• 文献检索
  • 文档翻译
  • 深度研究
  • 学术资讯
  • Suppr Zotero 插件Zotero 插件
  • 邀请有礼
  • 套餐&价格
  • 历史记录
应用&插件
Suppr Zotero 插件Zotero 插件浏览器插件Mac 客户端Windows 客户端微信小程序
定价
高级版会员购买积分包购买API积分包
服务
文献检索文档翻译深度研究API 文档MCP 服务
关于我们
关于 Suppr公司介绍联系我们用户协议隐私条款
关注我们

Suppr 超能文献

核心技术专利:CN118964589B侵权必究
粤ICP备2023148730 号-1Suppr @ 2026

文献检索

告别复杂PubMed语法,用中文像聊天一样搜索,搜遍4000万医学文献。AI智能推荐,让科研检索更轻松。

立即免费搜索

文件翻译

保留排版,准确专业,支持PDF/Word/PPT等文件格式,支持 12+语言互译。

免费翻译文档

深度研究

AI帮你快速写综述,25分钟生成高质量综述,智能提取关键信息,辅助科研写作。

立即免费体验

在水和十甲基环五硅氧烷介质的混合物中使用荧光增白剂OB - 1对聚酯织物进行绿色增白。

Green whitening of polyester fabric using fluorescent brightener OB-1 in a mixture of water and decamethylcyclopentasiloxane media.

作者信息

Cai Yingjie, Xiong Jianhua, Li Le, Repon Md Reazuddin, Pervez Md Nahid, Chen Ai, Zhao Xiaohua, Han Shuang, Xiong Xiaorong, Naddeo Vincenzo, Lin Lina

机构信息

Hubei Provincial Engineering Laboratory for Clean Production and High Value Utilisation of Bio-based Textile Materials, Wuhan Textile University, Wuhan, 430200, China.

School of Computing, Huanggang Normal University, Huanggang, 438000, China.

出版信息

Heliyon. 2024 Aug 24;10(17):e36926. doi: 10.1016/j.heliyon.2024.e36926. eCollection 2024 Sep 15.

DOI:10.1016/j.heliyon.2024.e36926
PMID:39296084
原文链接:https://pmc.ncbi.nlm.nih.gov/articles/PMC11408813/
Abstract

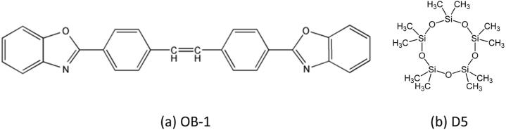
Fluorescent brightening agent OB-1 (OB-1) is often used in plastic goods because of its non-toxic nature, chemical stability, remarkable heat resistance, and light stability. Raw OB-1 is challenging to use in textiles using the exhaustion method. This study used a novel method using raw OB-1 powder to whiten polyester fabric in water and decamethylcyclopentasiloxane (D5). The Taguchi approach investigated the interaction between whitening process parameters such as temperature, OB-1 mass, water: D5 ratio, and treatment time with four levels. The study shows that the temperature and water: D5 ratio during the whitening process significantly affect the whiteness of polyester fabric (P < 0.05), with contribution percentages of 74.2 % and 25.2 %. Subsequently, various analytical techniques were employed, including FTIR, SEM, TGA, and XRD, to characterise the whitened fabric. The findings imply that using water: D5 medium was effective in whitening polyester fabric without causing major alterations to the structure of the PET fabric. The study also examined the fastness of washing and crocking to determine their whitening stability. Overall, polyester fabric whitened with water and D5 medium exhibited satisfactory whitening performance and might be a potential scope for use on a larger scale in developing the sustainable textile industry.

摘要

荧光增白剂OB-1(OB-1)因其无毒、化学稳定性好、耐热性和耐光性强,常用于塑料制品。采用竭染法将未处理的OB-1用于纺织品具有挑战性。本研究采用一种新方法,使用未处理的OB-1粉末在水和十甲基环五硅氧烷(D5)中对聚酯织物进行增白。田口方法研究了温度、OB-1质量、水与D5的比例以及处理时间等增白工艺参数在四个水平下的相互作用。研究表明,增白过程中的温度和水与D5的比例对聚酯织物白度有显著影响(P < 0.05),贡献率分别为74.2%和25.2%。随后,采用了包括傅里叶变换红外光谱(FTIR)、扫描电子显微镜(SEM)、热重分析(TGA)和X射线衍射(XRD)等多种分析技术对增白后的织物进行表征。研究结果表明,用水与D5的混合介质对聚酯织物进行增白是有效的,且不会对聚酯织物的结构造成重大改变。该研究还检测了洗涤和摩擦牢度,以确定其增白稳定性。总体而言,用水和D5介质增白的聚酯织物具有令人满意的增白性能,在可持续纺织工业发展中可能具有更大规模应用的潜力。

https://cdn.ncbi.nlm.nih.gov/pmc/blobs/a2ed/11408813/5eb954747376/gr11.jpg
https://cdn.ncbi.nlm.nih.gov/pmc/blobs/a2ed/11408813/bace43fda820/ga1.jpg
https://cdn.ncbi.nlm.nih.gov/pmc/blobs/a2ed/11408813/a5279afdcde8/gr1.jpg
https://cdn.ncbi.nlm.nih.gov/pmc/blobs/a2ed/11408813/08d329f80f6d/gr2.jpg
https://cdn.ncbi.nlm.nih.gov/pmc/blobs/a2ed/11408813/bbb5c4e226f3/gr3.jpg
https://cdn.ncbi.nlm.nih.gov/pmc/blobs/a2ed/11408813/93e8a1e6ee69/gr4.jpg
https://cdn.ncbi.nlm.nih.gov/pmc/blobs/a2ed/11408813/605a29e283e7/gr5.jpg
https://cdn.ncbi.nlm.nih.gov/pmc/blobs/a2ed/11408813/df24af3f1f9d/gr6.jpg
https://cdn.ncbi.nlm.nih.gov/pmc/blobs/a2ed/11408813/59584f84c5cc/gr7.jpg
https://cdn.ncbi.nlm.nih.gov/pmc/blobs/a2ed/11408813/ea1da2e52d53/gr8.jpg
https://cdn.ncbi.nlm.nih.gov/pmc/blobs/a2ed/11408813/47ab3560a1cf/gr9.jpg
https://cdn.ncbi.nlm.nih.gov/pmc/blobs/a2ed/11408813/0a5ba9a26c3e/gr10.jpg
https://cdn.ncbi.nlm.nih.gov/pmc/blobs/a2ed/11408813/5eb954747376/gr11.jpg
https://cdn.ncbi.nlm.nih.gov/pmc/blobs/a2ed/11408813/bace43fda820/ga1.jpg
https://cdn.ncbi.nlm.nih.gov/pmc/blobs/a2ed/11408813/a5279afdcde8/gr1.jpg
https://cdn.ncbi.nlm.nih.gov/pmc/blobs/a2ed/11408813/08d329f80f6d/gr2.jpg
https://cdn.ncbi.nlm.nih.gov/pmc/blobs/a2ed/11408813/bbb5c4e226f3/gr3.jpg
https://cdn.ncbi.nlm.nih.gov/pmc/blobs/a2ed/11408813/93e8a1e6ee69/gr4.jpg
https://cdn.ncbi.nlm.nih.gov/pmc/blobs/a2ed/11408813/605a29e283e7/gr5.jpg
https://cdn.ncbi.nlm.nih.gov/pmc/blobs/a2ed/11408813/df24af3f1f9d/gr6.jpg
https://cdn.ncbi.nlm.nih.gov/pmc/blobs/a2ed/11408813/59584f84c5cc/gr7.jpg
https://cdn.ncbi.nlm.nih.gov/pmc/blobs/a2ed/11408813/ea1da2e52d53/gr8.jpg
https://cdn.ncbi.nlm.nih.gov/pmc/blobs/a2ed/11408813/47ab3560a1cf/gr9.jpg
https://cdn.ncbi.nlm.nih.gov/pmc/blobs/a2ed/11408813/0a5ba9a26c3e/gr10.jpg
https://cdn.ncbi.nlm.nih.gov/pmc/blobs/a2ed/11408813/5eb954747376/gr11.jpg

相似文献

1
Green whitening of polyester fabric using fluorescent brightener OB-1 in a mixture of water and decamethylcyclopentasiloxane media.在水和十甲基环五硅氧烷介质的混合物中使用荧光增白剂OB - 1对聚酯织物进行绿色增白。
Heliyon. 2024 Aug 24;10(17):e36926. doi: 10.1016/j.heliyon.2024.e36926. eCollection 2024 Sep 15.
2
A Novel Coloration of Polyester Fabric through Green Silver Nanoparticles (G-AgNPs@PET).通过绿色银纳米颗粒(G-AgNPs@PET)实现的聚酯织物新型染色
Nanomaterials (Basel). 2019 Apr 8;9(4):569. doi: 10.3390/nano9040569.
3
Effect of Dispersant on Disperse Dyeing in Silicone Waterless Dyeing System.分散剂对有机硅无水染色体系中分散染料染色的影响
Polymers (Basel). 2023 Feb 20;15(4):1046. doi: 10.3390/polym15041046.
4
Cotton based composite fabric reinforced with waste polyester fibers for improved mechanical properties.以棉为基础的复合材料织物,用废聚酯纤维增强,以提高机械性能。
Waste Manag. 2020 Apr 15;107:227-234. doi: 10.1016/j.wasman.2020.04.011. Epub 2020 Apr 17.
5
Organofluorosilicon Modified Polyacrylate with the Unidirectional Migration Promotion of Disperse Dyes toward Polyester Fabric for Wash-Free Digital Inkjet Dyeing.具有促进分散染料向聚酯织物单向迁移性能的有机氟硅改性聚丙烯酸酯用于免水洗数码喷墨染色
ACS Appl Mater Interfaces. 2024 Jul 31;16(30):40030-40045. doi: 10.1021/acsami.4c08767. Epub 2024 Jul 16.
6
Enzyme hydrolysis of polyester knitted fabric: A method to control the microfiber shedding from synthetic textile.聚酯针织物的酶水解:一种控制合成纺织品微纤维脱落的方法。
Environ Sci Pollut Res Int. 2022 Nov;29(54):81265-81278. doi: 10.1007/s11356-022-21467-5. Epub 2022 Jun 22.
7
Fabrication of Superhydrophobic and Light-Absorbing Polyester Fabric Based on Caffeic Acid.基于咖啡酸的超疏水吸光聚酯织物的制备
Polymers (Basel). 2022 Dec 17;14(24):5536. doi: 10.3390/polym14245536.
8
Ecofriendly pretreatment of cotton fabrics by ultrasonication and reusing bath chemicals.通过超声处理对棉织物进行环保预处理并回用浴用化学品。
Environ Sci Pollut Res Int. 2023 Mar;30(13):36904-36914. doi: 10.1007/s11356-022-24947-w. Epub 2022 Dec 23.
9
Microfiber release from real soiled consumer laundry and the impact of fabric care products and washing conditions.微纤维从实际使用后的衣物中脱落及其对织物护理产品和洗涤条件的影响。
PLoS One. 2020 Jun 5;15(6):e0233332. doi: 10.1371/journal.pone.0233332. eCollection 2020.
10
Novel approach to water-efficient bulk industrial textile printing production of cotton fabric.新型节水式棉织物批量工业纺织品印花生产方法。
Int J Biol Macromol. 2024 Mar;262(Pt 1):130064. doi: 10.1016/j.ijbiomac.2024.130064. Epub 2024 Feb 8.

本文引用的文献

1
Optimization and prediction of the cotton fabric dyeing process using Taguchi design-integrated machine learning approach.基于田口设计集成机器学习方法的棉织物染色工艺优化与预测
Sci Rep. 2023 Jul 31;13(1):12363. doi: 10.1038/s41598-023-39528-1.
2
Sustainable traditional grass cloth fiber dyeing using the Taguchi L16 (4^4) orthogonal design.采用田口 L16(4^4)正交设计对可持续传统草布纤维进行染色。
Sci Rep. 2022 Aug 16;12(1):13833. doi: 10.1038/s41598-022-18213-9.
3
Polyester Fabric with Fluorescent Properties Using Microwave Technology for Anti-Counterfeiting Applications.
采用微波技术制备的具有荧光特性的聚酯织物在防伪领域的应用
J Fluoresc. 2022 Jan;32(1):327-345. doi: 10.1007/s10895-021-02845-7. Epub 2021 Nov 23.
4
Extraction of Cyclic Oligomer and Their Influence on Polyester Dyeing in a Silicone Waterless Dyeing System.有机硅无水染色体系中环状低聚物的萃取及其对聚酯染色的影响
Polymers (Basel). 2021 Oct 26;13(21):3687. doi: 10.3390/polym13213687.
5
Direct identification and quantitation of fluorescent whitening agent in wheat flour based on multi-molecular infrared (MM-IR) spectroscopy and stereomicroscopy.基于多分子红外(MM-IR)光谱和体视显微镜对小麦粉中荧光增白剂的直接鉴定与定量分析。
Spectrochim Acta A Mol Biomol Spectrosc. 2021 Apr 5;250:119353. doi: 10.1016/j.saa.2020.119353. Epub 2020 Dec 22.
6
Statistical modeling and optimization of heterogeneous Fenton-like removal of organic pollutant using fibrous catalysts: a full factorial design.使用纤维状催化剂对有机污染物进行非均相类芬顿去除的统计建模和优化:全因子设计。
Sci Rep. 2020 Sep 30;10(1):16133. doi: 10.1038/s41598-020-72401-z.
7
Mechanism of Accelerant on Disperse Dyeing for PET Fiber in the Silicone Solvent Dyeing System.有机硅溶剂染色体系中促进剂对涤纶纤维分散染色的作用机理
Polymers (Basel). 2019 Mar 19;11(3):520. doi: 10.3390/polym11030520.
8
Respirometric Study of Optical Brighteners in Textile Wastewater.纺织废水中荧光增白剂的呼吸测量研究。
Materials (Basel). 2019 Mar 7;12(5):785. doi: 10.3390/ma12050785.
9
Multi-Response Optimization of Resin Finishing by Using a Taguchi-Based Grey Relational Analysis.基于田口方法的灰色关联分析对树脂整理的多响应优化
Materials (Basel). 2018 Mar 15;11(3):426. doi: 10.3390/ma11030426.