• 文献检索
  • 文档翻译
  • 深度研究
  • 学术资讯
  • Suppr Zotero 插件Zotero 插件
  • 邀请有礼
  • 套餐&价格
  • 历史记录
应用&插件
Suppr Zotero 插件Zotero 插件浏览器插件Mac 客户端Windows 客户端微信小程序
定价
高级版会员购买积分包购买API积分包
服务
文献检索文档翻译深度研究API 文档MCP 服务
关于我们
关于 Suppr公司介绍联系我们用户协议隐私条款
关注我们

Suppr 超能文献

核心技术专利:CN118964589B侵权必究
粤ICP备2023148730 号-1Suppr @ 2026

文献检索

告别复杂PubMed语法,用中文像聊天一样搜索,搜遍4000万医学文献。AI智能推荐,让科研检索更轻松。

立即免费搜索

文件翻译

保留排版,准确专业,支持PDF/Word/PPT等文件格式,支持 12+语言互译。

免费翻译文档

深度研究

AI帮你快速写综述,25分钟生成高质量综述,智能提取关键信息,辅助科研写作。

立即免费体验

事件中心度在持续性悲伤障碍中的作用。

A role for event centrality in prolonged grief disorder.

机构信息

The MARCS Institute for Brain, Behaviour and Development, Western Sydney University, Sydney, Australia.

Unit for Bereavement Research, Department of Psychology and Behavioural Sciences, Aarhus University, Aarhus C, Denmark.

出版信息

Sci Rep. 2024 Sep 27;14(1):22093. doi: 10.1038/s41598-024-72754-9.

DOI:10.1038/s41598-024-72754-9
PMID:39333578
原文链接:https://pmc.ncbi.nlm.nih.gov/articles/PMC11437053/
Abstract

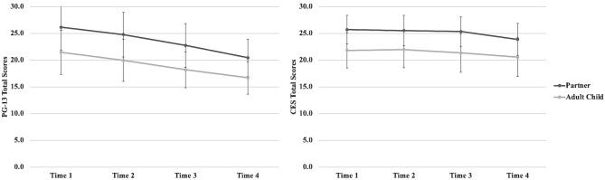
Having a traumatic or negative event at the centre of one's identity is associated with adverse psychological outcomes including post-traumatic stress, depression, and prolonged grief disorder (PGD). However, direct investigation of the role of centrality of a bereavement-event in the maintenance of PGD symptoms is scarce and has not compared immediate and long-term changes in event centrality nor examined the nature of the loss. Data from bereaved partners and adult children in The Aarhus Bereavement Study at four time points over 26 months post-loss were included in this study. Participants completed a PGD symptom measure and the Centrality of Events Scale (CES) on each occasion. Results suggest that bereaved partners had higher PGD and CES scores than bereaved adult children at all four post-bereavement time points. Regardless of relationship type, maintaining higher CES scores over time predicted PGD symptoms, over and above initial symptoms. Our findings suggest a risk factor for maintaining PGD symptoms is the continued centrality of the bereavement to ones' life story and autobiographical memory. This finding links the mechanisms for maintaining PGD symptoms to those involved in other disorders such as post-traumatic stress, with implications for theoretical models of prolonged grief as well as treatment.

摘要

一个人身份的核心是创伤或负面事件,这与包括创伤后应激障碍、抑郁和延长哀伤障碍(PGD)在内的不良心理后果有关。然而,直接调查丧失事件核心地位在维持 PGD 症状中的作用的研究很少,并且没有比较丧失事件核心地位的即时和长期变化,也没有检查丧失的性质。本研究纳入了奥胡斯丧失研究中丧失伴侣和成年子女在丧失后 26 个月的四个时间点的数据。参与者在每个时间点都完成了 PGD 症状量表和事件核心量表(CES)。结果表明,在所有四个丧失后时间点,丧失伴侣的 PGD 和 CES 评分均高于丧失成年子女。无论关系类型如何,随着时间的推移,CES 评分的持续升高预示着 PGD 症状的维持,超过了初始症状。我们的发现表明,维持 PGD 症状的一个风险因素是丧失对个人生活故事和自传记忆的持续核心地位。这一发现将维持 PGD 症状的机制与其他障碍(如创伤后应激障碍)联系起来,这对延长哀伤障碍的理论模型以及治疗都具有意义。

https://cdn.ncbi.nlm.nih.gov/pmc/blobs/5802/11437053/45dc16b62911/41598_2024_72754_Fig1_HTML.jpg
https://cdn.ncbi.nlm.nih.gov/pmc/blobs/5802/11437053/45dc16b62911/41598_2024_72754_Fig1_HTML.jpg
https://cdn.ncbi.nlm.nih.gov/pmc/blobs/5802/11437053/45dc16b62911/41598_2024_72754_Fig1_HTML.jpg

相似文献

1
A role for event centrality in prolonged grief disorder.事件中心度在持续性悲伤障碍中的作用。
Sci Rep. 2024 Sep 27;14(1):22093. doi: 10.1038/s41598-024-72754-9.
2
Prolonged grief reactions after old age spousal loss and centrality of the loss in post loss identity.老年丧偶后的长期悲伤反应和丧失后身份的中心地位。
J Affect Disord. 2018 Feb;227:338-344. doi: 10.1016/j.jad.2017.11.010. Epub 2017 Nov 8.
3
Distinctiveness of prolonged-grief-disorder- and depressive-symptom trajectories in the first 2 years of bereavement for family caregivers of terminally ill cancer patients.在晚期癌症患者临终照顾者丧亲后的头 2 年中,延长哀伤障碍和抑郁症状轨迹的特征。
Psychooncology. 2020 Oct;29(10):1524-1532. doi: 10.1002/pon.5441. Epub 2020 Jul 22.
4
A prospective examination of the association between the centrality of a loss and post-loss psychopathology.前瞻性研究丧失的中心地位与丧失后精神病理学之间的关系。
J Affect Disord. 2012 Mar;137(1-3):117-24. doi: 10.1016/j.jad.2011.12.004. Epub 2012 Jan 10.
5
Cluster analysis of prolonged grief, posttraumatic stress, and depression symptoms in bereaved asylum seekers and refugees.丧亲的寻求庇护者和难民中持续性悲伤、创伤后应激和抑郁症状的聚类分析。
Eur J Psychotraumatol. 2024;15(1):2383525. doi: 10.1080/20008066.2024.2383525. Epub 2024 Jul 31.
6
ICU Bereaved Surrogates' Transition Through States of Co-Occurring Prolonged Grief Disorder, Posttraumatic Stress Disorder, and Depression Symptoms.ICU 失去亲人的代理人通过同时存在的长期悲痛障碍、创伤后应激障碍和抑郁症状的状态过渡。
Crit Care Med. 2023 Sep 1;51(9):1159-1167. doi: 10.1097/CCM.0000000000005884. Epub 2023 Apr 28.
7
Comorbid Prolonged Grief, PTSD, and Depression Trajectories for Bereaved Family Surrogates.丧亲者代理的共病性延长哀伤、创伤后应激障碍和抑郁轨迹。
JAMA Netw Open. 2023 Nov 1;6(11):e2342675. doi: 10.1001/jamanetworkopen.2023.42675.
8
How symptoms of prolonged grief disorder, posttraumatic stress disorder, and depression relate to each other for grieving ICU families during the first two years of bereavement.在丧亲后的头两年,ICU 家庭的悲痛中,长期悲伤障碍、创伤后应激障碍和抑郁的症状如何相互关联。
Crit Care. 2022 Nov 1;26(1):336. doi: 10.1186/s13054-022-04216-5.
9
Prevalence of prolonged grief disorder in a sample of female refugees.女性难民样本中持续性悲伤障碍的患病率。
BMC Psychiatry. 2019 May 14;19(1):148. doi: 10.1186/s12888-019-2136-1.
10
Do prolonged grief disorder symptoms predict post-traumatic stress disorder symptoms following bereavement? A cross-lagged analysis.持续性悲伤障碍症状能否预测居丧后的创伤后应激障碍症状?一项交叉滞后分析。
Compr Psychiatry. 2018 Jan;80:65-71. doi: 10.1016/j.comppsych.2017.09.001. Epub 2017 Sep 12.

本文引用的文献

1
Risk factors for prolonged grief symptoms: A systematic review and meta-analysis.悲伤症状持续时间的风险因素:系统评价和荟萃分析。
Clin Psychol Rev. 2024 Feb;107:102375. doi: 10.1016/j.cpr.2023.102375. Epub 2023 Dec 29.
2
Rates of Prolonged Grief Disorder: Considering relationship to the person who died and cause of death.延长哀伤障碍的发生率:考虑与逝者的关系和死因。
J Affect Disord. 2023 Oct 15;339:832-837. doi: 10.1016/j.jad.2023.07.094. Epub 2023 Jul 19.
3
Grief is a family affair: examining longitudinal associations between prolonged grief in parents and their adult children using four-wave cross-lagged panel models.
悲伤是家庭事务:使用四波交叉滞后面板模型检验父母长期悲伤与成年子女之间的纵向关联。
Psychol Med. 2023 Nov;53(15):7428-7434. doi: 10.1017/S0033291723001101. Epub 2023 May 8.
4
It's not who you lose, it's who you are: Identity and symptom trajectory in prolonged grief.重要的不是你失去了谁,而是你变成了谁:持续性悲伤中的身份认同与症状轨迹。
Curr Psychol. 2023;42(13):11223-11233. doi: 10.1007/s12144-021-02343-w. Epub 2021 Oct 22.
5
History and Status of Prolonged Grief Disorder as a Psychiatric Diagnosis.持续性复杂丧亲障碍作为一种精神疾病诊断的历史与现状。
Annu Rev Clin Psychol. 2021 May 7;17:109-126. doi: 10.1146/annurev-clinpsy-081219-093600. Epub 2021 Feb 1.
6
The centrality of a loss-event: Patterns, correlates, and predictive value.丧失事件的核心地位:模式、相关性和预测价值。
Anxiety Stress Coping. 2021 May;34(3):258-265. doi: 10.1080/10615806.2021.1876226. Epub 2021 Jan 29.
7
Time elapsed since loss or grief persistency? Prevalence and predictors of ICD-11 prolonged grief disorder using different applications of the duration criterion.自丧失或悲痛持续以来的时间流逝?使用持续时间标准的不同应用,ICD-11 延长哀伤障碍的患病率和预测因素。
J Affect Disord. 2021 Jan 15;279:89-97. doi: 10.1016/j.jad.2020.09.116. Epub 2020 Sep 29.
8
"Identity confusion in complicated grief: A closer look": Correction.“复杂悲伤中的身份认同困惑:进一步观察”:勘误。
J Abnorm Psychol. 2020 Aug;129(6):543. doi: 10.1037/abn0000631. Epub 2020 Jun 18.
9
Event Centrality and Bereavement Symptomatology: The Moderating Role of Meaning Made.事件中心性与丧亲症状学:意义建构的调节作用。
Omega (Westport). 2018 Nov;78(1):3-23. doi: 10.1177/0030222816679659. Epub 2016 Nov 18.
10
Psychological and clinical correlates of the Centrality of Event Scale: A systematic review.事件中心性量表的心理和临床相关性:系统评价。
Clin Psychol Rev. 2018 Nov;65:57-80. doi: 10.1016/j.cpr.2018.07.006. Epub 2018 Jul 31.