• 文献检索
  • 文档翻译
  • 深度研究
  • 学术资讯
  • Suppr Zotero 插件Zotero 插件
  • 邀请有礼
  • 套餐&价格
  • 历史记录
应用&插件
Suppr Zotero 插件Zotero 插件浏览器插件Mac 客户端Windows 客户端微信小程序
定价
高级版会员购买积分包购买API积分包
服务
文献检索文档翻译深度研究API 文档MCP 服务
关于我们
关于 Suppr公司介绍联系我们用户协议隐私条款
关注我们

Suppr 超能文献

核心技术专利:CN118964589B侵权必究
粤ICP备2023148730 号-1Suppr @ 2026

文献检索

告别复杂PubMed语法,用中文像聊天一样搜索,搜遍4000万医学文献。AI智能推荐,让科研检索更轻松。

立即免费搜索

文件翻译

保留排版,准确专业,支持PDF/Word/PPT等文件格式,支持 12+语言互译。

免费翻译文档

深度研究

AI帮你快速写综述,25分钟生成高质量综述,智能提取关键信息,辅助科研写作。

立即免费体验

以同成分铌酸锂为例,研究介电氧化物中小极化子与缺陷相关的反常迁移率。

Defect related anomalous mobility of small polarons in dielectric oxides at the example of congruent lithium niobate.

作者信息

Pfannstiel Anton, Imlau Mirco, Bazzan Marco, Vittadello Laura

机构信息

Department of Mathematics/Informatics/Physics, Institute of Physics, University of Osnabrück, Barbarastraße 7, 49076, Osnabrück, Germany.

Center for Cellular Nanoanalytics, University of Osnabrück, Barbarastraße 11, 49076, Osnabrück, Germany.

出版信息

Sci Rep. 2024 Sep 27;14(1):22047. doi: 10.1038/s41598-024-71858-6.

DOI:10.1038/s41598-024-71858-6
PMID:39333554
原文链接:https://pmc.ncbi.nlm.nih.gov/articles/PMC11436959/
Abstract

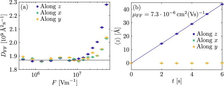
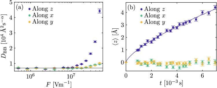
Polarons play a major role in the description of optical, electrical and dielectrical properties of several ferroelectric oxides. The motion of those particles occurs by elementary hops among the material lattice sites. In order to compute macroscopic transport parameters such as charge mobility, normal (i.e. Fickian) diffusion laws are generally assumed. In this paper we show that when defect states able to trap the polarons for long times are considered, significant deviations from the normal diffusion behaviour arise. As an example of this behavior, we consider here the case of lithium niobate (LN). This can be considered as a prototypical system, having a rich landscape of interacting polaron types and for which a significant wealth of information is available in literature. Our analysis considers the case of a stoichiometric, defect-free lithium niobate containing a certain concentration of small electron polarons hopping on regular Nb sites, and compares it to the material in congruent composition, which is generally found in real-life applications and which is characterized by a large concentration of antisite Nb defects. While in the first case the charge carriers are free polarons hopping on a regular Nb sublattice, in the second case a fraction of polarons is trapped on antisite defects. Thus, in the congruent material, a range of different hopping possibilities arises, depending on the type of starting and destination sites. We develop a formalism encompassing all these microscopic processes in the framework of a switching diffusion model which can be well approximated by a mobile-immobile transport model providing explicit expressions for the polaron mobility. Finally, starting from the Marcus-Holstein's model for the polaron hopping frequency we verify by means of a Monte Carlo approach the diffusion/mobility of the different polarons species showing that, while free polarons obey the laws for normal diffusion as expected, bound polarons follow an anomalous diffusion behaviour and that in the case of the congruent crystal where mixed free and bound polaron transport is involved, our expressions indeed provide a satisfactory description.

摘要

极化子在描述几种铁电氧化物的光学、电学和介电性质方面起着重要作用。这些粒子的运动通过在材料晶格位置之间的基本跳跃来发生。为了计算诸如电荷迁移率等宏观输运参数,通常假设服从正常(即菲克)扩散定律。在本文中,我们表明,当考虑能够长时间捕获极化子的缺陷态时,会出现与正常扩散行为的显著偏差。作为这种行为的一个例子,我们在此考虑铌酸锂(LN)的情况。这可以被视为一个典型系统,具有丰富的相互作用极化子类型图景,并且在文献中有大量可用信息。我们的分析考虑了化学计量比、无缺陷的铌酸锂的情况,其中含有一定浓度的小电子极化子在规则的铌位点上跳跃,并将其与实际应用中通常发现的同成分材料进行比较,该材料的特征是存在大量的反位铌缺陷。在第一种情况下,电荷载流子是在规则铌子晶格上跳跃的自由极化子,而在第二种情况下,一部分极化子被困在反位缺陷上。因此,在同成分材料中,根据起始和目的地位点的类型会出现一系列不同的跳跃可能性。我们在一个切换扩散模型的框架内开发了一种形式体系,该模型涵盖了所有这些微观过程,并且可以通过一个移动 - 固定输运模型很好地近似,该模型为极化子迁移率提供了明确的表达式。最后,从马库斯 - 霍尔斯坦的极化子跳跃频率模型出发,我们通过蒙特卡罗方法验证了不同极化子种类的扩散/迁移率,结果表明,虽然自由极化子如预期那样服从正常扩散定律,但束缚极化子遵循反常扩散行为,并且在涉及自由和束缚极化子混合输运的同成分晶体的情况下,我们的表达式确实提供了令人满意的描述。

https://cdn.ncbi.nlm.nih.gov/pmc/blobs/7584/11436959/bfd8cc66ff41/41598_2024_71858_Fig8_HTML.jpg
https://cdn.ncbi.nlm.nih.gov/pmc/blobs/7584/11436959/0aadc4a9491a/41598_2024_71858_Fig1_HTML.jpg
https://cdn.ncbi.nlm.nih.gov/pmc/blobs/7584/11436959/a2d0a35b2236/41598_2024_71858_Fig2_HTML.jpg
https://cdn.ncbi.nlm.nih.gov/pmc/blobs/7584/11436959/941b1b04e338/41598_2024_71858_Fig3_HTML.jpg
https://cdn.ncbi.nlm.nih.gov/pmc/blobs/7584/11436959/720b99b8cea5/41598_2024_71858_Fig4_HTML.jpg
https://cdn.ncbi.nlm.nih.gov/pmc/blobs/7584/11436959/4c2d719d13c8/41598_2024_71858_Fig5_HTML.jpg
https://cdn.ncbi.nlm.nih.gov/pmc/blobs/7584/11436959/87de27aa697a/41598_2024_71858_Fig6_HTML.jpg
https://cdn.ncbi.nlm.nih.gov/pmc/blobs/7584/11436959/e4ce894553c1/41598_2024_71858_Fig7_HTML.jpg
https://cdn.ncbi.nlm.nih.gov/pmc/blobs/7584/11436959/bfd8cc66ff41/41598_2024_71858_Fig8_HTML.jpg
https://cdn.ncbi.nlm.nih.gov/pmc/blobs/7584/11436959/0aadc4a9491a/41598_2024_71858_Fig1_HTML.jpg
https://cdn.ncbi.nlm.nih.gov/pmc/blobs/7584/11436959/a2d0a35b2236/41598_2024_71858_Fig2_HTML.jpg
https://cdn.ncbi.nlm.nih.gov/pmc/blobs/7584/11436959/941b1b04e338/41598_2024_71858_Fig3_HTML.jpg
https://cdn.ncbi.nlm.nih.gov/pmc/blobs/7584/11436959/720b99b8cea5/41598_2024_71858_Fig4_HTML.jpg
https://cdn.ncbi.nlm.nih.gov/pmc/blobs/7584/11436959/4c2d719d13c8/41598_2024_71858_Fig5_HTML.jpg
https://cdn.ncbi.nlm.nih.gov/pmc/blobs/7584/11436959/87de27aa697a/41598_2024_71858_Fig6_HTML.jpg
https://cdn.ncbi.nlm.nih.gov/pmc/blobs/7584/11436959/e4ce894553c1/41598_2024_71858_Fig7_HTML.jpg
https://cdn.ncbi.nlm.nih.gov/pmc/blobs/7584/11436959/bfd8cc66ff41/41598_2024_71858_Fig8_HTML.jpg

相似文献

1
Defect related anomalous mobility of small polarons in dielectric oxides at the example of congruent lithium niobate.以同成分铌酸锂为例,研究介电氧化物中小极化子与缺陷相关的反常迁移率。
Sci Rep. 2024 Sep 27;14(1):22047. doi: 10.1038/s41598-024-71858-6.
2
The elusive role of Nb bound polaron energy in hopping charge transport in Fe: LiNbO.铌束缚极化子能量在掺铁铌酸锂中跳跃电荷传输中的难以捉摸的作用。
J Phys Condens Matter. 2018 Mar 28;30(12):125701. doi: 10.1088/1361-648X/aaad34.
3
Electron small polarons and bipolarons in LiNbO(3).铌酸锂中的电子小极化子和双极化子
J Phys Condens Matter. 2009 Mar 25;21(12):123201. doi: 10.1088/0953-8984/21/12/123201. Epub 2009 Mar 3.
4
Small electron polarons bound to interstitial tantalum defects in lithium tantalate.束缚于钽酸锂晶体间隙钽缺陷的小极化子
J Phys Condens Matter. 2024 Jun 4;36(35). doi: 10.1088/1361-648X/ad4d47.
5
On the application of Marcus-Hush theory to small polaron chemical dynamics in oxides: its relationship to the Holstein model and the importance of lattice-orbital symmetries.关于Marcus-Hush理论在氧化物中小极化子化学动力学中的应用:其与Holstein模型的关系及晶格轨道对称性的重要性。
Phys Chem Chem Phys. 2024 Feb 7;26(6):4812-4827. doi: 10.1039/d3cp05218d.
6
Defect chemistry, redox kinetics, and chemical diffusion of lithium deficient lithium niobate.锂空位铌酸锂的缺陷化学、氧化还原动力学和化学扩散。
Phys Chem Chem Phys. 2011 Apr 21;13(15):6925-30. doi: 10.1039/c0cp02703k. Epub 2011 Feb 23.
7
Kinetic Monte Carlo model of charge transport in hematite (alpha-Fe(2)O(3)).赤铁矿(α-Fe₂O₃)中电荷传输的动力学蒙特卡罗模型
J Chem Phys. 2007 Sep 28;127(12):124706. doi: 10.1063/1.2768522.
8
Features of the Defect Structure and Luminescence of Nominally Pure Lithium Niobate Crystals Produced Using Different Technologies.不同技术制备的名义纯铌酸锂晶体的缺陷结构和发光特性
Materials (Basel). 2022 Dec 27;16(1):255. doi: 10.3390/ma16010255.
9
CO Adsorbate Promotes Polaron Photoactivity on the Reduced Rutile TiO(110) Surface.CO吸附质促进还原金红石型TiO(110)表面的极化子光活性。
JACS Au. 2021 Dec 30;2(1):234-245. doi: 10.1021/jacsau.1c00508. eCollection 2022 Jan 24.
10
Dynamics of Photoexcited Small Polarons in Transition-Metal Oxides.过渡金属氧化物中光激发小极化子的动力学
J Phys Chem Lett. 2021 Mar 11;12(9):2191-2198. doi: 10.1021/acs.jpclett.1c00003. Epub 2021 Feb 25.

本文引用的文献

1
Trifurcated Splitting of Water Droplets on Engineered Lithium Niobate Surfaces.工程化铌酸锂表面上水滴的三叉分裂
ACS Appl Mater Interfaces. 2024 Jan 24;16(3):4271-4282. doi: 10.1021/acsami.3c16573. Epub 2024 Jan 9.
2
Apparent anomalous diffusion and non-Gaussian distributions in a simple mobile-immobile transport model with Poissonian switching.具有泊松切换的简单迁移-不迁移输运模型中的明显异常扩散和非高斯分布。
J R Soc Interface. 2022 Jul;19(192):20220233. doi: 10.1098/rsif.2022.0233. Epub 2022 Jul 6.
3
Opto-Microfluidic Integration of the Bradford Protein Assay in Lithium Niobate Lab-on-a-Chip.
铌酸锂片上芯片中 Bradford 蛋白分析的光电微流控集成。
Sensors (Basel). 2022 Feb 2;22(3):1144. doi: 10.3390/s22031144.
4
Real-time precise microfluidic droplets label-sequencing combined in a velocity detection sensor.实时精确微流控液滴标记测序与速度检测传感器结合。
Sci Rep. 2021 Sep 9;11(1):17987. doi: 10.1038/s41598-021-97392-3.
5
The acoustofluidic focusing and separation of rare tumor cells using transparent lithium niobate transducers.采用透明铌酸锂换能器的声流聚焦和稀有肿瘤细胞分离。
Lab Chip. 2019 Dec 7;19(23):3922-3930. doi: 10.1039/c9lc00874h. Epub 2019 Nov 6.
6
Time-averaged mean square displacement for switching diffusion.切换扩散的时间平均均方位移
Phys Rev E. 2019 Mar;99(3-1):032133. doi: 10.1103/PhysRevE.99.032133.
7
The role of self-trapped excitons in polaronic recombination processes in lithium niobate.自陷激子在铌酸锂极化子复合过程中的作用。
J Phys Condens Matter. 2019 Feb 13;31(6):065701. doi: 10.1088/1361-648X/aaf4df. Epub 2018 Nov 29.
8
The elusive role of Nb bound polaron energy in hopping charge transport in Fe: LiNbO.铌束缚极化子能量在掺铁铌酸锂中跳跃电荷传输中的难以捉摸的作用。
J Phys Condens Matter. 2018 Mar 28;30(12):125701. doi: 10.1088/1361-648X/aaad34.
9
Photovoltaic versus optical tweezers.光伏与光镊
Opt Express. 2011 Nov 21;19(24):24320-30. doi: 10.1364/OE.19.024320.
10
Electron small polarons and bipolarons in LiNbO(3).铌酸锂中的电子小极化子和双极化子
J Phys Condens Matter. 2009 Mar 25;21(12):123201. doi: 10.1088/0953-8984/21/12/123201. Epub 2009 Mar 3.