• 文献检索
  • 文档翻译
  • 深度研究
  • 学术资讯
  • Suppr Zotero 插件Zotero 插件
  • 邀请有礼
  • 套餐&价格
  • 历史记录
应用&插件
Suppr Zotero 插件Zotero 插件浏览器插件Mac 客户端Windows 客户端微信小程序
定价
高级版会员购买积分包购买API积分包
服务
文献检索文档翻译深度研究API 文档MCP 服务
关于我们
关于 Suppr公司介绍联系我们用户协议隐私条款
关注我们

Suppr 超能文献

核心技术专利:CN118964589B侵权必究
粤ICP备2023148730 号-1Suppr @ 2026

文献检索

告别复杂PubMed语法,用中文像聊天一样搜索,搜遍4000万医学文献。AI智能推荐,让科研检索更轻松。

立即免费搜索

文件翻译

保留排版,准确专业,支持PDF/Word/PPT等文件格式,支持 12+语言互译。

免费翻译文档

深度研究

AI帮你快速写综述,25分钟生成高质量综述,智能提取关键信息,辅助科研写作。

立即免费体验

在原发性胆汁性胆管炎接受熊去氧胆酸治疗的患者中,任何时候出现生化反应丧失都会使预后恶化。

Loss of biochemical response at any time worsens outcomes in UDCA-treated patients with primary biliary cholangitis.

作者信息

Roberts Surain B, Choi Woo Jin, Worobetz Lawrence, Vincent Catherine, Flemming Jennifer A, Cheung Angela, Qumosani Karim, Swain Mark, Grbic Dusanka, Ko Hin Hin, Peltekian Kevork M, Abrahamyan Lusine, Saini Monika, Tirona Kattleya, Aziz Bishoi, Lytvyak Ellina, Invernizzi Pietro, Ponsioen Cyriel Y, Bruns Tony, Cazzagon Nora, Lindor Keith, Dalekos George N, Gatselis Nikolaos K, Verhelst Xavier, Floreani Annarosa, Corpechot Christophe, Mayo Marlyn J, Levy Cynthia, Londoño Maria-Carlota, Battezzati Pier M, Pares Albert, Nevens Frederik, van der Meer Adriaan, Kowdley Kris V, Trivedi Palak J, Lleo Ana, Thorburn Douglas, Carbone Marco, Selzner Nazia, Gulamhusein Aliya F, Janssen Harry LA, Montano-Loza Aldo J, Mason Andrew L, Hirschfield Gideon M, Hansen Bettina E

机构信息

Toronto Centre for Liver Disease, Toronto General Hospital, University Health Network, Toronto, Canada.

Li Ka Shing Knowledge Institute, St Michael's Hospital, Unity Health Toronto, Toronto, Canada.

出版信息

JHEP Rep. 2024 Jul 8;6(10):101168. doi: 10.1016/j.jhepr.2024.101168. eCollection 2024 Oct.

DOI:10.1016/j.jhepr.2024.101168
PMID:39380718
原文链接:https://pmc.ncbi.nlm.nih.gov/articles/PMC11460452/
Abstract

BACKGROUND & AIMS: Biochemical response to ursodeoxycholic acid (UDCA) therapy is associated with good prognosis in people living with primary biliary cholangitis (PBC). Biochemical response is typically assessed early in disease and it is not known what proportion of patients lose previously attained biochemical response, nor whether this impacts long-term liver transplant (LT)-free survival.

METHODS

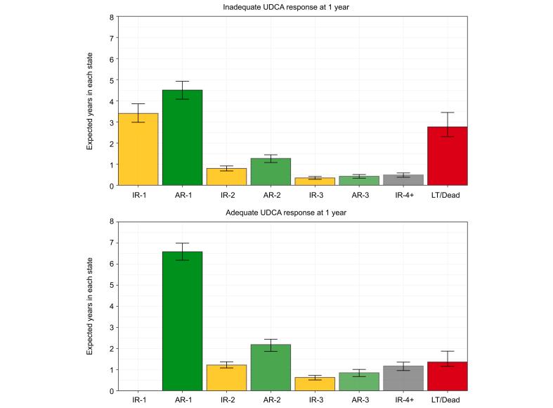
We identified all UDCA-treated patients with PBC from the Canadian Network for Autoimmune Liver disease with biochemical measurements at 1 year, and evaluated their liver biochemistry over time. Inadequate biochemical response was defined as serum alkaline phosphatase ≥1.67x the upper limit of normal or abnormal serum total bilirubin at 1 year of UDCA therapy and all time points thereafter. Multistate Markov models were used to estimate transition rates between biochemical response states and from each state to LT or death. Results were validated in an external cohort (GLOBAL PBC registry).

RESULTS

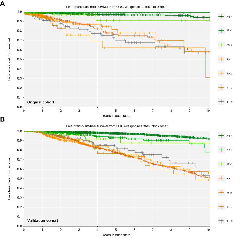
A total of 823 patients from eight centers were included. Mean age at diagnosis was 53 years, 91% were female, 33% had inadequate biochemical response to UDCA at 1 year (n = 269). Patients who retained initial adequate response had lower rates of LT or death compared to patients who subsequently lost response (relative rate 0.102, 95% CI 0.047-0.223). Patients who regained adequate response had lower rates than patients who did not (0.016, 95% CI 0.001-0.568), and patients who lost response once more (0.010, 95% CI 0.001-0.340). Patients who regained adequate response for a third time also had lower rates than patients who did not (0.151, 95% CI 0.040-0.566). Analyses in the GLOBAL PBC registry (n = 2,237) validated these results.

CONCLUSION

Loss of biochemical response at any time is associated with heightened risks of LT or death in people living with PBC. Achievement of biochemical response is an important goal throughout follow-up, regardless of biochemical response profile early in therapy.

IMPACT AND IMPLICATIONS

Early biochemical response to ursodeoxycholic acid is associated with good prognosis in patients with primary biliary cholangitis (PBC). Our work demonstrates that patients with PBC transition between biochemical response states over time, and that these transitions correspond with changes in risk of liver transplantation or death. Clinicians should re-evaluate risk and optimize treatment decisions for patients with PBC throughout follow-up, regardless of early biochemical response to therapy.

摘要

背景与目的

原发性胆汁性胆管炎(PBC)患者对熊去氧胆酸(UDCA)治疗的生化反应与良好预后相关。生化反应通常在疾病早期进行评估,目前尚不清楚有多少患者会失去先前获得的生化反应,也不清楚这是否会影响长期无肝移植(LT)生存率。

方法

我们从加拿大自身免疫性肝病网络中识别出所有接受UDCA治疗的PBC患者,并在1年时进行生化指标测量,然后随时间评估他们的肝脏生化指标。生化反应不充分定义为在UDCA治疗1年及此后所有时间点血清碱性磷酸酶≥正常上限的1.67倍或血清总胆红素异常。使用多状态马尔可夫模型来估计生化反应状态之间以及从每个状态到肝移植或死亡的转换率。结果在一个外部队列(全球PBC登记处)中得到验证。

结果

共纳入来自8个中心的823例患者。诊断时的平均年龄为53岁,91%为女性,33%在1年时对UDCA的生化反应不充分(n = 269)。与随后失去反应的患者相比,保持初始充分反应的患者肝移植或死亡发生率较低(相对率0.102,95%CI 0.047 - 0.22)。恢复充分反应的患者比未恢复的患者发生率低(0.016,95%CI 0.001 - 0.568),也比再次失去反应的患者发生率低(0.010,95%CI 0.001 - 0.340)。第三次恢复充分反应的患者也比未恢复的患者发生率低(0.151,95%CI 0.040 - 0.566)。全球PBC登记处(n = 2237)的分析验证了这些结果。

结论

在任何时候生化反应的丧失都与PBC患者肝移植或死亡风险的增加相关。实现生化反应是整个随访过程中的一个重要目标,无论治疗早期的生化反应情况如何。

影响与意义

原发性胆汁性胆管炎(PBC)患者对熊去氧胆酸的早期生化反应与良好预后相关。我们的研究表明,PBC患者的生化反应状态会随时间发生转变,且这些转变与肝移植或死亡风险的变化相对应。临床医生应在整个随访过程中重新评估PBC患者的风险并优化治疗决策,无论其对治疗的早期生化反应如何。

https://cdn.ncbi.nlm.nih.gov/pmc/blobs/5728/11460452/a35a0d5e0ef9/gr5.jpg
https://cdn.ncbi.nlm.nih.gov/pmc/blobs/5728/11460452/f9d77b993db2/ga1.jpg
https://cdn.ncbi.nlm.nih.gov/pmc/blobs/5728/11460452/08235db34718/gr1.jpg
https://cdn.ncbi.nlm.nih.gov/pmc/blobs/5728/11460452/f3e64ecb14cc/gr2.jpg
https://cdn.ncbi.nlm.nih.gov/pmc/blobs/5728/11460452/4995d0929264/gr3.jpg
https://cdn.ncbi.nlm.nih.gov/pmc/blobs/5728/11460452/7bdbba96f3d5/gr4.jpg
https://cdn.ncbi.nlm.nih.gov/pmc/blobs/5728/11460452/a35a0d5e0ef9/gr5.jpg
https://cdn.ncbi.nlm.nih.gov/pmc/blobs/5728/11460452/f9d77b993db2/ga1.jpg
https://cdn.ncbi.nlm.nih.gov/pmc/blobs/5728/11460452/08235db34718/gr1.jpg
https://cdn.ncbi.nlm.nih.gov/pmc/blobs/5728/11460452/f3e64ecb14cc/gr2.jpg
https://cdn.ncbi.nlm.nih.gov/pmc/blobs/5728/11460452/4995d0929264/gr3.jpg
https://cdn.ncbi.nlm.nih.gov/pmc/blobs/5728/11460452/7bdbba96f3d5/gr4.jpg
https://cdn.ncbi.nlm.nih.gov/pmc/blobs/5728/11460452/a35a0d5e0ef9/gr5.jpg

相似文献

1
Loss of biochemical response at any time worsens outcomes in UDCA-treated patients with primary biliary cholangitis.在原发性胆汁性胆管炎接受熊去氧胆酸治疗的患者中,任何时候出现生化反应丧失都会使预后恶化。
JHEP Rep. 2024 Jul 8;6(10):101168. doi: 10.1016/j.jhepr.2024.101168. eCollection 2024 Oct.
2
Ursodeoxycholic acid therapy and liver transplant-free survival in patients with primary biliary cholangitis.熊去氧胆酸治疗原发性胆汁性胆管炎患者肝移植无生存。
J Hepatol. 2019 Aug;71(2):357-365. doi: 10.1016/j.jhep.2019.04.001. Epub 2019 Apr 11.
3
Prognostic scores for ursodeoxycholic acid-treated patients predict graft loss and mortality in recurrent primary biliary cholangitis after liver transplantation.熊去氧胆酸治疗患者的预后评分可预测肝移植后复发原发性胆汁性胆管炎患者的移植物丢失和死亡率。
J Hepatol. 2024 Oct;81(4):679-689. doi: 10.1016/j.jhep.2024.05.010. Epub 2024 May 29.
4
Association of bezafibrate with transplant-free survival in patients with primary biliary cholangitis.苯扎贝特与原发性胆汁性胆管炎患者无移植生存的关系。
J Hepatol. 2021 Sep;75(3):565-571. doi: 10.1016/j.jhep.2021.04.010. Epub 2021 Apr 18.
5
Long-term impact of preventive UDCA therapy after transplantation for primary biliary cholangitis.原发性胆汁性胆管炎肝移植术后预防性熊去氧胆酸治疗的长期影响。
J Hepatol. 2020 Sep;73(3):559-565. doi: 10.1016/j.jhep.2020.03.043. Epub 2020 Apr 7.
6
Long-Term Fenofibrate Treatment in Primary Biliary Cholangitis Improves Biochemistry but Not the UK-PBC Risk Score.原发性胆汁性胆管炎的长期非诺贝特治疗可改善生化指标,但不能改善英国原发性胆汁性胆管炎风险评分。
Dig Dis Sci. 2016 Oct;61(10):3037-3044. doi: 10.1007/s10620-016-4250-y. Epub 2016 Jul 19.
7
The relationship between disease activity and UDCA response criteria in primary biliary cholangitis: A cohort study.原发性胆汁性胆管炎中疾病活动度与 UDCA 应答标准的关系:一项队列研究。
EBioMedicine. 2022 Jun;80:104068. doi: 10.1016/j.ebiom.2022.104068. Epub 2022 May 21.
8
Pretreatment prediction of response to ursodeoxycholic acid in primary biliary cholangitis: development and validation of the UDCA Response Score.原发性胆汁性胆管炎患者对熊去氧胆酸应答的预处理预测:UDCA 应答评分的建立和验证。
Lancet Gastroenterol Hepatol. 2018 Sep;3(9):626-634. doi: 10.1016/S2468-1253(18)30163-8. Epub 2018 Jul 13.
9
Prognostic utility of albumin-bilirubin grade in Japanese patients with primary biliary cholangitis.白蛋白-胆红素分级在日本原发性胆汁性胆管炎患者中的预后效用
JHEP Rep. 2022 Dec 24;5(4):100662. doi: 10.1016/j.jhepr.2022.100662. eCollection 2023 Apr.
10
Fenofibrate normalizes alkaline phosphatase and improves long-term outcomes in patients with advanced primary biliary cholangitis refractory to ursodeoxycholic acid.非诺贝特可使碱性磷酸酶恢复正常,并改善对熊去氧胆酸耐药的晚期原发性胆汁性胆管炎患者的长期预后。
Gastroenterol Hepatol. 2023 Nov;46(9):692-701. doi: 10.1016/j.gastrohep.2023.01.001. Epub 2023 Jan 9.

引用本文的文献

1
The Treatment of Primary Biliary Cholangitis: Time for Personalized Medicine.原发性胆汁性胆管炎的治疗:个性化医疗时代已来。
Clin Rev Allergy Immunol. 2025 Jul 12;68(1):63. doi: 10.1007/s12016-025-09074-x.
2
Risk stratification for patients with primary biliary cholangitis: early versus advanced-stage or non-cirrhosis versus cirrhosis?原发性胆汁性胆管炎患者的风险分层:早期与晚期,还是非肝硬化与肝硬化?
Hepatol Int. 2025 Mar 28. doi: 10.1007/s12072-025-10820-8.
3
Obeticholic Acid Improves Cholestasis, Liver Fibrosis, and Liver Function in Patients with Primary Biliary Cholangitis with Inadequate Response to Ursodeoxycholic Acid.

本文引用的文献

1
Critical shortfalls in the management of PBC: Results of a UK-wide, population-based evaluation of care delivery.原发性胆汁性胆管炎管理中的严重不足:一项基于全英国人口的医疗服务提供评估结果
JHEP Rep. 2023 Oct 16;6(1):100931. doi: 10.1016/j.jhepr.2023.100931. eCollection 2024 Jan.
2
Fibrosis stage is an independent predictor of outcome in primary biliary cholangitis despite biochemical treatment response.纤维化分期是原发性胆汁性胆管炎的独立预后因素,尽管存在生化治疗反应。
Aliment Pharmacol Ther. 2019 Nov;50(10):1127-1136. doi: 10.1111/apt.15533. Epub 2019 Oct 17.
3
Factors Associated With Progression and Outcomes of Early Stage Primary Biliary Cholangitis.
奥贝胆酸可改善对熊去氧胆酸反应欠佳的原发性胆汁性胆管炎患者的胆汁淤积、肝纤维化及肝功能。
J Pers Med. 2025 Feb 21;15(3):79. doi: 10.3390/jpm15030079.
与早期原发性胆汁性胆管炎进展和结局相关的因素。
Clin Gastroenterol Hepatol. 2020 Mar;18(3):684-692.e6. doi: 10.1016/j.cgh.2019.08.013. Epub 2019 Aug 13.
4
Ursodeoxycholic acid therapy and liver transplant-free survival in patients with primary biliary cholangitis.熊去氧胆酸治疗原发性胆汁性胆管炎患者肝移植无生存。
J Hepatol. 2019 Aug;71(2):357-365. doi: 10.1016/j.jhep.2019.04.001. Epub 2019 Apr 11.
5
Effects of Age and Sex of Response to Ursodeoxycholic Acid and Transplant-free Survival in Patients With Primary Biliary Cholangitis.年龄和性别对原发性胆汁性胆管炎患者熊去氧胆酸反应及肝移植无失败生存率的影响。
Clin Gastroenterol Hepatol. 2019 Sep;17(10):2076-2084.e2. doi: 10.1016/j.cgh.2018.12.028. Epub 2019 Jan 4.
6
Primary Biliary Cholangitis: 2018 Practice Guidance from the American Association for the Study of Liver Diseases.原发性胆汁性胆管炎:美国肝病研究协会2018年实践指南
Hepatology. 2019 Jan;69(1):394-419. doi: 10.1002/hep.30145. Epub 2018 Nov 6.
7
When and how should multiple imputation be used for handling missing data in randomised clinical trials - a practical guide with flowcharts.何时以及如何在随机临床试验中使用多重插补来处理缺失数据——附流程图的实用指南。
BMC Med Res Methodol. 2017 Dec 6;17(1):162. doi: 10.1186/s12874-017-0442-1.
8
Multiple Imputation for Incomplete Data in Epidemiologic Studies.在流行病学研究中对不完全数据的多重插补。
Am J Epidemiol. 2018 Mar 1;187(3):576-584. doi: 10.1093/aje/kwx349.
9
EASL Clinical Practice Guidelines: The diagnosis and management of patients with primary biliary cholangitis.EASL 临床实践指南:原发性胆汁性胆管炎患者的诊断和管理。
J Hepatol. 2017 Jul;67(1):145-172. doi: 10.1016/j.jhep.2017.03.022. Epub 2017 Apr 18.
10
How the concept of biochemical response influenced the management of primary biliary cholangitis over time.随着时间的推移,生化反应的概念如何影响原发性胆汁性胆管炎的管理。
Neth J Med. 2016 Jul;74(6):240-6.