Suppr超能文献

减少久坐行为对腰痛、腰背肌肉胰岛素敏感性和肌肉脂肪分数的影响及其相关性:一项 6 个月随机对照试验的二次分析。

Effects of reducing sedentary behaviour on back pain, paraspinal muscle insulin sensitivity and muscle fat fraction and their associations: a secondary analysis of a 6-month randomised controlled trial.

机构信息

Turku University Hospital, Turku, Finland

Turku PET Centre, University of Turku and Turku University Hospital, Turku, Finland.

出版信息

BMJ Open. 2024 Sep 28;14(9):e084305. doi: 10.1136/bmjopen-2024-084305.

Abstract

OBJECTIVES

Sedentary behaviour (SB) is a plausible intervention target for back pain mitigation. Therefore, this study aimed to investigate the effects of a 6-month SB reduction intervention on back pain and related disability outcomes, and paraspinal muscle (ie, erector spinae and transversospinales separately) insulin sensitivity (glucose uptake, GU) and muscle fat fraction (FF).

METHODS

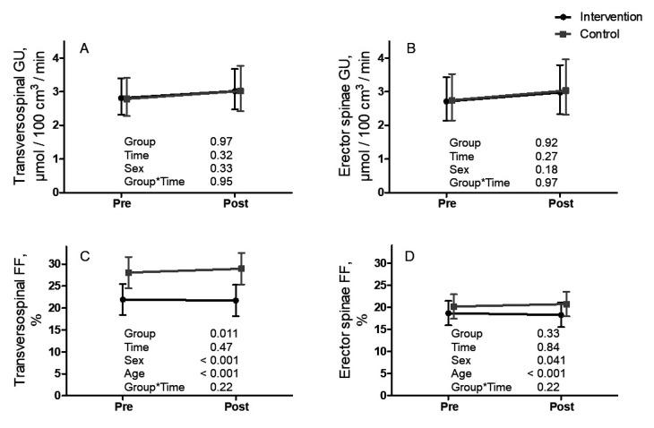
Sixty-four adults with overweight or obesity and metabolic syndrome were randomised into intervention (n=33) and control (n=31) groups. The intervention group aimed to reduce SB by 1 hour/day (measured with accelerometers) and the control group continued as usual. Back pain intensity and pain-related disability were assessed using 10 cm Visual Analogue Scales and the Oswestry Disability Index (ODI) questionnaire. Paraspinal muscle GU was measured using 18-fluorodeoxyglucose positron emission tomography during hyperinsulinaemic-euglycaemic clamp. FF was measured using MRI.

RESULTS

Pain-related disability increased during the intervention in both groups. Back pain intensity increased significantly more in the control group than in the intervention group in which back pain intensity remained unchanged (group×time p=0.030). No statistically significant between-group changes in pain-related disability, ODI or paraspinal GU and FF were observed. In the whole study group, the change in daily steps was associated positively with the change in paraspinal muscle GU.

CONCLUSION

An intervention focusing on SB reduction may be feasible for preventing back pain worsening regardless of paraspinal muscle GU or FF.

TRIAL REGISTRATION NUMBER

NCT03101228.

摘要

目的

久坐行为(SB)是缓解背痛的一个合理干预靶点。因此,本研究旨在探讨为期 6 个月的 SB 减少干预对背痛和相关残疾结局,以及脊柱旁肌肉(即竖脊肌和横突间肌分别)胰岛素敏感性(葡萄糖摄取,GU)和肌肉脂肪分数(FF)的影响。

方法

64 名超重或肥胖且患有代谢综合征的成年人被随机分为干预组(n=33)和对照组(n=31)。干预组的目标是每天减少 SB1 小时(通过加速度计测量),对照组则继续保持现状。背痛强度和与疼痛相关的残疾程度使用 10cm 视觉模拟量表和 Oswestry 残疾指数(ODI)问卷进行评估。在高胰岛素-正常血糖钳夹期间,使用 18-氟脱氧葡萄糖正电子发射断层扫描测量脊柱旁肌肉 GU。FF 使用 MRI 测量。

结果

两组在干预期间均出现与疼痛相关的残疾程度增加。与干预组相比,对照组的背痛强度在干预期间显著增加,而干预组的背痛强度保持不变(组×时间 p=0.030)。两组之间在与疼痛相关的残疾、ODI 或脊柱旁 GU 和 FF 方面均未观察到统计学上的显著变化。在整个研究组中,每天步数的变化与脊柱旁肌肉 GU 的变化呈正相关。

结论

专注于减少 SB 的干预措施可能是可行的,可以预防背痛恶化,而与脊柱旁肌肉 GU 或 FF 无关。

试验注册编号

NCT03101228。

https://cdn.ncbi.nlm.nih.gov/pmc/blobs/c23c/11440184/1844bd29e8b4/bmjopen-14-9-g001.jpg

文献检索

告别复杂PubMed语法,用中文像聊天一样搜索,搜遍4000万医学文献。AI智能推荐,让科研检索更轻松。

立即免费搜索

文件翻译

保留排版,准确专业,支持PDF/Word/PPT等文件格式,支持 12+语言互译。

免费翻译文档

深度研究

AI帮你快速写综述,25分钟生成高质量综述,智能提取关键信息,辅助科研写作。

立即免费体验