• 文献检索
  • 文档翻译
  • 深度研究
  • 学术资讯
  • Suppr Zotero 插件Zotero 插件
  • 邀请有礼
  • 套餐&价格
  • 历史记录
应用&插件
Suppr Zotero 插件Zotero 插件浏览器插件Mac 客户端Windows 客户端微信小程序
定价
高级版会员购买积分包购买API积分包
服务
文献检索文档翻译深度研究API 文档MCP 服务
关于我们
关于 Suppr公司介绍联系我们用户协议隐私条款
关注我们

Suppr 超能文献

核心技术专利:CN118964589B侵权必究
粤ICP备2023148730 号-1Suppr @ 2026

文献检索

告别复杂PubMed语法,用中文像聊天一样搜索,搜遍4000万医学文献。AI智能推荐,让科研检索更轻松。

立即免费搜索

文件翻译

保留排版,准确专业,支持PDF/Word/PPT等文件格式,支持 12+语言互译。

免费翻译文档

深度研究

AI帮你快速写综述,25分钟生成高质量综述,智能提取关键信息,辅助科研写作。

立即免费体验

不同光学区直径的夜间角膜塑形术后角膜表面形状分析

Analysis of corneal surface shape following overnight orthokeratology with different optical zone diameters.

作者信息

Chen Minfeng, Zhang Ronghan, Zhu Chengwei, Peng Lulu, Zhao Sijun, Mao Xinjie

机构信息

Eye Hospital, Wenzhou Medical University, Wenzhou, Zhejiang, China.

出版信息

Front Med (Lausanne). 2024 Oct 9;11:1421361. doi: 10.3389/fmed.2024.1421361. eCollection 2024.

DOI:10.3389/fmed.2024.1421361
PMID:39444809
原文链接:https://pmc.ncbi.nlm.nih.gov/articles/PMC11496137/
Abstract

PURPOSE

This study analyzed the corneal surface shape following overnight orthokeratology with different optical zone diameters.

METHODS

A total of 82 eyes belonging to 41 myopic children who completed 1 month of the orthokeratology (ortho-k) lens wear at the Eye Hospital of Wenzhou Medical University from January 2022 to January 2023 were retrospectively analyzed. According to the size of the base curve (BC) of ortho-k lens, patients were divided into BC 5.0 and BC 6.0 groups. The changes in decentration distance and corneal refraction of the two groups after the ortho-k lens wear were analyzed. Independent sample -tests were used to compare these two outcome measures between the two groups.

RESULTS

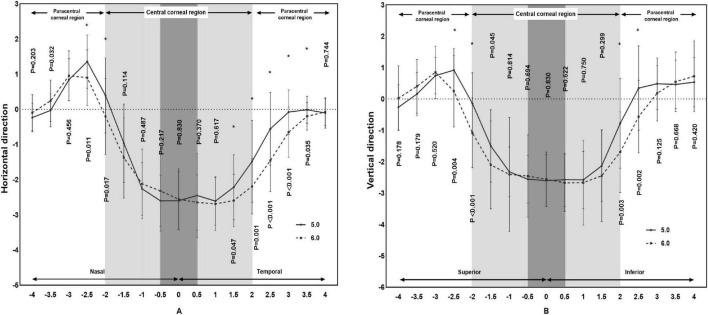
The decentration distance of BC 5.0 group (0.37 ± 0.19 mm) was significantly lower than that of BC 6.0 group (0.49 ± 0.25 mm, = -2.330, = 0.022). In the BC 5.0 group, the direction of decentration was superonasal in 3 cases, inferonasal in 2 cases, inferotemporal in 21 cases, and superotemporal in 6 cases. In the BC 6.0 group, the direction of decentration was superonasal in 2 cases, inferonasal in 2 cases, inferotemporal in 27 cases, and superotemporal in 19 cases. The optical zone area (8.19 ± 2.96 mm) and reverse curve zone area (30.05 ± 6.74 mm) in the BC 5.0 group were significantly lower than in the BC 6.0 group (10.42 ± 2.03 mm, = -4.043, < 0.001; 38.21 ± 4.77 mm, = -6.422, < 0.001). The change in the rate of refraction in the horizontal direction in BC 5.0 group were significant higher than in BC 6.0 group.

CONCLUSION

Base curve 5.0 mm ortho-k lens is better positioned than BC 6.0 mm lens. A small BC ortho-k forms a smaller optical zone and reverse curve area, which might get a greater aiameter of alignment curve to facilitate positioning better than the traditional BC lens. In addition, a small BC lens increases positive refraction in the peripheral area, resulting in a greater negative pressure than the traditional BC lens.

摘要

目的

本研究分析了不同光学区直径的夜间角膜塑形术后角膜表面形状。

方法

回顾性分析了2022年1月至2023年1月在温州医科大学附属眼视光医院完成1个月角膜塑形术(ortho-k)镜片佩戴的41名近视儿童的82只眼睛。根据ortho-k镜片的基弧(BC)大小,将患者分为BC 5.0组和BC 6.0组。分析两组佩戴ortho-k镜片后偏心距和角膜屈光的变化。采用独立样本t检验比较两组之间的这两个结果指标。

结果

BC 5.0组的偏心距(0.37±0.19mm)显著低于BC 6.0组(0.49±0.25mm,t=-2.330,P=0.022)。在BC 5.0组中,偏心方向为鼻上3例,鼻下2例,颞下21例,颞上6例。在BC 6.0组中,偏心方向为鼻上2例,鼻下2例,颞下27例,颞上19例。BC 5.0组的光学区面积(8.19±2.96mm)和反转曲线区面积(30.05±6.74mm)显著低于BC 6.0组(10.42±2.03mm,t=-4.043,P<0.001;38.21±4.77mm,t=-6.422,P<0.001)。BC 5.0组水平方向屈光率的变化显著高于BC 6.0组。

结论

5.0mm基弧的ortho-k镜片比6.0mm镜片定位更好。小基弧的ortho-k形成较小的光学区和反转曲线面积,可能比传统基弧镜片获得更大的配适弧直径,以利于更好地定位。此外,小基弧镜片增加了周边区域的正屈光,导致比传统基弧镜片更大的负压。

https://cdn.ncbi.nlm.nih.gov/pmc/blobs/0c02/11496137/ec728450f1fe/fmed-11-1421361-g005.jpg
https://cdn.ncbi.nlm.nih.gov/pmc/blobs/0c02/11496137/efc65857c6c2/fmed-11-1421361-g001.jpg
https://cdn.ncbi.nlm.nih.gov/pmc/blobs/0c02/11496137/7fb94a0a85c2/fmed-11-1421361-g002.jpg
https://cdn.ncbi.nlm.nih.gov/pmc/blobs/0c02/11496137/8a848c831258/fmed-11-1421361-g003.jpg
https://cdn.ncbi.nlm.nih.gov/pmc/blobs/0c02/11496137/47682a540c63/fmed-11-1421361-g004.jpg
https://cdn.ncbi.nlm.nih.gov/pmc/blobs/0c02/11496137/ec728450f1fe/fmed-11-1421361-g005.jpg
https://cdn.ncbi.nlm.nih.gov/pmc/blobs/0c02/11496137/efc65857c6c2/fmed-11-1421361-g001.jpg
https://cdn.ncbi.nlm.nih.gov/pmc/blobs/0c02/11496137/7fb94a0a85c2/fmed-11-1421361-g002.jpg
https://cdn.ncbi.nlm.nih.gov/pmc/blobs/0c02/11496137/8a848c831258/fmed-11-1421361-g003.jpg
https://cdn.ncbi.nlm.nih.gov/pmc/blobs/0c02/11496137/47682a540c63/fmed-11-1421361-g004.jpg
https://cdn.ncbi.nlm.nih.gov/pmc/blobs/0c02/11496137/ec728450f1fe/fmed-11-1421361-g005.jpg

相似文献

1
Analysis of corneal surface shape following overnight orthokeratology with different optical zone diameters.不同光学区直径的夜间角膜塑形术后角膜表面形状分析
Front Med (Lausanne). 2024 Oct 9;11:1421361. doi: 10.3389/fmed.2024.1421361. eCollection 2024.
2
The effect of orthokeratology treatment zone decentration on myopia progression.角膜塑形术治疗区偏心对近视进展的影响。
BMC Ophthalmol. 2022 Feb 15;22(1):76. doi: 10.1186/s12886-022-02310-4.
3
Predictive Role of Paracentral Corneal Toricity Using Elevation Data for Treatment Zone Decentration During Orthokeratology.角膜中央旁区旋转性对角膜塑形术治疗区偏心的预测作用。
Curr Eye Res. 2018 Sep;43(9):1083-1089. doi: 10.1080/02713683.2018.1481516. Epub 2018 Jul 17.
4
Prediction of Orthokeratology Lens Decentration with Corneal Elevation.基于角膜高度预测角膜塑形镜偏位
Optom Vis Sci. 2017 Sep;94(9):903-907. doi: 10.1097/OPX.0000000000001109.
5
Treatment Zone Decentration During Orthokeratology on Eyes with Corneal Toricity.角膜散光眼在角膜塑形术中的治疗区偏心
Optom Vis Sci. 2016 Sep;93(9):1101-11. doi: 10.1097/OPX.0000000000000896.
6
The treatment zone decentration and corneal refractive profile changes in children undergoing orthokeratology treatment.角膜塑形术治疗儿童的治疗区偏心和角膜屈光形态变化。
BMC Ophthalmol. 2022 Apr 18;22(1):177. doi: 10.1186/s12886-022-02396-w.
7
Influence of Overnight Orthokeratology Lens Treatment Zone Decentration on Myopia Progression.夜间角膜塑形术镜片治疗区偏心对近视进展的影响。
J Ophthalmol. 2019 Nov 15;2019:2596953. doi: 10.1155/2019/2596953. eCollection 2019.
8
Orthokeratology combined with spectacles in moderate to high myopia adolescents.角膜塑形术联合眼镜治疗中高度近视青少年。
Cont Lens Anterior Eye. 2024 Feb;47(1):102088. doi: 10.1016/j.clae.2023.102088. Epub 2023 Nov 15.
9
Long-term variations and influential factors of the treatment zone of wearing orthokeratology lenses.角膜塑形镜治疗区的长期变化及影响因素。
Cont Lens Anterior Eye. 2023 Aug;46(4):101867. doi: 10.1016/j.clae.2023.101867. Epub 2023 Jun 5.
10
Treatment zone decentration promotes retinal reshaping in Chinese myopic children wearing orthokeratology lenses.治疗区偏心可促进配戴角膜塑形镜的中国近视儿童的视网膜重塑。
Ophthalmic Physiol Opt. 2022 Sep;42(5):1124-1132. doi: 10.1111/opo.12996. Epub 2022 May 22.

引用本文的文献

1
Efficacy of binoculus orthokeratology with different optical zone designs in myopic children and adolescents: Contributing factors and establishment of a continuous dynamic follow-up model.不同光学区设计的双眼角膜塑形术对近视儿童及青少年的疗效:影响因素及连续动态随访模型的建立
Medicine (Baltimore). 2025 Aug 1;104(31):e43588. doi: 10.1097/MD.0000000000043588.

本文引用的文献

1
Factors influencing axial elongation in myopic children using overnight orthokeratology.影响近视儿童夜间角膜塑形术眼轴延长的因素。
Sci Rep. 2023 May 12;13(1):7715. doi: 10.1038/s41598-023-34580-3.
2
Effects of Orthokeratology Lens Decentration Induced by Paracentral Corneal Asymmetry on Axial Length Elongation.周边角膜不对称引起的角膜塑形镜偏心对眼轴伸长的影响。
Eye Contact Lens. 2023 May 1;49(5):181-187. doi: 10.1097/ICL.0000000000000985. Epub 2023 Mar 8.
3
Higher-Order Aberrations and Visual Performance in Myopic Children Treated With Aspheric Base Curve-Designed Orthokeratology.
离焦型角膜塑形术矫正近视儿童的高阶像差与视觉性能。
Eye Contact Lens. 2023 Feb 1;49(2):71-76. doi: 10.1097/ICL.0000000000000961. Epub 2022 Dec 2.
4
The effects of base curve aspheric orthokeratology lenses on corneal topography and peripheral refraction: A randomized prospective trial.基弧非球面角膜塑形术镜片对角膜地形和周边屈光度的影响:一项随机前瞻性试验。
Cont Lens Anterior Eye. 2023 Jun;46(3):101814. doi: 10.1016/j.clae.2023.101814. Epub 2023 Jan 20.
5
The relationship between baseline axial length and axial elongation in myopic children undergoing orthokeratology.近视儿童角膜塑形术治疗中眼轴长度与眼轴增长的关系。
Ophthalmic Physiol Opt. 2023 Jan;43(1):122-131. doi: 10.1111/opo.13070. Epub 2022 Nov 15.
6
The Effect of Corneal Refractive Power Area Changes on Myopia Progression during Orthokeratology.角膜屈光力面积变化对角膜塑形术期间近视进展的影响。
J Ophthalmol. 2022 Jun 16;2022:5530162. doi: 10.1155/2022/5530162. eCollection 2022.
7
Treatment zone decentration promotes retinal reshaping in Chinese myopic children wearing orthokeratology lenses.治疗区偏心可促进配戴角膜塑形镜的中国近视儿童的视网膜重塑。
Ophthalmic Physiol Opt. 2022 Sep;42(5):1124-1132. doi: 10.1111/opo.12996. Epub 2022 May 22.
8
Manual and software-based measurements of treatment zone parameters and characteristics in children with slow and fast axial elongation in orthokeratology.角膜塑形术治疗中慢轴和快轴眼轴伸长儿童的治疗区参数和特征的手动和基于软件的测量。
Ophthalmic Physiol Opt. 2022 Jul;42(4):773-785. doi: 10.1111/opo.12981. Epub 2022 Apr 2.
9
The Effect of Lens Design on Corneal Power Distribution in Orthokeratology.角膜塑形术中镜片设计对角膜力分布的影响。
Optom Vis Sci. 2022 Apr 1;99(4):363-371. doi: 10.1097/OPX.0000000000001888.
10
A Deep Learning-Based Framework for Accurate Evaluation of Corneal Treatment Zone After Orthokeratology.基于深度学习的角膜塑形术后治疗区精确评估框架。
Transl Vis Sci Technol. 2021 Dec 1;10(14):21. doi: 10.1167/tvst.10.14.21.