• 文献检索
  • 文档翻译
  • 深度研究
  • 学术资讯
  • Suppr Zotero 插件Zotero 插件
  • 邀请有礼
  • 套餐&价格
  • 历史记录
应用&插件
Suppr Zotero 插件Zotero 插件浏览器插件Mac 客户端Windows 客户端微信小程序
定价
高级版会员购买积分包购买API积分包
服务
文献检索文档翻译深度研究API 文档MCP 服务
关于我们
关于 Suppr公司介绍联系我们用户协议隐私条款
关注我们

Suppr 超能文献

核心技术专利:CN118964589B侵权必究
粤ICP备2023148730 号-1Suppr @ 2026

文献检索

告别复杂PubMed语法,用中文像聊天一样搜索,搜遍4000万医学文献。AI智能推荐,让科研检索更轻松。

立即免费搜索

文件翻译

保留排版,准确专业,支持PDF/Word/PPT等文件格式,支持 12+语言互译。

免费翻译文档

深度研究

AI帮你快速写综述,25分钟生成高质量综述,智能提取关键信息,辅助科研写作。

立即免费体验

用于预测乳腺癌患者局部区域复发的诺丁汉预后指数列线图。

A nomogram with Nottingham prognostic index for predicting locoregional recurrence in breast cancer patients.

作者信息

Zheng Jianqing, Zeng Bingwei, Huang Bifen, Wu Min, Xiao Lihua, Li Jiancheng

机构信息

Department of Radiation Oncology, The Second Affiliated Hospital of Fujian Medical University, Quanzhou, Fujian, China.

Department of Pathology, The Second Affiliated Hospital of Fujian Medical University, Quanzhou, Fujian, China.

出版信息

Front Oncol. 2024 Sep 16;14:1398922. doi: 10.3389/fonc.2024.1398922. eCollection 2024.

DOI:10.3389/fonc.2024.1398922
PMID:39351357
原文链接:https://pmc.ncbi.nlm.nih.gov/articles/PMC11439878/
Abstract

BACKGROUND

The Nottingham prognostic index (NPI) has been shown to negatively impact survival in breast cancer (BC). However, its ability to predict the locoregional recurrence (LRR) of BC remains still unclear. This study aims to determine whether a higher NPI serves as a significant predictor of LRR in BC.

METHODS

In total, 238 patients with BC were included in this analysis, and relevant clinicopathological features were collected. Correlation analysis was performed between NPI scores and clinicopathological characteristics. The optimal nomogram model was determined by Akaike information criterion. The accuracy of the model's predictions was evaluated using receiver operating characteristic curves (ROC curves), calibration curves and goodness of fit tests. The clinical application value was assessed through decision curve analysis.

RESULTS

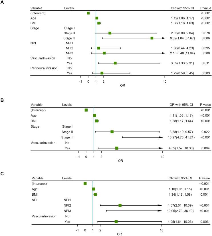
Six significant variables were identified, including age, body mass index (BMI), TNM stage, NPI, vascular invasion, perineural invasion (<0.05). Two prediction models, namely a TNM-stage-based model and an NPI-based model, were constructed. The area under the curve (AUC) for the TNM-stage- and NPI-based models were 0.843 (0.785,0.901) and 0.830 (0.766,0.893) in training set and 0.649 (0.520,0.778) and 0.728 (0.610,0.846) in validation set, respectively. Both models exhibited good calibration and goodness of fit. The F-measures were 0.761vs 0.756 and 0.556 vs 0.696, respectively. Clinical decision curve analysis showed that both models provided clinical benefits in evaluating risk judgments based on the nomogram model.

CONCLUSIONS

a higher NPI is an independent risk factor for predicting LRR in BC. The nomogram model based on NPI demonstrates good discrimination and calibration, offering potential clinical benefits. Therefore, it merits widespread adoption and application.

摘要

背景

诺丁汉预后指数(NPI)已被证明对乳腺癌(BC)的生存率有负面影响。然而,其预测BC局部区域复发(LRR)的能力仍不清楚。本研究旨在确定较高的NPI是否是BC中LRR的重要预测指标。

方法

本分析共纳入238例BC患者,并收集相关临床病理特征。对NPI评分与临床病理特征进行相关性分析。采用赤池信息准则确定最佳列线图模型。使用受试者工作特征曲线(ROC曲线)、校准曲线和拟合优度检验评估模型预测的准确性。通过决策曲线分析评估临床应用价值。

结果

确定了六个显著变量,包括年龄、体重指数(BMI)、TNM分期、NPI、血管侵犯、神经侵犯(P<0.05)。构建了两个预测模型,即基于TNM分期的模型和基于NPI的模型。在训练集中,基于TNM分期和NPI的模型的曲线下面积(AUC)分别为0.843(0.785,0.901)和0.830(0.766,0.893),在验证集中分别为0.649(0.520,0.778)和0.728(0.610,0.846)。两个模型均表现出良好的校准和拟合优度。F值分别为0.761对0.756和0.556对0.696。临床决策曲线分析表明,两个模型在基于列线图模型评估风险判断方面均提供了临床益处。

结论

较高的NPI是预测BC中LRR的独立危险因素。基于NPI的列线图模型具有良好的区分度和校准度,具有潜在的临床益处。因此,值得广泛采用和应用。

https://cdn.ncbi.nlm.nih.gov/pmc/blobs/548b/11439878/904f4bfb3f0c/fonc-14-1398922-g011.jpg
https://cdn.ncbi.nlm.nih.gov/pmc/blobs/548b/11439878/5bb437e514b9/fonc-14-1398922-g001.jpg
https://cdn.ncbi.nlm.nih.gov/pmc/blobs/548b/11439878/3b77b536bae2/fonc-14-1398922-g002.jpg
https://cdn.ncbi.nlm.nih.gov/pmc/blobs/548b/11439878/3a9492897c0c/fonc-14-1398922-g003.jpg
https://cdn.ncbi.nlm.nih.gov/pmc/blobs/548b/11439878/9a806632f131/fonc-14-1398922-g004.jpg
https://cdn.ncbi.nlm.nih.gov/pmc/blobs/548b/11439878/6c6497fc8c44/fonc-14-1398922-g005.jpg
https://cdn.ncbi.nlm.nih.gov/pmc/blobs/548b/11439878/1a5e36d22066/fonc-14-1398922-g006.jpg
https://cdn.ncbi.nlm.nih.gov/pmc/blobs/548b/11439878/66be6484b196/fonc-14-1398922-g007.jpg
https://cdn.ncbi.nlm.nih.gov/pmc/blobs/548b/11439878/80f17104f29a/fonc-14-1398922-g008.jpg
https://cdn.ncbi.nlm.nih.gov/pmc/blobs/548b/11439878/84942a846d00/fonc-14-1398922-g009.jpg
https://cdn.ncbi.nlm.nih.gov/pmc/blobs/548b/11439878/8ea66948ddee/fonc-14-1398922-g010.jpg
https://cdn.ncbi.nlm.nih.gov/pmc/blobs/548b/11439878/904f4bfb3f0c/fonc-14-1398922-g011.jpg
https://cdn.ncbi.nlm.nih.gov/pmc/blobs/548b/11439878/5bb437e514b9/fonc-14-1398922-g001.jpg
https://cdn.ncbi.nlm.nih.gov/pmc/blobs/548b/11439878/3b77b536bae2/fonc-14-1398922-g002.jpg
https://cdn.ncbi.nlm.nih.gov/pmc/blobs/548b/11439878/3a9492897c0c/fonc-14-1398922-g003.jpg
https://cdn.ncbi.nlm.nih.gov/pmc/blobs/548b/11439878/9a806632f131/fonc-14-1398922-g004.jpg
https://cdn.ncbi.nlm.nih.gov/pmc/blobs/548b/11439878/6c6497fc8c44/fonc-14-1398922-g005.jpg
https://cdn.ncbi.nlm.nih.gov/pmc/blobs/548b/11439878/1a5e36d22066/fonc-14-1398922-g006.jpg
https://cdn.ncbi.nlm.nih.gov/pmc/blobs/548b/11439878/66be6484b196/fonc-14-1398922-g007.jpg
https://cdn.ncbi.nlm.nih.gov/pmc/blobs/548b/11439878/80f17104f29a/fonc-14-1398922-g008.jpg
https://cdn.ncbi.nlm.nih.gov/pmc/blobs/548b/11439878/84942a846d00/fonc-14-1398922-g009.jpg
https://cdn.ncbi.nlm.nih.gov/pmc/blobs/548b/11439878/8ea66948ddee/fonc-14-1398922-g010.jpg
https://cdn.ncbi.nlm.nih.gov/pmc/blobs/548b/11439878/904f4bfb3f0c/fonc-14-1398922-g011.jpg

相似文献

1
A nomogram with Nottingham prognostic index for predicting locoregional recurrence in breast cancer patients.用于预测乳腺癌患者局部区域复发的诺丁汉预后指数列线图。
Front Oncol. 2024 Sep 16;14:1398922. doi: 10.3389/fonc.2024.1398922. eCollection 2024.
2
Development and Validation of a Nomogram for Predicting Survival Based on Ferritin and Transferrin Ratio in Breast Cancer Patients.基于铁蛋白和转铁蛋白比值的乳腺癌患者生存预测列线图的建立和验证。
Cancer Control. 2024 Jan-Dec;31:10732748241261553. doi: 10.1177/10732748241261553.
3
Development and validation of a prognostic nomogram for breast cancer patients who underwent chemoradiotherapy and surgery: a retrospective cohort study based on the SEER database and two Chinese cohorts.接受放化疗和手术的乳腺癌患者预后列线图的开发与验证:一项基于监测、流行病学和最终结果(SEER)数据库及两个中国队列的回顾性队列研究
Am J Cancer Res. 2023 Nov 15;13(11):5065-5081. eCollection 2023.
4
Nomogram prediction of the 70-gene signature (MammaPrint) binary and quartile categorized risk using medical history, imaging features and clinicopathological data among Chinese breast cancer patients.基于中国乳腺癌患者的病史、影像学特征和临床病理数据,对 70 基因标志(MammaPrint)二分类和四分位分类风险的列线图预测。
J Transl Med. 2023 Nov 9;21(1):798. doi: 10.1186/s12967-023-04523-7.
5
Nomogram Predicting the Risk of Locoregional Recurrence After Mastectomy for Invasive Micropapillary Carcinoma of the Breast.基于乳腺癌浸润性微乳头状癌患者术后的局部区域复发风险预测列线图
Clin Breast Cancer. 2021 Aug;21(4):e368-e376. doi: 10.1016/j.clbc.2020.12.003. Epub 2020 Dec 16.
6
Nottingham Prognostic Index Plus: Validation of a clinical decision making tool in breast cancer in an independent series.诺丁汉预后指数 Plus:在独立系列中验证乳腺癌临床决策工具的有效性。
J Pathol Clin Res. 2016 Jan 15;2(1):32-40. doi: 10.1002/cjp2.32. eCollection 2016 Jan.
7
A Nomogram Based on Hematological Parameters and Clinicopathological Characteristics for Predicting Local-Regional Recurrence After Breast-Conserving Therapy.基于血液学参数和临床病理特征的列线图预测保乳治疗后局部区域复发情况
Front Oncol. 2022 Jul 19;12:861210. doi: 10.3389/fonc.2022.861210. eCollection 2022.
8
Prediction of the Nottingham prognostic index and molecular subtypes of breast cancer through multimodal magnetic resonance imaging.通过多模态磁共振成像预测乳腺癌的诺丁汉预后指数和分子亚型。
Magn Reson Imaging. 2024 May;108:168-175. doi: 10.1016/j.mri.2024.02.012. Epub 2024 Feb 24.
9
Cost-effectiveness of using prognostic information to select women with breast cancer for adjuvant systemic therapy.利用预后信息为乳腺癌患者选择辅助性全身治疗的成本效益
Health Technol Assess. 2006 Sep;10(34):iii-iv, ix-xi, 1-204. doi: 10.3310/hta10340.
10
Establishment and verification of a nomogram to predict tumor-specific mortality risk in triple-negative breast cancer: a competing risk model based on the SEER cohort study.建立和验证用于预测三阴性乳腺癌肿瘤特异性死亡风险的列线图:基于监测、流行病学和最终结果(SEER)队列研究的竞争风险模型
Gland Surg. 2022 Dec;11(12):1961-1975. doi: 10.21037/gs-22-650.

引用本文的文献

1
Explainable machine learning to compare the overall survival status between patients receiving mastectomy and breast conserving surgeries.可解释的机器学习用于比较接受乳房切除术和保乳手术患者的总生存状况。
Sci Rep. 2025 Mar 28;15(1):10700. doi: 10.1038/s41598-025-91064-2.

本文引用的文献

1
Prediction of the Nottingham prognostic index and molecular subtypes of breast cancer through multimodal magnetic resonance imaging.通过多模态磁共振成像预测乳腺癌的诺丁汉预后指数和分子亚型。
Magn Reson Imaging. 2024 May;108:168-175. doi: 10.1016/j.mri.2024.02.012. Epub 2024 Feb 24.
2
Clinical and genetic factors associated with tumor response to neoadjuvant (chemo)radiotherapy, survival and recurrence risk in rectal cancer.与直肠癌新辅助(放化疗)治疗反应、生存和复发风险相关的临床和遗传因素。
Int J Cancer. 2024 Jul 1;155(1):40-53. doi: 10.1002/ijc.34880. Epub 2024 Feb 20.
3
Biomimetic Nanoplatform for Dual-Targeted Clearance of Activated and Senescent Cancer-Associated Fibroblasts to Improve Radiation Resistance in Breast Cancer.
仿生纳米平台用于双重靶向清除激活和衰老的癌相关成纤维细胞,以提高乳腺癌的辐射抗性。
Small. 2024 Jun;20(25):e2309279. doi: 10.1002/smll.202309279. Epub 2024 Jan 12.
4
New Approaches in Breast Cancer Radiotherapy.乳腺癌放射治疗的新方法。
Eur J Breast Health. 2023 Dec 27;20(1):1-7. doi: 10.4274/ejbh.galenos.2023.2023-11-4. eCollection 2024 Jan.
5
DNA repair in tumor radioresistance: insights from fruit flies genetics.肿瘤放射抵抗中的 DNA 修复:来自果蝇遗传学的见解。
Cell Oncol (Dordr). 2024 Jun;47(3):717-732. doi: 10.1007/s13402-023-00906-6. Epub 2023 Dec 14.
6
Evaluation of complexity and deliverability of IMRT treatment plans for breast cancer.评估乳腺癌调强放疗计划的复杂性和可交付性。
Sci Rep. 2023 Dec 6;13(1):21474. doi: 10.1038/s41598-023-48331-x.
7
Robustness of hypofractionated breast radiotherapy after breast-conserving surgery with free breathing.保乳手术后自由呼吸下的大分割乳腺放疗的稳健性
Front Oncol. 2023 Oct 31;13:1259851. doi: 10.3389/fonc.2023.1259851. eCollection 2023.
8
Construction and validation of a nomogram prediction model for axillary lymph node metastasis of cT1 invasive breast cancer.构建并验证 cT1 浸润性乳腺癌腋窝淋巴结转移的列线图预测模型。
Eur J Cancer Prev. 2024 Jul 1;33(4):309-320. doi: 10.1097/CEJ.0000000000000860. Epub 2023 Nov 21.
9
Novel biomarkers to predict treatment response and prognosis in locally advanced rectal cancer undergoing neoadjuvant chemoradiotherapy.用于预测接受新辅助放化疗的局部晚期直肠癌的治疗反应和预后的新型生物标志物。
BMC Cancer. 2023 Nov 12;23(1):1099. doi: 10.1186/s12885-023-11354-8.
10
Breast Cancer: An Overview of Current Therapeutic Strategies, Challenge, and Perspectives.乳腺癌:当前治疗策略、挑战与展望概述
Breast Cancer (Dove Med Press). 2023 Oct 20;15:721-730. doi: 10.2147/BCTT.S432526. eCollection 2023.