• 文献检索
  • 文档翻译
  • 深度研究
  • 学术资讯
  • Suppr Zotero 插件Zotero 插件
  • 邀请有礼
  • 套餐&价格
  • 历史记录
应用&插件
Suppr Zotero 插件Zotero 插件浏览器插件Mac 客户端Windows 客户端微信小程序
定价
高级版会员购买积分包购买API积分包
服务
文献检索文档翻译深度研究API 文档MCP 服务
关于我们
关于 Suppr公司介绍联系我们用户协议隐私条款
关注我们

Suppr 超能文献

核心技术专利:CN118964589B侵权必究
粤ICP备2023148730 号-1Suppr @ 2026

文献检索

告别复杂PubMed语法,用中文像聊天一样搜索,搜遍4000万医学文献。AI智能推荐,让科研检索更轻松。

立即免费搜索

文件翻译

保留排版,准确专业,支持PDF/Word/PPT等文件格式,支持 12+语言互译。

免费翻译文档

深度研究

AI帮你快速写综述,25分钟生成高质量综述,智能提取关键信息,辅助科研写作。

立即免费体验

急性疱疹性神经痛患者中电流感觉阈值对脉冲射频预后的预测价值

Predictive Value of Current Perception Threshold for Prognosis of Pulsed Radiofrequency in Patients with Acute Herpetic Neuralgia.

作者信息

Zhao Chengcheng, Lu Ziwei, Hua Bohan, Yue Jiayu, Yang Qinru, Ni Huadong, Yao Ming

机构信息

Jiaxing University Master's Degree Cultivation Base, Zhejiang Chinese Medical University, Jiaxing City, Zhejiang Province, People's Republic of China.

Department of Anesthesiology and Pain Research Center, The Affiliated Hospital of Jiaxing University, Jiaxing City, Zhejiang Province, People's Republic of China.

出版信息

J Pain Res. 2024 Oct 2;17:3241-3253. doi: 10.2147/JPR.S472535. eCollection 2024.

DOI:10.2147/JPR.S472535
PMID:39371492
原文链接:https://pmc.ncbi.nlm.nih.gov/articles/PMC11456298/
Abstract

OBJECTIVE

This study aimed to evaluate the prognostic accuracy of the Current Perception Threshold (CPT) in Acute Herpetic Neuralgia (AHN) patients receiving Pulsed Radiofrequency (PRF) therapy and to develop a corresponding prognostic model.

METHODS

We retrospectively analyzed data from 106 AHN patients treated with PRF between January 2022 and May 2023. The occurrence of Postherpetic Neuralgia (PHN) after treatment categorized patients into non-PHN and PHN groups. The predictive role of CPT indices for PRF outcomes was assessed using the Receiver Operating Characteristic (ROC) curve and Area Under Curve (AUC). Then the dataset was split into a training set (n=74) and a validation set (n=32). Factors associated with PHN development were identified using univariate and multivariate logistic regression. A nomogram model was developed using significant predictors and internal validation was performed using valid set data.

RESULTS

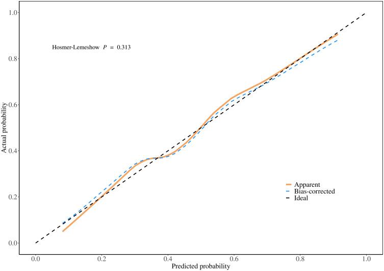
Among the 106 patients, 45 had a poor prognosis. Significant differences in age, preoperative Numerical Rating Scale (NRS) score, and 5Hz CPT ratio were observed between the groups (<0.05). Logistic regression identified these factors as independent predictors for PRF prognosis (<0.05). The 5Hz CPT ratio demonstrated predictive value (AUC= 0.764, 95% CI: 0.674-0.855). The nomogram model, incorporating these predictors, showed high AUC in both the training (0.863, 95% CI: 0.776-0.950) and validation sets (0.859, 95% CI: 0.721-0.998). Calibration curves indicated good model fit, and the Hosmer-Lemeshow test confirmed this (>0.05). Decision Curve Analysis (DCA) highlighted the model's predictive advantage.

CONCLUSION

The 5Hz CPT ratio can predict the prognosis of PRF in AHN patients. The nomogram model has high precision and clinical utility. It can help identify AHN patients with a poor PRF prognosis at an early stage and assist in clinical decision-making.

摘要

目的

本研究旨在评估接受脉冲射频(PRF)治疗的急性疱疹性神经痛(AHN)患者中电流感觉阈值(CPT)的预后准确性,并建立相应的预后模型。

方法

我们回顾性分析了2022年1月至2023年5月期间接受PRF治疗的106例AHN患者的数据。根据治疗后带状疱疹后神经痛(PHN)的发生情况将患者分为非PHN组和PHN组。使用受试者工作特征(ROC)曲线和曲线下面积(AUC)评估CPT指标对PRF治疗结果的预测作用。然后将数据集分为训练集(n = 74)和验证集(n = 32)。使用单因素和多因素逻辑回归确定与PHN发生相关的因素。使用显著预测因子建立列线图模型,并使用验证集数据进行内部验证。

结果

106例患者中,45例预后较差。两组之间在年龄、术前数字评分量表(NRS)评分和5Hz CPT比值方面存在显著差异(<0.05)。逻辑回归确定这些因素为PRF预后的独立预测因子(<0.05)。5Hz CPT比值显示出预测价值(AUC = 0.764,95% CI:0.674 - 0.855)。纳入这些预测因子的列线图模型在训练集(0.863,95% CI:0.776 - 0.950)和验证集(0.859,95% CI:0.721 - 0.998)中均显示出较高的AUC。校准曲线表明模型拟合良好,Hosmer-Lemeshow检验证实了这一点(>0.05)。决策曲线分析(DCA)突出了该模型的预测优势。

结论

5Hz CPT比值可预测AHN患者PRF的预后。列线图模型具有较高的精度和临床实用性。它可以帮助早期识别PRF预后较差的AHN患者,并协助临床决策。

https://cdn.ncbi.nlm.nih.gov/pmc/blobs/06c3/11456298/7552df18a8c7/JPR-17-3241-g0007.jpg
https://cdn.ncbi.nlm.nih.gov/pmc/blobs/06c3/11456298/01ed27b46d4d/JPR-17-3241-g0001.jpg
https://cdn.ncbi.nlm.nih.gov/pmc/blobs/06c3/11456298/71ac8f65d488/JPR-17-3241-g0002.jpg
https://cdn.ncbi.nlm.nih.gov/pmc/blobs/06c3/11456298/e65893e6159e/JPR-17-3241-g0003.jpg
https://cdn.ncbi.nlm.nih.gov/pmc/blobs/06c3/11456298/9254d9e2d3b0/JPR-17-3241-g0004.jpg
https://cdn.ncbi.nlm.nih.gov/pmc/blobs/06c3/11456298/e52b9063a077/JPR-17-3241-g0005.jpg
https://cdn.ncbi.nlm.nih.gov/pmc/blobs/06c3/11456298/adcf8d77e538/JPR-17-3241-g0006.jpg
https://cdn.ncbi.nlm.nih.gov/pmc/blobs/06c3/11456298/7552df18a8c7/JPR-17-3241-g0007.jpg
https://cdn.ncbi.nlm.nih.gov/pmc/blobs/06c3/11456298/01ed27b46d4d/JPR-17-3241-g0001.jpg
https://cdn.ncbi.nlm.nih.gov/pmc/blobs/06c3/11456298/71ac8f65d488/JPR-17-3241-g0002.jpg
https://cdn.ncbi.nlm.nih.gov/pmc/blobs/06c3/11456298/e65893e6159e/JPR-17-3241-g0003.jpg
https://cdn.ncbi.nlm.nih.gov/pmc/blobs/06c3/11456298/9254d9e2d3b0/JPR-17-3241-g0004.jpg
https://cdn.ncbi.nlm.nih.gov/pmc/blobs/06c3/11456298/e52b9063a077/JPR-17-3241-g0005.jpg
https://cdn.ncbi.nlm.nih.gov/pmc/blobs/06c3/11456298/adcf8d77e538/JPR-17-3241-g0006.jpg
https://cdn.ncbi.nlm.nih.gov/pmc/blobs/06c3/11456298/7552df18a8c7/JPR-17-3241-g0007.jpg

相似文献

1
Predictive Value of Current Perception Threshold for Prognosis of Pulsed Radiofrequency in Patients with Acute Herpetic Neuralgia.急性疱疹性神经痛患者中电流感觉阈值对脉冲射频预后的预测价值
J Pain Res. 2024 Oct 2;17:3241-3253. doi: 10.2147/JPR.S472535. eCollection 2024.
2
A Prognostic Model Incorporating Relevant Peripheral Blood Inflammation Indicator to Predict Postherpetic Neuralgia in Patients with Acute Herpes Zoster.一种纳入相关外周血炎症指标的预后模型,用于预测急性带状疱疹患者的带状疱疹后神经痛。
J Pain Res. 2024 Jul 1;17:2299-2309. doi: 10.2147/JPR.S466939. eCollection 2024.
3
Comparison of the efficacy of pulsed radiofrequency in treating acute herpetic neuralgia and postherpetic neuralgia in the thoracic segment.脉冲射频治疗胸段急性带状疱疹神经痛和带状疱疹后神经痛的疗效比较
Front Neurol. 2024 Aug 29;15:1425796. doi: 10.3389/fneur.2024.1425796. eCollection 2024.
4
Development of a Prediction Model and Corresponding Scoring Table for Postherpetic Neuralgia Using Six Machine Learning Algorithms: A Retrospective Study.使用六种机器学习算法开发带状疱疹后神经痛预测模型及相应评分表:一项回顾性研究
Pain Ther. 2024 Aug;13(4):883-907. doi: 10.1007/s40122-024-00612-7. Epub 2024 Jun 4.
5
Effect of Repeated High-voltage Long-duration Pulsed Radiofrequency on Herpetic Neuralgia.高频长时脉冲射频治疗疱疹后神经痛的疗效。
Pain Physician. 2022 Oct;25(7):E1047-E1055.
6
A Predictive Model for the Risk of Postsurgery Pain Recurrence in the V1 Branch of the Trigeminal Nerve.预测三叉神经 V1 分支术后疼痛复发风险的模型。
Pain Physician. 2024 Jan;27(1):E147-E155.
7
Novel Bipolar High-Voltage Pulsed Radiofrequency Targeting the Cervical Sympathetic Chain for Treating Acute Herpetic Neuralgia.新型双极高压脉冲射频靶向颈交感神经链治疗急性疱疹性神经痛
Neuromodulation. 2023 Dec;26(8):1808-1816. doi: 10.1016/j.neurom.2021.12.003. Epub 2022 Jan 12.
8
Association between the Risk of Relapse and the Type of Surgical Procedure for Herpes Zoster-related Pain.带状疱疹相关疼痛的手术类型与复发风险之间的关联。
Pain Physician. 2021 Dec;24(8):E1227-1236.
9
Development of a Model for Predicting the Effectiveness of Pulsed Radiofrequency on Zoster-Associated Pain.预测脉冲射频治疗带状疱疹相关性疼痛疗效模型的建立
Pain Ther. 2022 Mar;11(1):253-267. doi: 10.1007/s40122-022-00355-3. Epub 2022 Jan 30.
10
Effective treatment of high-voltage pulsed radiofrequency combined with oxygen-ozone injection in acute zoster neuralgia.高压脉冲射频联合臭氧注射治疗急性带状疱疹神经痛的疗效观察。
Clin Neurol Neurosurg. 2022 Dec;223:107496. doi: 10.1016/j.clineuro.2022.107496. Epub 2022 Oct 28.

引用本文的文献

1
Development and external validation of a dynamic nomogram for predicting the risk of functional outcome after 90 days in patients with acute intracerebral hemorrhage.急性脑出血患者90天功能预后风险预测动态列线图的开发与外部验证
Front Neurol. 2025 Jan 29;16:1519091. doi: 10.3389/fneur.2025.1519091. eCollection 2025.
2
Regarding "Enhancing Predictive Accuracy for Acute Herpetic Neuralgia Treatment: A Fresh Perspective on Pulsed Radiofrequency Therapy Research" [Response to Letter].关于《提高急性疱疹性神经痛治疗的预测准确性:脉冲射频治疗研究的新视角》[对信件的回复]
J Pain Res. 2025 Jan 30;18:525-526. doi: 10.2147/JPR.S506601. eCollection 2025.
3

本文引用的文献

1
Development and validation of nomogram models for predicting postoperative prognosis of early-stage laryngeal squamous cell carcinoma.列线图模型的建立与验证:预测早期喉鳞状细胞癌术后预后的新方法。
Curr Probl Cancer. 2024 Apr;49:101079. doi: 10.1016/j.currproblcancer.2024.101079. Epub 2024 Mar 15.
2
Genetic Factors Associated with the Development of Neuropathy in Type 2 Diabetes.与 2 型糖尿病神经病变发展相关的遗传因素。
Int J Mol Sci. 2024 Feb 2;25(3):1815. doi: 10.3390/ijms25031815.
3
[Efficacy and safety of pulsed radiofrequency combined with gabapentin in the treatment of acute herpetic neuralgia].
Enhancing Predictive Accuracy for Acute Herpetic Neuralgia Treatment: A Fresh Perspective on Pulsed Radiofrequency Therapy Research [Letter].
提高急性疱疹性神经痛治疗的预测准确性:脉冲射频治疗研究的新视角[信函]
J Pain Res. 2024 Nov 19;17:3841-3842. doi: 10.2147/JPR.S500107. eCollection 2024.
脉冲射频联合加巴喷丁治疗急性带状疱疹神经痛的疗效及安全性
Zhonghua Yi Xue Za Zhi. 2023 Dec 26;103(48):3954-3958. doi: 10.3760/cma.j.cn112137-20230921-00517.
4
Long-term dopamine agonist treatment fails to restore altered central sensory processing in restless legs syndrome: Evidence from current perception threshold measurements.长期多巴胺激动剂治疗无法恢复不宁腿综合征中改变的中枢感觉处理:来自当前感知阈值测量的证据。
Sleep Med. 2024 Jan;113:1-5. doi: 10.1016/j.sleep.2023.11.010. Epub 2023 Nov 10.
5
Evaluation of perception threshold and pain in patients with Parkinson's disease using PainVision.使用PainVision评估帕金森病患者的感知阈值和疼痛
Front Neurol. 2023 May 5;14:1130986. doi: 10.3389/fneur.2023.1130986. eCollection 2023.
6
[Study of risk factors of postherpetic neuralgia].[带状疱疹后神经痛的危险因素研究]
Zhonghua Yi Xue Za Zhi. 2022 Nov 1;102(40):3181-3185. doi: 10.3760/cma.j.cn112137-20220601-01213.
7
Development of a Model for Predicting the Effectiveness of Pulsed Radiofrequency on Zoster-Associated Pain.预测脉冲射频治疗带状疱疹相关性疼痛疗效模型的建立
Pain Ther. 2022 Mar;11(1):253-267. doi: 10.1007/s40122-022-00355-3. Epub 2022 Jan 30.
8
Efficacy and safety of pulsed radiofrequency modulation of thoracic dorsal root ganglion or intercostal nerve on postherpetic neuralgia in aged patients: a retrospective study.脉冲射频调制胸背部脊神经节或肋间神经治疗老年带状疱疹后神经痛的疗效和安全性:一项回顾性研究。
BMC Neurol. 2021 Jun 24;21(1):233. doi: 10.1186/s12883-021-02286-6.
9
Economic Burden and Impact on Quality of Life of Herpes Zoster in Spanish Adults Aged 50 Years or Older: A Prospective Cohort Study.西班牙 50 岁及以上成年人带状疱疹的经济负担和对生活质量的影响:一项前瞻性队列研究。
Adv Ther. 2021 Jun;38(6):3325-3341. doi: 10.1007/s12325-021-01717-7. Epub 2021 May 19.
10
A systematic literature review of herpes zoster incidence worldwide.一项关于全球带状疱疹发病率的系统文献综述。
Hum Vaccin Immunother. 2021 Jun 3;17(6):1714-1732. doi: 10.1080/21645515.2020.1847582. Epub 2021 Mar 2.