Suppr超能文献

中国广西 HIV 感染者的新型冠状病毒灭活疫苗免疫原性:一项前瞻性队列研究。

Immunogenicity of an Inactivated COVID-19 Vaccine in People Living with HIV in Guangxi, China: A Prospective Cohort Study.

机构信息

Guangxi Key Laboratory of AIDS Prevention and Treatment, School of Public Health, Guangxi Medical University, Nanning 530021, China.

Guigang Center for Disease Control and Prevention, Guigang 537100, China.

出版信息

Viruses. 2024 Sep 18;16(9):1481. doi: 10.3390/v16091481.

Abstract

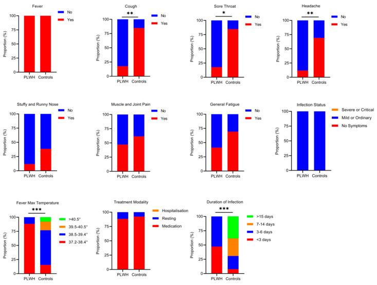
The inactivated COVID-19 vaccine has demonstrated high efficacy in the general population through extensive clinical and real-world studies. However, its effectiveness in immunocompromised individuals, particularly those living with HIV (PLWH), remains limited. In this study, 20 PLWH and 15 HIV-seronegative individuals were recruited to evaluate the immunogenicity of an inactivated COVID-19 vaccine in PLWH through a prospective cohort study. The median age of the 20 PLWH and 15 HIV-seronegative individuals was 42 years and 31 years, respectively. Of the PLWH, nine had been on ART for over five years. The median anti-SARS-CoV-2 S-RBD IgG antibody level on d was higher than that on d (8188.7 ng/mL vs. 3200.9 ng/mL, < 0.05). Following COVID-19 infection, the antibody level increased to 29,872.5 ng/mL on d, 12.19 times higher than that on d. Compared with HIV-seronegative individuals, the antibody level in PLWH was lower on d (183.3 ng/mL vs. 509.3 ng/mL, < 0.01), while there was no difference after d. The symptoms of COVID-19 infection in PLWH were comparable to those in HIV-seronegative individuals. In this study, the inactivated COVID-19 vaccine demonstrated good immunogenicity in PLWH. The protective benefit of booster vaccinations for PLWH cannot be ignored. Implementing a booster vaccination policy for PLWH is an effective approach to providing better protection against the COVID-19 pandemic.

摘要

本研究通过前瞻性队列研究,纳入 20 名 HIV 感染者和 15 名 HIV 阴性对照者,评估了灭活 COVID-19 疫苗在 HIV 感染者中的免疫原性。20 名 HIV 感染者和 15 名 HIV 阴性对照者的中位年龄分别为 42 岁和 31 岁。其中,9 名 HIV 感染者已接受 ART 治疗超过 5 年。d 的抗 SARS-CoV-2 S-RBD IgG 抗体水平中位数高于 d(8188.7ng/mL 比 3200.9ng/mL,<0.05)。COVID-19 感染后,d 的抗体水平上升至 29872.5ng/mL,是 d 的 12.19 倍。与 HIV 阴性对照者相比,d 的抗体水平在 HIV 感染者中较低(183.3ng/mL 比 509.3ng/mL,<0.01),但 d 后两组间无差异。HIV 感染者 COVID-19 感染的症状与 HIV 阴性对照者相当。在本研究中,灭活 COVID-19 疫苗在 HIV 感染者中具有良好的免疫原性。加强针接种对 HIV 感染者的保护作用不容忽视。为 HIV 感染者实施加强针接种政策是提供更好 COVID-19 大流行保护的有效方法。

https://cdn.ncbi.nlm.nih.gov/pmc/blobs/abe0/11437430/6f17175a9746/viruses-16-01481-g001.jpg

文献检索

告别复杂PubMed语法,用中文像聊天一样搜索,搜遍4000万医学文献。AI智能推荐,让科研检索更轻松。

立即免费搜索

文件翻译

保留排版,准确专业,支持PDF/Word/PPT等文件格式,支持 12+语言互译。

免费翻译文档

深度研究

AI帮你快速写综述,25分钟生成高质量综述,智能提取关键信息,辅助科研写作。

立即免费体验