Suppr超能文献

探索顺磁腔内的底物结合:用于实验与理论联合研究的核磁共振光谱工具箱

Probing substrate binding inside a paramagnetic cavity: a NMR spectroscopy toolbox for combined experimental and theoretical investigation.

作者信息

Sarkar Sabyasachi, Wu Chang-Quan, Manna Santanu, Samanta Deepannita, Chen Peter P-Y, Rath Sankar Prasad

机构信息

Department of Chemistry, Indian Institute of Technology Kanpur Kanpur-208016 India

Department of Chemistry, National Chung Hsing University 145 Xingda Rd. South Dist. Taichung City 402 Taiwan

出版信息

Chem Sci. 2024 Sep 24;15(42):17407-17. doi: 10.1039/d4sc05432f.

Abstract

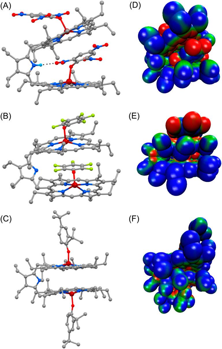
Protein cavities often rely on the paramagnetic metal present in their active site in order to catalyse various chemical transformations in biology. The selective detection and identification of the substrate is of fundamental importance in environmental monitoring and biological studies. Herein, a covalently linked Fe(iii)porphyrin dimer-based paramagnetic sensory cavity has been devised for the accurate detection and simultaneous identification of phenol (substrate) binding within the cavity that provides a unique spectroscopic signature with valuable structural and environmental information. These substrates within the paramagnetic cavity leave the fingerprints of the specific binding modes () which are well distinguished with the help of various spectroscopic studies . UV-vis, H, and F NMR and in their respective crystal structures also. The theoretical F NMR analysis plays a pivotal role in replicating the observed NMR trends with large chemical shifts of the phenolato species which in turn helps in deciphering the selective binding modes of the phenols and thereby recognizing the chemical environment within the cavity. These findings will help develop an excellent diagnostic tool for monitoring of subtle conformational changes and transient interactions.

摘要

蛋白质腔通常依赖其活性位点中存在的顺磁性金属来催化生物学中的各种化学转化。在环境监测和生物学研究中,对底物进行选择性检测和鉴定至关重要。在此,设计了一种基于共价连接的铁(III)卟啉二聚体的顺磁性传感腔,用于准确检测并同时鉴定腔体内苯酚(底物)的结合情况,该结合提供了具有宝贵结构和环境信息的独特光谱特征。顺磁性腔内的这些底物留下了特定结合模式的指纹(),借助各种光谱研究可以很好地加以区分。紫外可见光谱、氢核磁共振光谱和氟核磁共振光谱,以及它们各自的晶体结构也能做到这一点。理论氟核磁共振分析在复制观察到的核磁共振趋势方面起着关键作用,苯酚盐物种具有较大的化学位移,这反过来有助于解读酚类的选择性结合模式,从而识别腔内的化学环境。这些发现将有助于开发一种出色的诊断工具,用于监测细微的构象变化和瞬态相互作用。

https://cdn.ncbi.nlm.nih.gov/pmc/blobs/2233/11526137/4b7903c67431/d4sc05432f-f1.jpg

文献检索

告别复杂PubMed语法,用中文像聊天一样搜索,搜遍4000万医学文献。AI智能推荐,让科研检索更轻松。

立即免费搜索

文件翻译

保留排版,准确专业,支持PDF/Word/PPT等文件格式,支持 12+语言互译。

免费翻译文档

深度研究

AI帮你快速写综述,25分钟生成高质量综述,智能提取关键信息,辅助科研写作。

立即免费体验