Suppr超能文献

开启咨询成功之门:人格特质如何调节其有效性

Unlocking Success in Counseling: How Personality Traits Moderates Its Effectiveness.

作者信息

Fortunato Alexandro, Andreassi Silvia, Franchini Costanza, Sciabica Gaetano Maria, Morelli Mara, Chirumbolo Antonio, Speranza Anna Maria

机构信息

Department of Dynamic, Clinical Psychology and Health, Faculty of Medicine and Psychology, Sapienza University of Rome, 00185 Roma, Italy.

Department of Psychology, Faculty of Medicine and Psychology, Sapienza University of Rome, 00185 Roma, Italy.

出版信息

Eur J Investig Health Psychol Educ. 2024 Sep 24;14(10):2642-2656. doi: 10.3390/ejihpe14100174.

Abstract

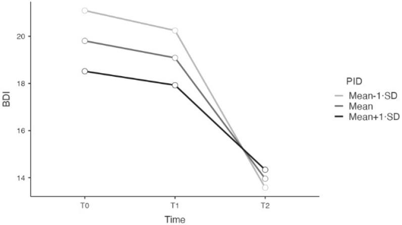
Psychological distress is widespread among university students, with depression being notably more prevalent compared to the general population. University counseling services are crucial for addressing these mental health challenges, and numerous studies have demonstrated their effectiveness in reducing psychological distress and improving overall well-being. However, there is limited research on what factors predict the success of university counseling. This study aims to evaluate whether counseling improves well-being, specifically by reducing depressive symptoms, and to explore whether personality traits influence counseling outcomes. Participants included 125 Italian university students (64.8% female, mean age = 22.69; SD = 3.04) who utilized counseling services. They completed a socio-demographic questionnaire, the Beck Depression Inventory-II (BDI-II), and the Personality Inventory for DSM-5-TR (PID-5-TR) at three points: immediately after the intake interview (T0), just before the intervention (T1), and after the fourth session (T2). Linear mixed models were used to analyze changes in depression levels, revealing a significant reduction in depressive symptoms from pre- to post-intervention. Among personality traits, only antagonism showed a significant interaction with time. Additionally, higher detachment scores were associated with higher depression levels. These findings emphasize the need for focused attention on students' emotional issues and suggest that personality traits may influence the effectiveness of counseling.

摘要

心理困扰在大学生中普遍存在,与普通人群相比,抑郁症的患病率明显更高。大学咨询服务对于应对这些心理健康挑战至关重要,许多研究已证明其在减轻心理困扰和改善总体幸福感方面的有效性。然而,关于哪些因素能预测大学咨询成功的研究有限。本研究旨在评估咨询是否能改善幸福感,特别是通过减轻抑郁症状来实现,并探讨人格特质是否会影响咨询效果。参与者包括125名使用咨询服务的意大利大学生(64.8%为女性,平均年龄 = 22.69岁;标准差 = 3.04)。他们在三个时间点完成了一份社会人口学问卷、贝克抑郁量表第二版(BDI-II)和《精神疾病诊断与统计手册》第五版修订版人格量表(PID-5-TR):在初次访谈后立即(T0)、干预前(T1)和第四次咨询后(T2)。采用线性混合模型分析抑郁水平的变化,结果显示干预前后抑郁症状有显著减轻。在人格特质中,只有敌对性表现出与时间的显著交互作用。此外,更高的疏离得分与更高的抑郁水平相关。这些发现强调需要重点关注学生的情绪问题,并表明人格特质可能会影响咨询效果。

https://cdn.ncbi.nlm.nih.gov/pmc/blobs/f3d6/11507491/165a3524386c/ejihpe-14-00174-g001.jpg

文献检索

告别复杂PubMed语法,用中文像聊天一样搜索,搜遍4000万医学文献。AI智能推荐,让科研检索更轻松。

立即免费搜索

文件翻译

保留排版,准确专业,支持PDF/Word/PPT等文件格式,支持 12+语言互译。

免费翻译文档

深度研究

AI帮你快速写综述,25分钟生成高质量综述,智能提取关键信息,辅助科研写作。

立即免费体验