Suppr超能文献

高科技企业销售人员与研发人员心理健康的区分:一项近红外光谱研究。

Distinction of mental health between salesman and R&D in high-tech enterprise: a fNIRS study.

机构信息

Center for Brain, Mind and Education, Shaoxing University, Shaoxing, China.

Department of Psychology, Shaoxing University, Shaoxing, China.

出版信息

Sci Rep. 2024 Sep 27;14(1):22371. doi: 10.1038/s41598-024-74216-8.

Abstract

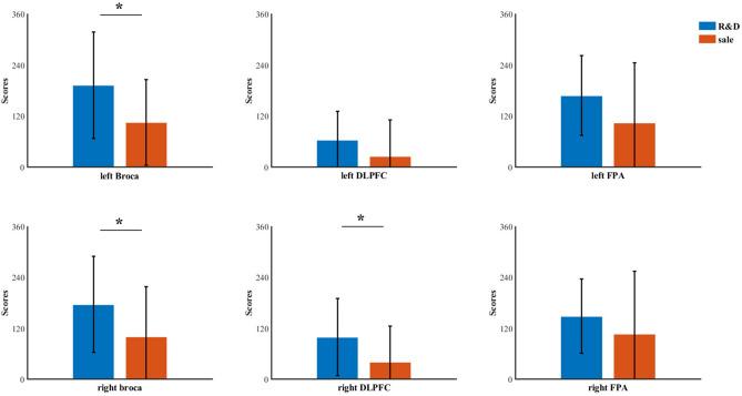
Employees in enterprises face numerous challenges due to the severe employment situation and job pressure. Sales personnel and research and development (R&D) personnel in companies are particularly susceptible to mental health issues due to the unique nature and complexity of their work. This study aims to explore the psychological health issues among sales personnel and R&D personnel in high-tech enterprises. Twenty-four R&D personnel (23 males and 1 female) and twenty-six sales personnel (25 males and 1 female) were recruited. The participants' psychological health conditions were assessed using the Symptom Checklist-90 (SCL-90) and verbal fluency tasks combined with functional near-infrared spectroscopy (VFT-fNIRS), while their work stress level was evaluated using the Personal Stress Questionnaire (PSQ) and Personal Resources Questionnaire (PRQ). The results indicated significantly higher brain activities in the right dorsolateral prefrontal cortex and bilateral Broca's areas of the R&D group compared to the sales group. The R&D group had significantly lower scores in the total score and multiple dimensions of SCL-90, such as somatization, obsession-compulsion, depression, anxiety, hostility, and paranoia. In addition, the R&D group exhibited significantly lower psychological and physical tension reactions compared to the sales group in PSQ. Based on the PRQ, the R&D group obtained significantly higher scores in self-care compared to the sales group. In conclusion, the mental health status of the R&D group is better than that of the sales group, the difference in self-care may be the most important factor leading to the difference in work stress and mental health of the two groups, VFT-fNIRS might be used to assist in detecting the mental health status of employees.

摘要

企业员工面临严峻的就业形势和工作压力,面临诸多挑战。由于工作性质和内容的独特性和复杂性,企业中的销售人员和研发人员尤其容易出现心理健康问题。本研究旨在探讨高科技企业中销售人员和研发人员的心理健康问题。共招募了 24 名研发人员(23 名男性和 1 名女性)和 26 名销售人员(25 名男性和 1 名女性)。采用症状自评量表-90(SCL-90)和言语流畅性任务结合功能近红外光谱(VFT-fNIRS)评估参与者的心理健康状况,采用个人压力问卷(PSQ)和个人资源问卷(PRQ)评估其工作压力水平。结果表明,与销售人员相比,研发人员的右背外侧前额叶皮层和双侧布洛卡区的大脑活动显著增加。研发组的 SCL-90 总分和多个维度,如躯体化、强迫观念、抑郁、焦虑、敌对、偏执等得分显著较低。此外,与销售人员相比,研发人员在 PSQ 中的心理和生理紧张反应显著较低。根据 PRQ,研发组在自我保健方面的得分明显高于销售组。总之,研发人员的心理健康状况优于销售人员,自我保健方面的差异可能是导致两组工作压力和心理健康差异的最重要因素,VFT-fNIRS 可能被用于辅助检测员工的心理健康状况。

https://cdn.ncbi.nlm.nih.gov/pmc/blobs/7c6b/11437019/7a45073298ad/41598_2024_74216_Fig1_HTML.jpg

文献检索

告别复杂PubMed语法,用中文像聊天一样搜索,搜遍4000万医学文献。AI智能推荐,让科研检索更轻松。

立即免费搜索

文件翻译

保留排版,准确专业,支持PDF/Word/PPT等文件格式,支持 12+语言互译。

免费翻译文档

深度研究

AI帮你快速写综述,25分钟生成高质量综述,智能提取关键信息,辅助科研写作。

立即免费体验