• 文献检索
  • 文档翻译
  • 深度研究
  • 学术资讯
  • Suppr Zotero 插件Zotero 插件
  • 邀请有礼
  • 套餐&价格
  • 历史记录
应用&插件
Suppr Zotero 插件Zotero 插件浏览器插件Mac 客户端Windows 客户端微信小程序
定价
高级版会员购买积分包购买API积分包
服务
文献检索文档翻译深度研究API 文档MCP 服务
关于我们
关于 Suppr公司介绍联系我们用户协议隐私条款
关注我们

Suppr 超能文献

核心技术专利:CN118964589B侵权必究
粤ICP备2023148730 号-1Suppr @ 2026

文献检索

告别复杂PubMed语法,用中文像聊天一样搜索,搜遍4000万医学文献。AI智能推荐,让科研检索更轻松。

立即免费搜索

文件翻译

保留排版,准确专业,支持PDF/Word/PPT等文件格式,支持 12+语言互译。

免费翻译文档

深度研究

AI帮你快速写综述,25分钟生成高质量综述,智能提取关键信息,辅助科研写作。

立即免费体验

pCONUS设备在颅内动脉瘤治疗中的疗效:190例患者的治疗结果

Efficacy of pCONUS Devices in the Management of Intracranial Aneurysms: Outcomes of 190 Patients.

作者信息

Al-Jehani Hosam M, Hafez Mousa Ahmed, AlHamid May A

机构信息

Department of Neurosurgery and Interventional Neuroradiology, King Fahad Hospital of the University, Dammam, SAU.

Department of Neurology and Neurosurgery, Montreal Neurological Institute and Hospital, McGill University, Montreal, CAN.

出版信息

Cureus. 2024 Sep 24;16(9):e70075. doi: 10.7759/cureus.70075. eCollection 2024 Sep.

DOI:10.7759/cureus.70075
PMID:39449931
原文链接:https://pmc.ncbi.nlm.nih.gov/articles/PMC11500052/
Abstract

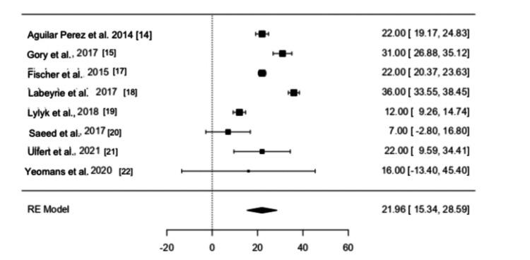
Intracranial aneurysms (IAs) pose a significant health concern, necessitating effective treatment modalities. The pCONUS device has emerged as a promising option for managing complex IAs, particularly wide-necked bifurcation aneurysms. Evaluating its efficacy across multiple studies is essential for establishing therapeutic guidelines. A systematic review was conducted following Preferred Reporting Items for Systematic Reviews and Meta-Analyses (PRISMA) guidelines to identify studies assessing the efficacy of pCONUS devices in treating cerebral aneurysms. PubMed, Google Scholar, and Scopus were searched for relevant articles published from January 1, 2000, to December 31, 2021. Inclusion criteria encompassed clinical trials examining pCONUS device benefits for ruptured or unruptured cerebral aneurysms. Data extraction and quality assessment were performed independently by two reviewers. Out of 390 initially identified articles, eight studies met the inclusion criteria. These studies collectively involved 190 participants with intracranial aneurysms. The sample sizes ranged from seven to 40 patients, predominantly in retrospective designs. Complete occlusion rates varied from 46.8% to 100%, with a mean diameter of treated aneurysms ranging from 2.5 mm to 8.83 mm. This systematic review suggests that pCONUS devices are feasible and effective for treating complex bifurcation cerebral aneurysms, with acceptable complication rates. Despite limitations such as retrospective study designs and limited follow-up durations, the findings support the beneficial role of pCONUS devices in managing challenging intracranial aneurysms. Larger collaborative efforts with longer follow-up durations are warranted to validate these findings and establish wider therapeutic guidelines.

摘要

颅内动脉瘤(IAs)对健康构成重大威胁,因此需要有效的治疗方式。pCONUS装置已成为治疗复杂颅内动脉瘤(尤其是宽颈分叉动脉瘤)的一种有前景的选择。在多项研究中评估其疗效对于制定治疗指南至关重要。按照系统评价和Meta分析的首选报告项目(PRISMA)指南进行了一项系统评价,以确定评估pCONUS装置治疗脑动脉瘤疗效的研究。在PubMed、谷歌学术和Scopus上搜索了2000年1月1日至2021年12月31日发表的相关文章。纳入标准包括检查pCONUS装置对破裂或未破裂脑动脉瘤益处的临床试验。由两名审阅者独立进行数据提取和质量评估。在最初识别的390篇文章中,有8项研究符合纳入标准。这些研究总共涉及190名颅内动脉瘤患者。样本量从7例到40例不等,主要采用回顾性设计。完全闭塞率从46.8%到100%不等,治疗动脉瘤的平均直径从2.5毫米到8.83毫米不等。这项系统评价表明,pCONUS装置治疗复杂分叉脑动脉瘤是可行且有效的,并发症发生率可接受。尽管存在回顾性研究设计和随访时间有限等局限性,但研究结果支持pCONUS装置在处理具有挑战性的颅内动脉瘤方面的有益作用。需要更大规模的合作努力和更长的随访时间来验证这些发现并制定更广泛的治疗指南。

https://cdn.ncbi.nlm.nih.gov/pmc/blobs/7958/11500052/12a465918fa8/cureus-0016-00000070075-i03.jpg
https://cdn.ncbi.nlm.nih.gov/pmc/blobs/7958/11500052/b0d999e3a14a/cureus-0016-00000070075-i01.jpg
https://cdn.ncbi.nlm.nih.gov/pmc/blobs/7958/11500052/034b1a95ae8d/cureus-0016-00000070075-i02.jpg
https://cdn.ncbi.nlm.nih.gov/pmc/blobs/7958/11500052/12a465918fa8/cureus-0016-00000070075-i03.jpg
https://cdn.ncbi.nlm.nih.gov/pmc/blobs/7958/11500052/b0d999e3a14a/cureus-0016-00000070075-i01.jpg
https://cdn.ncbi.nlm.nih.gov/pmc/blobs/7958/11500052/034b1a95ae8d/cureus-0016-00000070075-i02.jpg
https://cdn.ncbi.nlm.nih.gov/pmc/blobs/7958/11500052/12a465918fa8/cureus-0016-00000070075-i03.jpg

相似文献

1
Efficacy of pCONUS Devices in the Management of Intracranial Aneurysms: Outcomes of 190 Patients.pCONUS设备在颅内动脉瘤治疗中的疗效:190例患者的治疗结果
Cureus. 2024 Sep 24;16(9):e70075. doi: 10.7759/cureus.70075. eCollection 2024 Sep.
2
pCONUS 2 and pCONUS 2-HPC for the treatment of wide-necked intracranial aneurysms: Periprocedural, 6-month, and early 2-year follow-up outcomes.pCONUS 2 和 pCONUS 2-HPC 治疗宽颈颅内动脉瘤:围手术期、6 个月和早期 2 年随访结果。
Interv Neuroradiol. 2021 Dec;27(6):805-814. doi: 10.1177/15910199211011887. Epub 2021 Apr 22.
3
pCONUS 2 and pCONUS 2-HPC in the treatment of wide-necked intracranial aneurysms: Multicentre UK experience.pCONUS 2和pCONUS 2-HPC治疗宽颈颅内动脉瘤:英国多中心经验。
Interv Neuroradiol. 2025 Feb;31(1):63-70. doi: 10.1177/15910199221150467. Epub 2023 Jan 8.
4
Single-center experience in the endovascular treatment of wide-necked intracranial aneurysms with a bridging intra-/extra-aneurysm implant (pCONus).单中心使用桥接性动脉瘤内/外植入物(pCONus)对宽颈颅内动脉瘤进行血管内治疗的经验。
J Neurointerv Surg. 2016 Nov;8(11):1186-1191. doi: 10.1136/neurintsurg-2015-012004. Epub 2015 Dec 9.
5
Use of pCONUS HPC for the treatment of unruptured wide-necked bifurcation aneurysms: early clinical experience using single antiplatelet therapy.pCONUS HPC 在未破裂宽颈分叉部动脉瘤治疗中的应用:应用单一抗血小板治疗的早期临床经验。
Stroke Vasc Neurol. 2021 Mar;6(1):57-64. doi: 10.1136/svn-2020-000399. Epub 2020 Sep 12.
6
The pCONUS bifurcation aneurysm implants for endovascular treatment of adults with intracranial aneurysms: A systematic review and meta-analysis.用于成人颅内动脉瘤血管内治疗的pCONUS分叉动脉瘤植入物:一项系统评价和荟萃分析。
Surg Neurol Int. 2019 Feb 28;10:24. doi: 10.4103/sni.sni_297_18. eCollection 2019.
7
Endovascular embolization of wide-necked bifurcation aneurysms with the use of pCONus device: A systematic review and meta-analysis.应用 pCONus 装置对宽颈分叉部动脉瘤进行血管内栓塞治疗的系统评价和荟萃分析。
Clin Imaging. 2021 Feb;70:81-88. doi: 10.1016/j.clinimag.2020.10.025. Epub 2020 Oct 24.
8
pCONus Device for the Endovascular Treatment of Wide-Neck Middle Cerebral Artery Aneurysms.用于宽颈大脑中动脉动脉瘤血管内治疗的pCONus装置
AJNR Am J Neuroradiol. 2015 Sep;36(9):1735-40. doi: 10.3174/ajnr.A4392. Epub 2015 Jul 23.
9
The pCONus Device in Treatment of Wide-necked Aneurysms : Technical and Midterm Clinical and Angiographic Results.pCONus装置治疗宽颈动脉瘤:技术及中期临床和血管造影结果
Clin Neuroradiol. 2018 Mar;28(1):47-54. doi: 10.1007/s00062-016-0542-z. Epub 2016 Sep 16.
10
Folic acid supplementation and malaria susceptibility and severity among people taking antifolate antimalarial drugs in endemic areas.在流行地区,服用抗叶酸抗疟药物的人群中,叶酸补充剂与疟疾易感性和严重程度的关系。
Cochrane Database Syst Rev. 2022 Feb 1;2(2022):CD014217. doi: 10.1002/14651858.CD014217.

本文引用的文献

1
Prevalence of unruptured intracranial aneurysms: impact of different definitions - the Tromsø Study.颅内未破裂动脉瘤的患病率:不同定义的影响 - 特罗姆瑟研究。
J Neurol Neurosurg Psychiatry. 2022 Aug;93(8):902-907. doi: 10.1136/jnnp-2022-329270. Epub 2022 Jun 10.
2
Results of the pToWin Study: Using the pCONUS Device for the Treatment of Wide-Neck Intracranial Aneurysms.pToWin研究结果:使用pCONUS装置治疗宽颈颅内动脉瘤
J Clin Med. 2022 Feb 8;11(3):884. doi: 10.3390/jcm11030884.
3
pCONUS 2 and pCONUS 2-HPC for the treatment of wide-necked intracranial aneurysms: Periprocedural, 6-month, and early 2-year follow-up outcomes.
pCONUS 2 和 pCONUS 2-HPC 治疗宽颈颅内动脉瘤:围手术期、6 个月和早期 2 年随访结果。
Interv Neuroradiol. 2021 Dec;27(6):805-814. doi: 10.1177/15910199211011887. Epub 2021 Apr 22.
4
Endovascular embolization of wide-necked bifurcation aneurysms with the use of pCONus device: A systematic review and meta-analysis.应用 pCONus 装置对宽颈分叉部动脉瘤进行血管内栓塞治疗的系统评价和荟萃分析。
Clin Imaging. 2021 Feb;70:81-88. doi: 10.1016/j.clinimag.2020.10.025. Epub 2020 Oct 24.
5
The pCONUS bifurcation aneurysm implants for endovascular treatment of adults with intracranial aneurysms: A systematic review and meta-analysis.用于成人颅内动脉瘤血管内治疗的pCONUS分叉动脉瘤植入物:一项系统评价和荟萃分析。
Surg Neurol Int. 2019 Feb 28;10:24. doi: 10.4103/sni.sni_297_18. eCollection 2019.
6
Intracranial Aneurysms: Pathology, Genetics, and Molecular Mechanisms.颅内动脉瘤:病理学、遗传学和分子机制。
Neuromolecular Med. 2019 Dec;21(4):325-343. doi: 10.1007/s12017-019-08537-7. Epub 2019 May 4.
7
The pCONus2 Neck-Bridging Device: Early Clinical Experience and Immediate Angiographic Results.pCONus2 颈环搭桥装置:早期临床经验和即刻血管造影结果。
World Neurosurg. 2018 Feb;110:e766-e775. doi: 10.1016/j.wneu.2017.11.097. Epub 2017 Nov 24.
8
Endovascular management of fusiform aneurysms in the posterior circulation: the era of flow diversion.后循环梭形动脉瘤的血管内治疗:血流导向时代
Neurosurg Focus. 2017 Jun;42(6):E14. doi: 10.3171/2017.3.FOCUS1748.
9
One-year Angiographic Results After pCONus Stent-Assisted Coiling of 40 Wide-Neck Middle Cerebral Artery Aneurysms.40例大脑中动脉宽颈动脉瘤采用pCONus支架辅助弹簧圈栓塞术后的一年血管造影结果
Neurosurgery. 2017 Jun 1;80(6):925-933. doi: 10.1093/neuros/nyw131.
10
Current Treatment Strategies for Intracranial Aneurysms: An Overview.颅内动脉瘤的当前治疗策略:概述
Angiology. 2018 Jan;69(1):17-30. doi: 10.1177/0003319717700503. Epub 2017 Mar 30.