Suppr超能文献

将菊芋纤维素废料转化为可用于生物降解聚乳酸基质的材料。

Valorization of Cellulosic Waste from Artichoke for Incorporation into Biodegradable Polylactic Acid Matrices.

作者信息

Llidó Barragán Alexandra, Calle Salas Alejandro de la, Parres García Francisco, Crespo Amorós José Enrique

机构信息

Department of Mechanical and Materials Engineering, Universitat Politècnica de València (UPV), Plz. Ferrándiz y Carbonell, s/n, 03801 Alcoy, Spain.

出版信息

Polymers (Basel). 2024 Sep 30;16(19):2778. doi: 10.3390/polym16192778.

Abstract

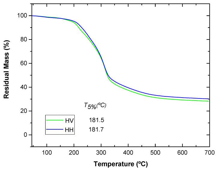
This study presents the development of ecological compounds using polylactic acid (PLA) and artichoke flour with the aim of obtaining materials with properties like commercial PLA. PLA biocomposites with different concentrations of green artichoke (HV) and boiled artichoke (HH) (1, 3, 5, 7, 10 and 20% by weight) were manufactured through an extrusion and injection process. Structural, mechanical, physical and color tests were carried out to analyze the effect of lignocellulosic particles on the biopolymeric matrix. The Shore D hardness, elongation at break and heat deflection temperature (HDT) of the PLA/HV and PLA/HH samples showed similar values to pure PLA, indicating that high concentrations of both fillers did not severely compromise these properties. However, reductions in the tensile strength, impact strength and Young's modulus were observed, and both flours had increased water absorption capacity. FTIR analysis identified the characteristic peaks of the biocomposites and the ratio of the groups regarding the amount of added filler. The SEM revealed low interfacial adhesion between the polymer matrix and the filler. This study represents a significant advance in the valorization and application of circular economy principles to agricultural waste, such as artichoke waste. PLA/HV biocomposites make a substantial contribution to sustainable materials technology, aligning with the goals of the 2030 agenda to reduce environmental impacts and promote sustainable development.

摘要

本研究展示了使用聚乳酸(PLA)和洋蓟粉开发生态复合材料的过程,目的是获得具有与商用PLA类似性能的材料。通过挤出和注塑工艺制备了含有不同浓度(重量比为1%、3%、5%、7%、10%和20%)的生洋蓟(HV)和煮制洋蓟(HH)的PLA生物复合材料。进行了结构、机械、物理和颜色测试,以分析木质纤维素颗粒对生物聚合物基体的影响。PLA/HV和PLA/HH样品的邵氏D硬度、断裂伸长率和热变形温度(HDT)显示出与纯PLA相似的值,表明两种填料的高浓度并未严重损害这些性能。然而,观察到拉伸强度、冲击强度和杨氏模量有所降低,且两种面粉的吸水能力均有所提高。傅里叶变换红外光谱(FTIR)分析确定了生物复合材料的特征峰以及各基团与添加填料量的比例。扫描电子显微镜(SEM)显示聚合物基体与填料之间的界面附着力较低。本研究代表了将循环经济原则应用于农业废弃物(如洋蓟废弃物)的增值和应用方面的重大进展。PLA/HV生物复合材料为可持续材料技术做出了重大贡献,符合2030年议程减少环境影响和促进可持续发展的目标。

https://cdn.ncbi.nlm.nih.gov/pmc/blobs/49d0/11478563/bc5f9e66a494/polymers-16-02778-g001.jpg

文献检索

告别复杂PubMed语法,用中文像聊天一样搜索,搜遍4000万医学文献。AI智能推荐,让科研检索更轻松。

立即免费搜索

文件翻译

保留排版,准确专业,支持PDF/Word/PPT等文件格式,支持 12+语言互译。

免费翻译文档

深度研究

AI帮你快速写综述,25分钟生成高质量综述,智能提取关键信息,辅助科研写作。

立即免费体验