Suppr超能文献

麻疹疫情复发时代医学生和住院医师的低免疫率

Low Rates of Immunity among Medical Students and Residents in the Era of the Resurgence of Measles.

作者信息

Ferrari Cristiana, Somma Giuseppina, Caputi Vittorio, Treglia Michele, Pallocci Margherita, Cenko Fabian, Buonomo Ersilia, Carestia Mariachiara, Di Giampaolo Luca, Olesen Ole F, Coppeta Luca

机构信息

PhD Program in Social, Occupational and Medico-Legal Sciences, Department of Occupational, Medicine, University of Rome Tor Vergata, Viale Oxford 81, 00133 Rome, Italy.

Department of Biomedicine and Prevention, University of Rome Tor Vergata, Viale Oxford 81, 00133 Rome, Italy.

出版信息

Pathogens. 2024 Sep 11;13(9):784. doi: 10.3390/pathogens13090784.

Abstract

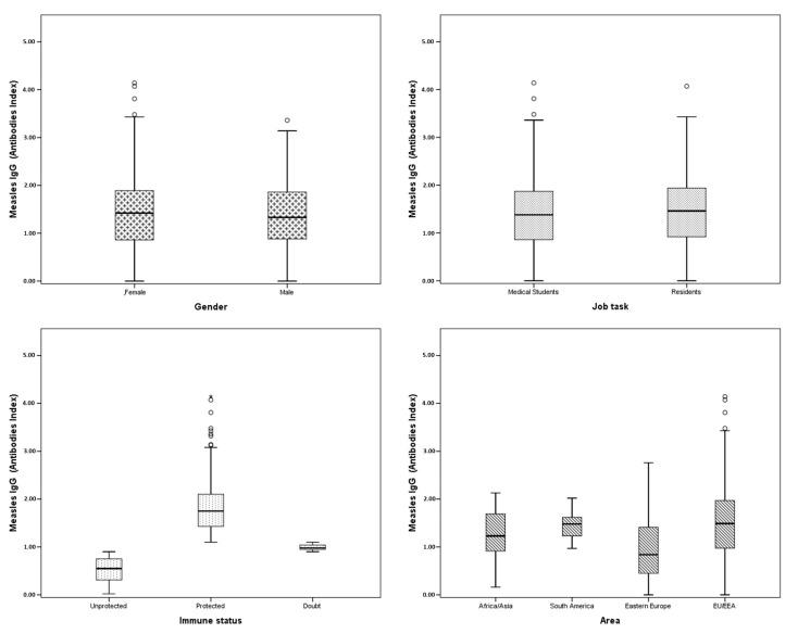
Measles is a highly contagious viral disease spread through respiratory droplets. The number of reported cases increased worldwide in 2023, particularly in the European Region. Italy reported 213 cases in the first quarter of 2024, with most of them in unvaccinated adults aged 15-64. Maintaining high vaccination coverage is essential to prevent outbreaks, especially in healthcare settings where measles transmission is a significant risk. In our study, we collected serological and demographic information from all Italian and foreign medical students and residents (850) who underwent a pre-training assessment at the Tor Vergata Occupational Medicine Service, Rome, between 3 April 2023 and 31 January 2024. Of the 850 students and residents analyzed, we found only 546 (64.2%) with a protective level of IgG antibodies against measles, with a median IgG level of 2.00 AI. A significant proportion of students and residents were serologically non-immune, raising concerns about the potential risk of hospital transmission. To manage this risk, it is important to assess serological levels, vaccinate those with inadequate levels, and promote vaccination in the general population.

摘要

麻疹是一种通过呼吸道飞沫传播的高度传染性病毒性疾病。2023年全球报告的病例数有所增加,特别是在欧洲区域。意大利在2024年第一季度报告了213例病例,其中大多数是15至64岁未接种疫苗的成年人。维持高疫苗接种覆盖率对于预防疫情爆发至关重要,尤其是在麻疹传播风险很高的医疗机构。在我们的研究中,我们收集了2023年4月3日至2024年1月31日期间在罗马托尔韦尔加塔职业医学服务中心接受培训前评估的所有意大利和外国医学生及住院医师(850人)的血清学和人口统计学信息。在分析的850名学生和住院医师中,我们发现只有546人(64.2%)具有针对麻疹的保护性IgG抗体水平,IgG水平中位数为2.00 AI。相当一部分学生和住院医师血清学上无免疫力,这引发了对医院传播潜在风险的担忧。为了管理这种风险,评估血清学水平、为水平不足者接种疫苗以及在普通人群中推广疫苗接种非常重要。

https://cdn.ncbi.nlm.nih.gov/pmc/blobs/f873/11435405/bca064ccd810/pathogens-13-00784-g001.jpg

文献检索

告别复杂PubMed语法,用中文像聊天一样搜索,搜遍4000万医学文献。AI智能推荐,让科研检索更轻松。

立即免费搜索

文件翻译

保留排版,准确专业,支持PDF/Word/PPT等文件格式,支持 12+语言互译。

免费翻译文档

深度研究

AI帮你快速写综述,25分钟生成高质量综述,智能提取关键信息,辅助科研写作。

立即免费体验