Suppr超能文献

外源性褪黑素通过影响玉米气孔形态、光合性能和抗氧化平衡缓解 NaCl 伤害。

Exogenous Melatonin Alleviates NaCl Injury by Influencing Stomatal Morphology, Photosynthetic Performance, and Antioxidant Balance in Maize.

机构信息

State Key Laboratory of Aridland Crop Science, College of Agronomy, Gansu Agricultural University, Lanzhou 730070, China.

Crop Research Institute, Gansu Academy of Agricultural Sciences, Lanzhou 730070, China.

出版信息

Int J Mol Sci. 2024 Sep 19;25(18):10077. doi: 10.3390/ijms251810077.

Abstract

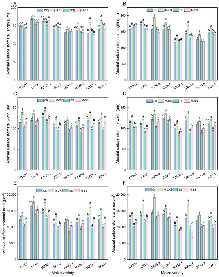
Maize ( L.) is sensitive to salt stress, especially during seed germination and seedling morphogenesis, which limits maize growth and productivity formation. As a novel recognized plant hormone, melatonin (MT) participates in multiple growth and developmental processes and mediates biotic/abiotic stress responses, yet the effects of salt stress on maize seedlings remain unclear. Herein, we investigated the effects of 150 μM exogenous MT on multiple phenotypes and physiologic metabolisms in three-leaf seedlings across eight maize inbred lines under 180 mM NaCl salt stress, including growth parameters, stomatal morphology, photosynthetic metabolisms, antioxidant enzyme activities, and reactive oxygen species (ROS). Meanwhile, the six gene expression levels controlling antioxidant enzyme activities and photosynthetic pigment biosynthesis in two materials with contrasting salt resistance were examined for all treatments to explore the possible molecular mechanism of exogenous MT alleviating salt injury in maize. The results showed that 150 μM exogenous MT application protected membrane integrity and reduced ROS accumulation by activating the antioxidant system in leaves of maize seedlings under salt stress, their relative conductivity and HO level average reduced by 20.91% and 17.22%, while the activities of superoxide dismutase (SOD), peroxidase (POD), catalase (CAT), and ascorbate peroxidase (APX) averaged increased by 13.90%, 17.02%, 22.00%, and 14.24% relative to salt stress alone. The improvement of stomatal size and the deposition of photosynthetic pigments were more favorable to enhancing photosynthesis in leaves when these seedlings treated with MT application under salt stress, their stomatal size, chlorophyll content, and net photosynthetic rate averaged increased by 11.60%, 19.64%, and 27.62%. Additionally, Gene expression analysis showed that MT stimulation significantly increased the expression of antioxidant enzyme genes (, , , and ) and photosynthetic pigment biosynthesis genes ( and ) under salt stress. At the same time, 150 μM MT significantly promoted seedling growth and biomass accumulation. In conclusion, our study may unravel crucial evidence of the role of MT in maize seedlings against salt stress, which can provide a novel strategy for improving maize salt stress resistance.

摘要

玉米(L.)对盐胁迫敏感,尤其是在种子萌发和幼苗形态发生期间,这限制了玉米的生长和生产力形成。褪黑素(MT)作为一种新的公认植物激素,参与多种生长和发育过程,并介导生物/非生物胁迫反应,但盐胁迫对玉米幼苗的影响尚不清楚。在此,我们研究了在 180 mM NaCl 盐胁迫下,外源 150 μM MT 对来自 8 个玉米自交系三叶幼苗的多个表型和生理代谢的影响,包括生长参数、气孔形态、光合代谢、抗氧化酶活性和活性氧(ROS)。同时,为了探索外源 MT 缓解玉米盐害的可能分子机制,我们检测了两种具有不同耐盐性材料中控制抗氧化酶活性和光合色素生物合成的六个基因表达水平的所有处理。结果表明,外源 MT 的应用通过激活抗氧化系统保护盐胁迫下玉米幼苗叶片的膜完整性并减少 ROS 积累,其相对电导率和 HO 水平平均降低了 20.91%和 17.22%,而超氧化物歧化酶(SOD)、过氧化物酶(POD)、过氧化氢酶(CAT)和抗坏血酸过氧化物酶(APX)的活性平均分别增加了 13.90%、17.02%、22.00%和 14.24%相对于单独的盐胁迫。在盐胁迫下用 MT 处理的幼苗,气孔大小的改善和光合色素的沉积更有利于增强叶片的光合作用,其气孔大小、叶绿素含量和净光合速率平均增加了 11.60%、19.64%和 27.62%。此外,基因表达分析表明,MT 刺激显著增加了抗氧化酶基因(、、、和)和光合色素生物合成基因(和)在盐胁迫下的表达。同时,150 μM MT 显著促进了幼苗的生长和生物量积累。总之,我们的研究可能揭示了 MT 在玉米幼苗抵御盐胁迫中的作用的关键证据,为提高玉米的耐盐性提供了一种新策略。

https://cdn.ncbi.nlm.nih.gov/pmc/blobs/e1a9/11432274/aa36c9723d28/ijms-25-10077-g001.jpg

文献检索

告别复杂PubMed语法,用中文像聊天一样搜索,搜遍4000万医学文献。AI智能推荐,让科研检索更轻松。

立即免费搜索

文件翻译

保留排版,准确专业,支持PDF/Word/PPT等文件格式,支持 12+语言互译。

免费翻译文档

深度研究

AI帮你快速写综述,25分钟生成高质量综述,智能提取关键信息,辅助科研写作。

立即免费体验