• 文献检索
  • 文档翻译
  • 深度研究
  • 学术资讯
  • Suppr Zotero 插件Zotero 插件
  • 邀请有礼
  • 套餐&价格
  • 历史记录
应用&插件
Suppr Zotero 插件Zotero 插件浏览器插件Mac 客户端Windows 客户端微信小程序
定价
高级版会员购买积分包购买API积分包
服务
文献检索文档翻译深度研究API 文档MCP 服务
关于我们
关于 Suppr公司介绍联系我们用户协议隐私条款
关注我们

Suppr 超能文献

核心技术专利:CN118964589B侵权必究
粤ICP备2023148730 号-1Suppr @ 2026

文献检索

告别复杂PubMed语法,用中文像聊天一样搜索,搜遍4000万医学文献。AI智能推荐,让科研检索更轻松。

立即免费搜索

文件翻译

保留排版,准确专业,支持PDF/Word/PPT等文件格式,支持 12+语言互译。

免费翻译文档

深度研究

AI帮你快速写综述,25分钟生成高质量综述,智能提取关键信息,辅助科研写作。

立即免费体验

基于体素内不相干运动分析的扩散 MRI 空间惩罚方法的可重复性。

Reproducibility of spatial penalty-based methodologies for intravoxel incoherent motion analysis with diffusion MRI.

机构信息

Centre for Biomedical Engineering, Indian Institute of Technology Delhi, New Delhi, India.

Medical Oncology, Dr. B.R.A. Institute Rotary Cancer Hospital, All India Institute of Medical Sciences, New Delhi, India.

出版信息

Sci Rep. 2024 Oct 1;14(1):22811. doi: 10.1038/s41598-024-71173-0.

DOI:10.1038/s41598-024-71173-0
PMID:39354013
原文链接:https://pmc.ncbi.nlm.nih.gov/articles/PMC11445472/
Abstract

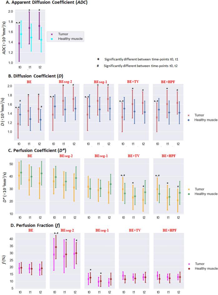
Objective was to assess the precision and reproducibility of spatial penalty-based intravoxel incoherent motion (IVIM) methods in comparison to the conventional bi-exponential (BE) model-based IVIM methods. IVIM-MRI (11 b-values; 0-800 s/mm) of forty patients (N = 40; Age = 17.7 ± 5.9 years; Male:Female = 30:10) with biopsy-proven osteosarcoma were acquired on a 1.5 Tesla scanner at 3 time-points: (i) baseline, (ii) after 1-cycle and (iii) after 3-cycles of neoadjuvant chemotherapy. Diffusion coefficient (D), Perfusion coefficient (D*) and Perfusion fraction (f) were estimated at three time-points in whole tumor and healthy muscle tissue using five methodologies (1) BE with three-parameter-fitting (BE), (2) Segmented-BE with two-parameter-fitting (BESeg-2), (3) Segmented-BE with one-parameter-fitting (BESeg-1), (4) BE with adaptive Total-Variation-penalty (BE + TV) and (5) BE with adaptive Huber-penalty (BE + HPF). Within-subject coefficient-of-variation (wCV) and between-subject coefficient-of-variation (bCV) of IVIM parameters were measured in healthy and tumor tissue. For precision and reproducibility, intra-scan comparison of wCV and bCV among five IVIM methods were performed using Friedman test followed by Wilcoxon-signed-ranks (WSR) post-hoc test. Experimental results demonstrated that BE + TV and BE + HPF showed significantly (p < 10) lower wCV and bCV for D (wCV: 24-32%; bCV: 22-31%) than BE method (wCV: 38-49%; bCV: 36-46%) across three time-points in healthy muscle and tumor. BE + TV and BE + HPF also demonstrated significantly (p < 10) lower wCV and bCV for estimating D* (wCV: 89-108%; bCV: 83-102%) and f (wCV: 55-60%; bCV: 56-60%) than BE, BESeg-2 and BESeg-1 methods (D*-wCV: 102-122%; D*-bCV: 98-114% and f-wCV: 96-130%; f-bCV: 94-125%) in both tumor and healthy tissue across three time-points. Spatial penalty based IVIM analysis methods BE + TV and BE + HPF demonstrated lower variability and improved precision and reproducibility in the current clinical settings.

摘要

目的是评估基于空间惩罚的体素内不相干运动(IVIM)方法与传统双指数(BE)模型的 IVIM 方法相比的精度和可重复性。在 3 个时间点(基线,第 1 周期后和第 3 周期后)对 40 名经活检证实为骨肉瘤的患者(N=40;年龄=17.7±5.9 岁;男:女=30:10)使用 1.5T 扫描仪采集 40 名患者的 IVIM-MRI(11 个 b 值;0-800 s/mm)。在整个肿瘤和健康肌肉组织中使用 5 种方法(1)具有三参数拟合的 BE(BE),(2)具有双参数拟合的分段 BE(BESeg-2),(3)具有单参数拟合的分段 BE(BESeg-1),(4)具有自适应全变差惩罚的 BE(BE+TV)和(5)具有自适应 Huber 惩罚的 BE(BE+HPF),分别在三个时间点估计扩散系数(D),灌注系数(D*)和灌注分数(f)。在健康组织和肿瘤组织中测量了 IVIM 参数的个体内变异系数(wCV)和个体间变异系数(bCV)。为了进行精度和可重复性评估,使用 Friedman 检验后进行 Wilcoxon 符号秩(WSR)检验,对 5 种 IVIM 方法在同一扫描中的 wCV 和 bCV 进行了比较。实验结果表明,在三个时间点,与 BE 方法相比,BE+TV 和 BE+HPF 显示出显著(p<10)较低的 D 的 wCV 和 bCV(wCV:24-32%;bCV:22-31%)(wCV:38-49%;bCV:36-46%)),健康肌肉和肿瘤中的 wCV 和 bCV。BE+TV 和 BE+HPF 还显示出与 BE,BESeg-2 和 BESeg-1 方法相比,D*(wCV:89-108%;bCV:83-102%)和 f(wCV:55-60%;bCV:56-60%)的 wCV 和 bCV 明显较低(D*-wCV:102-122%;D*-bCV:98-114%和 f-wCV:96-130%;f-bCV:94-125%),在三个时间点在肿瘤和健康组织中均如此。基于空间惩罚的 IVIM 分析方法 BE+TV 和 BE+HPF 在当前临床环境中显示出较低的变异性,并且提高了精度和可重复性。

https://cdn.ncbi.nlm.nih.gov/pmc/blobs/030c/11445472/d1fc1799d46f/41598_2024_71173_Fig5_HTML.jpg
https://cdn.ncbi.nlm.nih.gov/pmc/blobs/030c/11445472/0bc152c423cc/41598_2024_71173_Fig1_HTML.jpg
https://cdn.ncbi.nlm.nih.gov/pmc/blobs/030c/11445472/d4e1e734f364/41598_2024_71173_Fig2_HTML.jpg
https://cdn.ncbi.nlm.nih.gov/pmc/blobs/030c/11445472/eb70486ed087/41598_2024_71173_Fig3_HTML.jpg
https://cdn.ncbi.nlm.nih.gov/pmc/blobs/030c/11445472/1c37db63fcaf/41598_2024_71173_Fig4_HTML.jpg
https://cdn.ncbi.nlm.nih.gov/pmc/blobs/030c/11445472/d1fc1799d46f/41598_2024_71173_Fig5_HTML.jpg
https://cdn.ncbi.nlm.nih.gov/pmc/blobs/030c/11445472/0bc152c423cc/41598_2024_71173_Fig1_HTML.jpg
https://cdn.ncbi.nlm.nih.gov/pmc/blobs/030c/11445472/d4e1e734f364/41598_2024_71173_Fig2_HTML.jpg
https://cdn.ncbi.nlm.nih.gov/pmc/blobs/030c/11445472/eb70486ed087/41598_2024_71173_Fig3_HTML.jpg
https://cdn.ncbi.nlm.nih.gov/pmc/blobs/030c/11445472/1c37db63fcaf/41598_2024_71173_Fig4_HTML.jpg
https://cdn.ncbi.nlm.nih.gov/pmc/blobs/030c/11445472/d1fc1799d46f/41598_2024_71173_Fig5_HTML.jpg

相似文献

1
Reproducibility of spatial penalty-based methodologies for intravoxel incoherent motion analysis with diffusion MRI.基于体素内不相干运动分析的扩散 MRI 空间惩罚方法的可重复性。
Sci Rep. 2024 Oct 1;14(1):22811. doi: 10.1038/s41598-024-71173-0.
2
Radiologists' Rating for Comparative Qualitative Assessment of Intravoxel Incoherent Motion Using Novel Analysis Methods.放射科医生对使用新型分析方法进行体素内不相干运动的比较定性评估的评级
J Comput Assist Tomogr. 2024;48(2):263-272. doi: 10.1097/RCT.0000000000001540. Epub 2023 Nov 24.
3
Quantitative Analysis of Intravoxel Incoherent Motion (IVIM) Diffusion MRI using Total Variation and Huber Penalty Function.基于全变差和 Huber 罚函数的体素内不相干运动(IVIM)磁共振扩散定量分析。
Med Phys. 2017 Nov;44(11):5849-5858. doi: 10.1002/mp.12520. Epub 2017 Oct 11.
4
Lung Cancer: Short-Term Reproducibility of Intravoxel Incoherent Motion Parameters and Apparent Diffusion Coefficient at 3T.肺癌:3T 下体素内不相干运动参数和表观扩散系数的短期可重复性。
J Magn Reson Imaging. 2018 Apr;47(4):1003-1012. doi: 10.1002/jmri.25820. Epub 2017 Jul 25.
5
Bayesian intravoxel incoherent motion parameter mapping in the human heart.人体心脏中的贝叶斯体素内不相干运动参数成像。
J Cardiovasc Magn Reson. 2017 Nov 6;19(1):85. doi: 10.1186/s12968-017-0391-1.
6
Non-invasive intravoxel incoherent motion MRI in prediction of histopathological response to neoadjuvant chemotherapy and survival outcome in osteosarcoma at the time of diagnosis.基于体素内不相干运动磁共振成像的无创性预测骨肉瘤患者新辅助化疗的组织病理学反应及诊断时的生存结局。
J Transl Med. 2022 Dec 27;20(1):625. doi: 10.1186/s12967-022-03838-1.
7
Measurements of Diffusion and Perfusion in Vertebral Bone Marrow Using Intravoxel Incoherent Motion (IVIM) With Multishot, Readout-Segmented (RESOLVE) Echo-Planar Imaging.采用多激发、分段读出(RESOLVE)回波平面成像的体素内不相干运动(IVIM)测量椎体骨髓的扩散和灌注。
J Magn Reson Imaging. 2019 Mar;49(3):768-776. doi: 10.1002/jmri.26270. Epub 2018 Sep 8.
8
Intravoxel incoherent motion diffusion-weighted MRI of the abdomen: The effect of fitting algorithms on the accuracy and reliability of the parameters.腹部体素内不相干运动扩散加权磁共振成像:拟合算法对参数准确性和可靠性的影响。
J Magn Reson Imaging. 2017 Jun;45(6):1637-1647. doi: 10.1002/jmri.25535. Epub 2016 Nov 16.
9
IVIM-DKI for differentiation between prostate cancer and benign prostatic hyperplasia: comparison of 1.5 T vs. 3 T MRI.IVIM-DKI 用于鉴别前列腺癌和前列腺增生:1.5T 与 3T MRI 对比研究。
MAGMA. 2022 Aug;35(4):609-620. doi: 10.1007/s10334-021-00932-1. Epub 2021 May 29.
10
Reproducibility of intravoxel incoherent motion quantification in the liver across field strengths and gradient hardware.肝脏中体素内不相干运动定量在不同场强和梯度硬件条件下的可重复性。
Magn Reson Med. 2024 Dec;92(6):2652-2669. doi: 10.1002/mrm.30237. Epub 2024 Aug 9.

本文引用的文献

1
High-fidelity intravoxel incoherent motion parameter mapping using locally low-rank and subspace modeling.使用局部低秩和子空间建模的高保真体素内不相干运动参数映射。
Neuroimage. 2024 Apr 15;292:120601. doi: 10.1016/j.neuroimage.2024.120601. Epub 2024 Apr 7.
2
Radiologists' Rating for Comparative Qualitative Assessment of Intravoxel Incoherent Motion Using Novel Analysis Methods.放射科医生对使用新型分析方法进行体素内不相干运动的比较定性评估的评级
J Comput Assist Tomogr. 2024;48(2):263-272. doi: 10.1097/RCT.0000000000001540. Epub 2023 Nov 24.
3
Model-based reconstructions for intravoxel incoherent motion and diffusion tensor imaging parameter map estimations.
基于模型的体素内不相干运动和扩散张量成像参数图估计重建。
NMR Biomed. 2023 Aug;36(8):e4927. doi: 10.1002/nbm.4927. Epub 2023 Apr 13.
4
Non-invasive intravoxel incoherent motion MRI in prediction of histopathological response to neoadjuvant chemotherapy and survival outcome in osteosarcoma at the time of diagnosis.基于体素内不相干运动磁共振成像的无创性预测骨肉瘤患者新辅助化疗的组织病理学反应及诊断时的生存结局。
J Transl Med. 2022 Dec 27;20(1):625. doi: 10.1186/s12967-022-03838-1.
5
A supervised deep neural network approach with standardized targets for enhanced accuracy of IVIM parameter estimation from multi-SNR images.一种基于监督的深度神经网络方法,使用标准化目标,可从多 SNR 图像中提高 IVIM 参数估计的准确性。
NMR Biomed. 2022 Oct;35(10):e4774. doi: 10.1002/nbm.4774. Epub 2022 Jun 6.
6
Improved unsupervised physics-informed deep learning for intravoxel incoherent motion modeling and evaluation in pancreatic cancer patients.改进的无监督物理信息深度学习用于胰腺癌患者的体素内不相干运动建模和评估。
Magn Reson Med. 2021 Oct;86(4):2250-2265. doi: 10.1002/mrm.28852. Epub 2021 Jun 9.
7
IVIM-DKI for differentiation between prostate cancer and benign prostatic hyperplasia: comparison of 1.5 T vs. 3 T MRI.IVIM-DKI 用于鉴别前列腺癌和前列腺增生:1.5T 与 3T MRI 对比研究。
MAGMA. 2022 Aug;35(4):609-620. doi: 10.1007/s10334-021-00932-1. Epub 2021 May 29.
8
Repeatability of IVIM biomarkers from diffusion-weighted MRI in head and neck: Bayesian probability versus neural network.头颈部扩散加权磁共振成像中IVIM生物标志物的可重复性:贝叶斯概率与神经网络
Magn Reson Med. 2021 Jun;85(6):3394-3402. doi: 10.1002/mrm.28671. Epub 2021 Jan 26.
9
Texture analysis for chemotherapy response evaluation in osteosarcoma using MR imaging.基于磁共振成像的纹理分析在骨肉瘤化疗反应评估中的应用。
NMR Biomed. 2021 Feb;34(2):e4426. doi: 10.1002/nbm.4426. Epub 2020 Oct 20.
10
Perfusion-driven Intravoxel Incoherent Motion (IVIM) MRI in Oncology: Applications, Challenges, and Future Trends.灌注驱动的体素内不相干运动(IVIM)磁共振成像在肿瘤学中的应用、挑战与未来趋势。
Magn Reson Med Sci. 2021 Jun 1;20(2):125-138. doi: 10.2463/mrms.rev.2019-0124. Epub 2020 Jun 15.