• 文献检索
  • 文档翻译
  • 深度研究
  • 学术资讯
  • Suppr Zotero 插件Zotero 插件
  • 邀请有礼
  • 套餐&价格
  • 历史记录
应用&插件
Suppr Zotero 插件Zotero 插件浏览器插件Mac 客户端Windows 客户端微信小程序
定价
高级版会员购买积分包购买API积分包
服务
文献检索文档翻译深度研究API 文档MCP 服务
关于我们
关于 Suppr公司介绍联系我们用户协议隐私条款
关注我们

Suppr 超能文献

核心技术专利:CN118964589B侵权必究
粤ICP备2023148730 号-1Suppr @ 2026

文献检索

告别复杂PubMed语法,用中文像聊天一样搜索,搜遍4000万医学文献。AI智能推荐,让科研检索更轻松。

立即免费搜索

文件翻译

保留排版,准确专业,支持PDF/Word/PPT等文件格式,支持 12+语言互译。

免费翻译文档

深度研究

AI帮你快速写综述,25分钟生成高质量综述,智能提取关键信息,辅助科研写作。

立即免费体验

探讨内分泌相关免疫相关不良事件的风险因素:来自荟萃分析和孟德尔随机化的见解。

Exploring risk factors for endocrine-related immune-related adverse events: Insights from meta-analysis and Mendelian randomization.

机构信息

Department of Medical Oncology, National Cancer Center, National Clinical Research Center for Cancer, Cancer Hospital, Chinese Academy of Medical Sciences and Peking Union Medical College, Beijing, China.

Department of VIP Medical Oncology, National Cancer Center, National Clinical Research Center for Cancer, Cancer Hospital, Chinese Academy of Medical Sciences and Peking Union Medical College, Beijing, China.

出版信息

Hum Vaccin Immunother. 2024 Dec 31;20(1):2410557. doi: 10.1080/21645515.2024.2410557. Epub 2024 Oct 8.

DOI:10.1080/21645515.2024.2410557
PMID:39377304
原文链接:https://pmc.ncbi.nlm.nih.gov/articles/PMC11469449/
Abstract

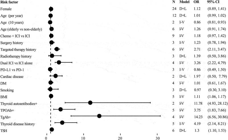
This study utilized meta-analysis and Mendelian randomization (MR) to identify risk factors for endocrine-related immune-related adverse events (EirAEs) and to ascertain whether EirAEs confer better prognosis of immunotherapy. The meta-analysis identified several risk factors for EirAEs, including elevated baseline TSH (OR = 1.30, 95% CI 1.10-1.53), positive TgAb (OR = 14.23,  < .001), positive TPOAb (OR = 3.75, < .001), prior thyroid-related medical history (OR = 4.19), increased BMI (OR = 1.11), combination immune checkpoint inhibitors (ICIs) therapy with targeted treatment (OR = 2.71, 95% CI 2.11-3.47), and dual ICI therapy (OR = 3.26, 95% CI 2.22-4.79). MR analysis further supported causalities between extreme BMI, hypothyroidism, and irAEs from a genetic perspective. In addition, cancer patients who experienced EirAEs exhibited significantly prolonged PFS (HR = 0.84, 95% CI 0.73-0.97) and OS (HR = 0.59, 95% CI 0.45-0.76) compared to those without. These findings provide valuable insights for clinical decision-making among healthcare professionals and offer direction for future research in this field.

摘要

本研究采用荟萃分析和孟德尔随机化(MR)来确定内分泌相关免疫相关不良事件(EirAEs)的风险因素,并确定 EirAEs 是否能改善免疫治疗的预后。荟萃分析确定了几个 EirAEs 的风险因素,包括基线 TSH 升高(OR=1.30,95%CI 1.10-1.53)、TgAb 阳性(OR=14.23, <.001)、TPOAb 阳性(OR=3.75, <.001)、甲状腺相关既往病史(OR=4.19)、BMI 增加(OR=1.11)、联合免疫检查点抑制剂(ICIs)与靶向治疗(OR=2.71,95%CI 2.11-3.47)、双重 ICI 治疗(OR=3.26,95%CI 2.22-4.79)。MR 分析进一步从遗传角度支持了极端 BMI、甲状腺功能减退和 irAEs 之间的因果关系。此外,发生 EirAEs 的癌症患者的 PFS(HR=0.84,95%CI 0.73-0.97)和 OS(HR=0.59,95%CI 0.45-0.76)明显长于未发生 EirAEs 的患者。这些发现为临床医生提供了有价值的决策参考,并为该领域的未来研究提供了方向。

https://cdn.ncbi.nlm.nih.gov/pmc/blobs/3d6c/11469449/7a5fe842c1cb/KHVI_A_2410557_F0005_OC.jpg
https://cdn.ncbi.nlm.nih.gov/pmc/blobs/3d6c/11469449/8d5716b46afb/KHVI_A_2410557_F0001_B.jpg
https://cdn.ncbi.nlm.nih.gov/pmc/blobs/3d6c/11469449/8c4d8be7d817/KHVI_A_2410557_F0002_B.jpg
https://cdn.ncbi.nlm.nih.gov/pmc/blobs/3d6c/11469449/39e86c04f9da/KHVI_A_2410557_F0003_B.jpg
https://cdn.ncbi.nlm.nih.gov/pmc/blobs/3d6c/11469449/1af714ad1e8a/KHVI_A_2410557_F0004_B.jpg
https://cdn.ncbi.nlm.nih.gov/pmc/blobs/3d6c/11469449/7a5fe842c1cb/KHVI_A_2410557_F0005_OC.jpg
https://cdn.ncbi.nlm.nih.gov/pmc/blobs/3d6c/11469449/8d5716b46afb/KHVI_A_2410557_F0001_B.jpg
https://cdn.ncbi.nlm.nih.gov/pmc/blobs/3d6c/11469449/8c4d8be7d817/KHVI_A_2410557_F0002_B.jpg
https://cdn.ncbi.nlm.nih.gov/pmc/blobs/3d6c/11469449/39e86c04f9da/KHVI_A_2410557_F0003_B.jpg
https://cdn.ncbi.nlm.nih.gov/pmc/blobs/3d6c/11469449/1af714ad1e8a/KHVI_A_2410557_F0004_B.jpg
https://cdn.ncbi.nlm.nih.gov/pmc/blobs/3d6c/11469449/7a5fe842c1cb/KHVI_A_2410557_F0005_OC.jpg

相似文献

1
Exploring risk factors for endocrine-related immune-related adverse events: Insights from meta-analysis and Mendelian randomization.探讨内分泌相关免疫相关不良事件的风险因素:来自荟萃分析和孟德尔随机化的见解。
Hum Vaccin Immunother. 2024 Dec 31;20(1):2410557. doi: 10.1080/21645515.2024.2410557. Epub 2024 Oct 8.
2
Risk and Incidence of Endocrine Immune-Related Adverse Effects Under Checkpoint Inhibitor Mono- or Combination Therapy in Solid Tumors: A Meta-Analysis of Randomized Controlled Trials.实体瘤中检查点抑制剂单药或联合治疗下内分泌免疫相关不良反应的风险和发生率:一项随机对照试验的荟萃分析
J Clin Endocrinol Metab. 2024 Mar 15;109(4):1132-1144. doi: 10.1210/clinem/dgad670.
3
Are immune-related adverse events associated with the efficacy of immune checkpoint inhibitors in patients with cancer? A systematic review and meta-analysis.免疫相关不良反应与癌症患者免疫检查点抑制剂疗效的相关性:系统评价和荟萃分析。
BMC Med. 2020 Apr 20;18(1):87. doi: 10.1186/s12916-020-01549-2.
4
[The association between baseline TPOAb and/or TgAb positivity and thyroid immune-related adverse events in patients with malignancies following treatment with immune checkpoint inhibitors].[基线甲状腺过氧化物酶抗体和/或甲状腺球蛋白抗体阳性与接受免疫检查点抑制剂治疗的恶性肿瘤患者甲状腺免疫相关不良事件之间的关联]
Zhonghua Yi Xue Za Zhi. 2024 Mar 26;104(12):963-969. doi: 10.3760/cma.j.cn112137-20231011-00706.
5
Higher baseline TSH levels predict early hypothyroidism during cancer immunotherapy.基线 TSH 水平较高预示着癌症免疫治疗期间早期发生甲状腺功能减退症。
J Endocrinol Invest. 2021 Sep;44(9):1927-1933. doi: 10.1007/s40618-021-01508-5. Epub 2021 Feb 12.
6
Safety and Efficacy of the Rechallenge of Immune Checkpoint Inhibitors After Immune-Related Adverse Events in Patients With Cancer: A Systemic Review and Meta-Analysis.癌症患者发生免疫相关不良反应后再次使用免疫检查点抑制剂的安全性和疗效:系统评价和荟萃分析。
Front Immunol. 2021 Sep 27;12:730320. doi: 10.3389/fimmu.2021.730320. eCollection 2021.
7
Association between immune-related side effects and efficacy and benefit of immune checkpoint inhibitors - A systematic review and meta-analysis.免疫相关不良反应与免疫检查点抑制剂疗效和获益的关系:系统评价和荟萃分析。
Cancer Treat Rev. 2021 Jan;92:102134. doi: 10.1016/j.ctrv.2020.102134. Epub 2020 Dec 3.
8
Characterising immune-related adverse events in different types of cancer among Chinese patients receiving immune checkpoint inhibitors.对接受免疫检查点抑制剂治疗的中国癌症患者不同类型癌症中免疫相关不良事件的特征进行描述。
Sci Rep. 2024 Dec 28;14(1):30983. doi: 10.1038/s41598-024-82105-3.
9
Body mass index and immune-related adverse events in patients on immune checkpoint inhibitor therapies: a systematic review and meta-analysis.体质量指数与免疫检查点抑制剂治疗患者的免疫相关不良事件:系统评价和荟萃分析。
Cancer Immunol Immunother. 2021 Jan;70(1):89-100. doi: 10.1007/s00262-020-02663-z. Epub 2020 Jul 9.
10
Patterns and outcomes of immune-related adverse events in solid tumor patients treated with immune checkpoint inhibitors in Thailand: a multicenter analysis.泰国接受免疫检查点抑制剂治疗的实体瘤患者的免疫相关不良事件的模式和结局:一项多中心分析。
BMC Cancer. 2021 Nov 25;21(1):1275. doi: 10.1186/s12885-021-09003-z.

引用本文的文献

1
Insights into immune-related adverse events in colorectal cancer patients receiving neoadjuvant immunotherapy: findings from a multicenter registry study.接受新辅助免疫治疗的结直肠癌患者免疫相关不良事件的见解:一项多中心注册研究的结果
Front Immunol. 2025 Jun 9;16:1529637. doi: 10.3389/fimmu.2025.1529637. eCollection 2025.
2
Adequacy of Immune Checkpoint Inhibitor-Associated Thyroid Function Monitoring After Therapy.治疗后免疫检查点抑制剂相关甲状腺功能监测的充分性。
JCO Oncol Pract. 2025 Jun 2:OP2500027. doi: 10.1200/OP-25-00027.
3
Surgical Management of Destructive Thyroiditis Triggered by Neoadjuvant Immune Checkpoint Inhibitor Therapy in Locally Advanced Non-Small Cell Lung Cancer: A Case Report.

本文引用的文献

1
Predictive biomarkers for immune-related adverse events in cancer patients treated with immune-checkpoint inhibitors.免疫检查点抑制剂治疗的癌症患者免疫相关不良反应的预测生物标志物。
BMC Immunol. 2024 Jan 24;25(1):8. doi: 10.1186/s12865-024-00599-y.
2
Immune checkpoint inhibitors in breast cancer: development, mechanisms of resistance and potential management strategies.乳腺癌中的免疫检查点抑制剂:进展、耐药机制及潜在管理策略
Cancer Drug Resist. 2023 Nov 17;6(4):768-787. doi: 10.20517/cdr.2023.58. eCollection 2023.
3
Factors associated with immune-related thyroid dysfunction induced by PD-1/PD-L1 inhibitors in cancer patients: an observational study.
新辅助免疫检查点抑制剂治疗引发的局部晚期非小细胞肺癌破坏性甲状腺炎的外科治疗:一例报告
Surg Case Rep. 2025;11(1). doi: 10.70352/scrj.cr.25-0104. Epub 2025 May 28.
4
Clinical Manifestations and Risk Factors of Liver Injury Induced by PD-1 Inhibitors in Patients with Malignancies: A Case-Control Study.恶性肿瘤患者中PD-1抑制剂所致肝损伤的临床表现及危险因素:一项病例对照研究
Ther Clin Risk Manag. 2025 Mar 11;21:309-320. doi: 10.2147/TCRM.S510973. eCollection 2025.
5
Proteogenomic analysis reveals Arp 2/3 complex as a common molecular mechanism in high risk pancreatic cysts and pancreatic cancer.蛋白质基因组学分析揭示肌动蛋白相关蛋白2/3复合体是高危胰腺囊肿和胰腺癌的共同分子机制。
Sci Rep. 2025 Jan 31;15(1):3902. doi: 10.1038/s41598-025-87872-1.
与癌症患者中 PD-1/PD-L1 抑制剂诱导的免疫相关甲状腺功能障碍相关的因素:一项观察性研究。
J Chemother. 2024 Dec;36(8):654-661. doi: 10.1080/1120009X.2024.2305065. Epub 2024 Jan 19.
4
The Combined Effect of Immune Checkpoint Inhibitors and Tyrosine Kinase Inhibitors on Thyroid Function.免疫检查点抑制剂和酪氨酸激酶抑制剂对甲状腺功能的联合影响。
Thyroid. 2024 Feb;34(2):158-166. doi: 10.1089/thy.2023.0542. Epub 2024 Jan 8.
5
Mendelian randomization for cardiovascular diseases: principles and applications.孟德尔随机化在心血管疾病中的应用:原理与方法。
Eur Heart J. 2023 Dec 14;44(47):4913-4924. doi: 10.1093/eurheartj/ehad736.
6
Immune checkpoint inhibitor-related hearing loss: a systematic review and analysis of individual patient data.免疫检查点抑制剂相关听力损失:一项系统评价和个体患者数据分析。
Support Care Cancer. 2023 Oct 11;31(12):624. doi: 10.1007/s00520-023-08083-w.
7
Significance of the autoantibody assay in predicting the development of immune-related adverse events in patients receiving atezolizumab plus bevacizumab combination therapy for unresectable hepatocellular carcinoma.自身抗体检测在预测接受阿替利珠单抗联合贝伐单抗治疗不可切除肝细胞癌患者免疫相关不良事件发生中的意义
Hepatol Res. 2024 Feb;54(2):162-173. doi: 10.1111/hepr.13969. Epub 2023 Oct 6.
8
Machine Learning Approaches for Assessing Risk Factors of Adrenal Insufficiency in Patients Undergoing Immune Checkpoint Inhibitor Therapy.用于评估接受免疫检查点抑制剂治疗患者肾上腺功能不全风险因素的机器学习方法
Pharmaceuticals (Basel). 2023 Aug 3;16(8):1097. doi: 10.3390/ph16081097.
9
Immune checkpoint inhibitor-induced endocrinopathies: a possible indicator of improved survival.免疫检查点抑制剂引起的内分泌疾病:生存改善的一个可能指标。
Arch Endocrinol Metab. 2023 Jun 19;67(6):e000654. doi: 10.20945/2359-3997000000654.
10
Hypothyroidism induced by immune checkpoint inhibitors combined with antiangiogenic agents is associated with higher body mass index.免疫检查点抑制剂联合抗血管生成药物引起的甲状腺功能减退与较高的体重指数相关。
J Thorac Dis. 2023 Apr 28;15(4):1958-1969. doi: 10.21037/jtd-23-306. Epub 2023 Apr 27.