cdn.ncbi.nlm.nih.gov/pmc/blobs/7673/11407932/38084fc2e4df/gr2.jpg
https://cdn.ncbi.nlm.nih.gov/pmc/blobs/7673/11407932/de126ecdeba6/gr1.jpg
https://cdn.ncbi.nlm.nih.gov/pmc/blobs/7673/11407932/38084fc2e4df/gr2.jpg
https://cdn.ncbi.nlm.nih.gov/pmc/blobs/7673/11407932/de126ecdeba6/gr1.jpg
https://cdn.ncbi.nlm.nih.gov/pmc/blobs/7673/11407932/38084fc2e4df/gr2.jpg

相似文献

1
New urbanization construction and city economic resilience-based on multi-period DID tests for 278 cities.基于278个城市多期双重差分检验的新型城镇化建设与城市经济韧性
Heliyon. 2024 Aug 25;10(17):e36605. doi: 10.1016/j.heliyon.2024.e36605. eCollection 2024 Sep 15.
2
Urban amenity and urban economic resilience: evidence from China.城市舒适性与城市经济韧性:来自中国的证据。
Front Public Health. 2024 May 9;12:1392908. doi: 10.3389/fpubh.2024.1392908. eCollection 2024.
3
Effect of new urbanization on cities' innovation in China: Evidence from a quasi-natural experiment of a comprehensive pilot.新型城镇化对中国城市创新的影响:来自综合试点准自然实验的证据。
PLoS One. 2023 Apr 21;18(4):e0284772. doi: 10.1371/journal.pone.0284772. eCollection 2023.
4
Spatial-Temporal Evolution and Driving Factors of the Coupling Coordination between Urbanization and Urban Resilience: A Case Study of the 167 Counties in Hebei Province.河北省 167 个县城镇化与城市韧性耦合协调的时空演变及驱动因素
Int J Environ Res Public Health. 2022 Oct 12;19(20):13128. doi: 10.3390/ijerph192013128.
5
The Impact of New Urbanization Construction on Sustainable Economic Growth of Resource-Based Cities.新型城镇化建设对资源型城市可持续经济增长的影响。
Environ Sci Pollut Res Int. 2023 Sep;30(43):96860-96874. doi: 10.1007/s11356-023-29171-8. Epub 2023 Aug 15.
6
The causal effect and autonomous buffering mechanisms of large-scale internal migration on carbon emissions: evidence from China.大规模国内迁移对碳排放的因果效应和自主缓冲机制:来自中国的证据。
Environ Sci Pollut Res Int. 2024 Jan;31(5):7680-7701. doi: 10.1007/s11356-023-31632-z. Epub 2024 Jan 3.
7
Can new urbanization pilot policies promote green technology innovation in cities: Empirical evidence from China.新型城镇化试点政策能否促进城市绿色技术创新:来自中国的经验证据。
PLoS One. 2024 May 7;19(5):e0303404. doi: 10.1371/journal.pone.0303404. eCollection 2024.
8
Analysis of the spatio-temporal coupling coordination mechanism supporting economic resilience and high-quality economic development in the urban agglomeration in the middle reaches of the Yangtze River.分析长江中游城市群支撑经济弹性和高质量经济发展的时空耦合协调机制。
PLoS One. 2023 Feb 24;18(2):e0281643. doi: 10.1371/journal.pone.0281643. eCollection 2023.
9
Characteristics and evolution of knowledge innovation network in the Yangtze River Delta urban agglomeration--A case study of China National Knowledge Infrastructure.长三角城市群知识创新网络的特征与演化——以中国国家知识基础设施为例。
PLoS One. 2023 Apr 21;18(4):e0283853. doi: 10.1371/journal.pone.0283853. eCollection 2023.
10
Study on Urban Resilience from the Perspective of the Complex Adaptive System Theory: A Case Study of the Lanzhou-Xining Urban Agglomeration.基于复杂适应系统理论的城市韧性研究——以兰西城市群为例。
Int J Environ Res Public Health. 2022 Oct 21;19(20):13667. doi: 10.3390/ijerph192013667.

引用本文的文献

1
Does population agglomeration of urban clusters boost total factor productivity of enterprises? Evidence from listed companies in China.城市群的人口集聚是否能提高企业全要素生产率?来自中国上市公司的证据。
PLoS One. 2025 Jun 4;20(6):e0325703. doi: 10.1371/journal.pone.0325703. eCollection 2025.

本文引用的文献

1
Urbanization, economic agglomeration and economic growth.城市化、经济集聚与经济增长。
Heliyon. 2023 Dec 17;10(1):e23772. doi: 10.1016/j.heliyon.2023.e23772. eCollection 2024 Jan 15.
2
Digital finance and regional economic resilience: Evidence from 283 cities in China.数字金融与区域经济韧性:来自中国283个城市的证据
Heliyon. 2023 Oct 17;9(10):e21086. doi: 10.1016/j.heliyon.2023.e21086. eCollection 2023 Oct.
3
Research on the relationship between population distribution pattern and urban industrial facility agglomeration in China.
中国人口分布格局与城市产业设施集聚关系研究
Sci Rep. 2023 Sep 27;13(1):16225. doi: 10.1038/s41598-023-43376-4.
4
Spatial association network of economic resilience and its influencing factors: evidence from 31 Chinese provinces.经济韧性及其影响因素的空间关联网络:来自中国31个省份的证据
Humanit Soc Sci Commun. 2023;10(1):290. doi: 10.1057/s41599-023-01783-y. Epub 2023 Jun 5.
5
Have regional coordinated development policies promoted urban carbon emission efficiency?-the evidence from the urban agglomerations in the middle reaches of the Yangtze River.区域协调发展政策是否促进了城市碳排放效率?——来自长江中游城市群的证据
Environ Sci Pollut Res Int. 2023 Mar;30(14):39618-39636. doi: 10.1007/s11356-022-24915-4. Epub 2023 Jan 4.
6
Does new-type urbanization curb haze pollution? A case study from China.新型城镇化能遏制雾霾污染吗?来自中国的一个案例研究。
Environ Sci Pollut Res Int. 2023 Feb;30(8):20089-20104. doi: 10.1007/s11356-022-23379-w. Epub 2022 Oct 17.
7
Study on the coupling relationship between urban resilience and urbanization quality-A case study of 14 cities of Liaoning Province in China.城市弹性与城市化质量的耦合关系研究——以中国辽宁省 14 个城市为例。
PLoS One. 2021 Jan 4;16(1):e0244024. doi: 10.1371/journal.pone.0244024. eCollection 2021.
8
An industrial structure adjustment model to facilitate high-quality development of an eco-industrial park.促进生态工业园区高质量发展的产业结构调整模型。
Sci Total Environ. 2021 Apr 20;766:142502. doi: 10.1016/j.scitotenv.2020.142502. Epub 2020 Oct 3.
9
Evolution characteristics and policy implications of new urbanization in provincial capital cities in Western China.中国西部地区省会城市新型城镇化的演进特征及政策启示。
PLoS One. 2020 May 26;15(5):e0233555. doi: 10.1371/journal.pone.0233555. eCollection 2020.
10
The global pattern of urbanization and economic growth: evidence from the last three decades.全球化进程中城市化与经济增长的关系:近三十年的证据。
PLoS One. 2014 Aug 6;9(8):e103799. doi: 10.1371/journal.pone.0103799. eCollection 2014.