• 文献检索
  • 文档翻译
  • 深度研究
  • 学术资讯
  • Suppr Zotero 插件Zotero 插件
  • 邀请有礼
  • 套餐&价格
  • 历史记录
应用&插件
Suppr Zotero 插件Zotero 插件浏览器插件Mac 客户端Windows 客户端微信小程序
定价
高级版会员购买积分包购买API积分包
服务
文献检索文档翻译深度研究API 文档MCP 服务
关于我们
关于 Suppr公司介绍联系我们用户协议隐私条款
关注我们

Suppr 超能文献

核心技术专利:CN118964589B侵权必究
粤ICP备2023148730 号-1Suppr @ 2026

文献检索

告别复杂PubMed语法,用中文像聊天一样搜索,搜遍4000万医学文献。AI智能推荐,让科研检索更轻松。

立即免费搜索

文件翻译

保留排版,准确专业,支持PDF/Word/PPT等文件格式,支持 12+语言互译。

免费翻译文档

深度研究

AI帮你快速写综述,25分钟生成高质量综述,智能提取关键信息,辅助科研写作。

立即免费体验

温度、相对湿度和培养时间对导致马铃薯块茎干腐病的 spp. 产生真菌毒素的影响。

Effect of Temperature, Relative Humidity, and Incubation Time on the Mycotoxin Production by spp. Responsible for Dry Rot in Potato Tubers.

机构信息

Magan Centre of Applied Mycology, Cranfield University, Cranfield MK43 0AL, UK.

Plant Science Laboratory, Cranfield University, Cranfield MK43 0AL, UK.

出版信息

Toxins (Basel). 2024 Sep 24;16(10):414. doi: 10.3390/toxins16100414.

DOI:10.3390/toxins16100414
PMID:39453190
原文链接:https://pmc.ncbi.nlm.nih.gov/articles/PMC11511537/
Abstract

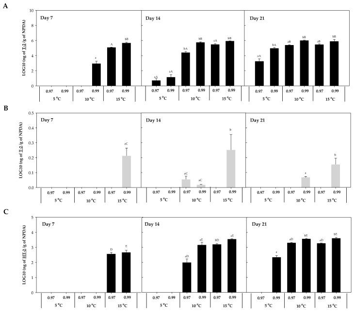
Potato is the fourth most consumed crop in the world. More than half of the crop is stored for three to nine months at cold temperatures (3-10 °C) for the fresh and seed market. One of the main causes of fresh potato waste in the retail supply chain is the processing of fungal and bacterial rots during storage. Dry rot is a fungal disease that mainly affects the potato crop during storage and is responsible for 1% of tuber losses in the UK. It is produced by spp., such as and , which can lead to the accumulation of mycotoxins in the potato tuber. Little is known about the impact of environmental factors on the accumulation of mycotoxins in potato tubers. Understanding the ecophysiology of these fungi is key to mitigating their occurrence under commercial storage conditions. Therefore, this work aimed to elucidate the effect of three different temperatures (5, 10, and 15 °C) and two different water activities (a; 0.97, 0.99) on the ecophysiology and mycotoxin accumulation of and in a potato-based semi-synthetic medium. The mycotoxin accumulation was then studied , in potato tubers cultivated under organic farming conditions, stored for 40 days at 8.5 °C. Results showed that higher temperatures and a enhanced fungal growth, lag time, and mycotoxin accumulation . Growth rate was 2 and 3.6 times higher when the temperature increased from 5 to 10 and 15 °C, respectively. Six different mycotoxins (T-2, HT-2, diacetoxyscirpenol, 15-acetoxyscirpenol, neosolaniol, and beauvericin) were detected and . T-2 was the most abundant mycotoxin detected , observing 10 ng of T-2/g media after 21 days of incubation at 10 °C and 0.99 a. Due to the long period of time that potato tubers spend in storage, the fluctuations of environmental factors, such as temperature and relative humidity, could promote the development of fungal rot, as well as mycotoxin accumulation. This could result in important food and economic losses for the potato market and a threat to food safety.

摘要

土豆是世界上第四大消费作物。超过一半的作物在低温(3-10°C)下储存三到九个月,以供应新鲜市场和种子市场。在零售供应链中,新鲜土豆浪费的主要原因之一是在储存过程中真菌和细菌腐烂的处理。干腐病是一种真菌病,主要影响储存期间的土豆作物,占英国块茎损失的 1%。它是由 spp. 引起的,如 和 ,这可能导致土豆块茎中霉菌毒素的积累。人们对环境因素对土豆块茎中霉菌毒素积累的影响知之甚少。了解这些真菌的生态生理学是减轻其在商业储存条件下发生的关键。因此,这项工作旨在阐明三种不同温度(5、10 和 15°C)和两种不同水活度(a;0.97、0.99)对基于土豆的半合成培养基中 和 的生态生理学和霉菌毒素积累的影响。然后研究了在 8.5°C 下有机农业条件下种植的土豆块茎中储存 40 天时的霉菌毒素积累情况。结果表明,较高的温度和 a 增强了真菌的生长、滞后时间和霉菌毒素的积累。当温度从 5°C 升高到 10°C 和 15°C 时,生长速度分别提高了 2 倍和 3.6 倍。在 和 中检测到六种不同的霉菌毒素(T-2、HT-2、二乙酰氧基麦角甾醇、15-乙酰氧基麦角甾醇、新茄病镰刀菌醇和 beauvericin)。T-2 是检测到的最丰富的霉菌毒素,在 10°C 和 0.99 a 下培养 21 天后,观察到培养基中含有 10ng/g 的 T-2。由于土豆块茎在储存过程中需要很长时间,环境因素(如温度和相对湿度)的波动可能会促进真菌腐烂和霉菌毒素积累的发展。这可能会导致土豆市场的重大经济损失和对食品安全的威胁。

https://cdn.ncbi.nlm.nih.gov/pmc/blobs/e114/11511537/a2ab29499420/toxins-16-00414-g006.jpg
https://cdn.ncbi.nlm.nih.gov/pmc/blobs/e114/11511537/1d436bf652f7/toxins-16-00414-g001.jpg
https://cdn.ncbi.nlm.nih.gov/pmc/blobs/e114/11511537/346659774a01/toxins-16-00414-g002.jpg
https://cdn.ncbi.nlm.nih.gov/pmc/blobs/e114/11511537/6f9c17634a58/toxins-16-00414-g003.jpg
https://cdn.ncbi.nlm.nih.gov/pmc/blobs/e114/11511537/95bb7a823a7f/toxins-16-00414-g004.jpg
https://cdn.ncbi.nlm.nih.gov/pmc/blobs/e114/11511537/8bd4284b3548/toxins-16-00414-g005.jpg
https://cdn.ncbi.nlm.nih.gov/pmc/blobs/e114/11511537/a2ab29499420/toxins-16-00414-g006.jpg
https://cdn.ncbi.nlm.nih.gov/pmc/blobs/e114/11511537/1d436bf652f7/toxins-16-00414-g001.jpg
https://cdn.ncbi.nlm.nih.gov/pmc/blobs/e114/11511537/346659774a01/toxins-16-00414-g002.jpg
https://cdn.ncbi.nlm.nih.gov/pmc/blobs/e114/11511537/6f9c17634a58/toxins-16-00414-g003.jpg
https://cdn.ncbi.nlm.nih.gov/pmc/blobs/e114/11511537/95bb7a823a7f/toxins-16-00414-g004.jpg
https://cdn.ncbi.nlm.nih.gov/pmc/blobs/e114/11511537/8bd4284b3548/toxins-16-00414-g005.jpg
https://cdn.ncbi.nlm.nih.gov/pmc/blobs/e114/11511537/a2ab29499420/toxins-16-00414-g006.jpg

相似文献

1
Effect of Temperature, Relative Humidity, and Incubation Time on the Mycotoxin Production by spp. Responsible for Dry Rot in Potato Tubers.温度、相对湿度和培养时间对导致马铃薯块茎干腐病的 spp. 产生真菌毒素的影响。
Toxins (Basel). 2024 Sep 24;16(10):414. doi: 10.3390/toxins16100414.
2
Mycotoxin Accumulation in Dry Rot Potato Tubers from Algeria and Toxigenic Potential of Associated Isolates of Fusarium Genus.干腐病马铃薯块茎中真菌毒素的积累及相关镰刀菌属真菌的产毒潜能。
Curr Microbiol. 2024 Aug 23;81(10):320. doi: 10.1007/s00284-024-03840-4.
3
The arbuscular mycorrhizal fungus, Glomus irregulare, controls the mycotoxin production of Fusarium sambucinum in the pathogenesis of potato.丛枝菌根真菌,不规则球囊霉,控制了致病疫霉真菌在马铃薯中真菌毒素的产生。
FEMS Microbiol Lett. 2013 Nov;348(1):46-51. doi: 10.1111/1574-6968.12236. Epub 2013 Sep 10.
4
Response surface models to predict potato tuber infection by Fusarium sambucinum from duration of wetness and temperature, and dry rot lesion expansion from storage time and temperature.用于根据湿度持续时间和温度预测马铃薯块茎被接骨木镰刀菌感染,以及根据储存时间和温度预测干腐病病斑扩展的响应面模型。
Int J Food Microbiol. 2002 Jun 5;76(1-2):19-25. doi: 10.1016/s0168-1605(01)00752-8.
5
Trichothecene mycotoxins associated with potato dry rot caused by Fusarium graminearum.与禾谷镰刀菌引起的马铃薯干腐病有关的单端孢霉烯族真菌毒素。
Phytopathology. 2010 Mar;100(3):290-6. doi: 10.1094/PHYTO-100-3-0290.
6
First Report of Potato Tuber Sprout Rot Caused by Fusarium sambucinum in Michigan.密歇根州由接骨木镰刀菌引起的马铃薯块茎芽腐病的首次报道。
Plant Dis. 2006 Nov;90(11):1460. doi: 10.1094/PD-90-1460B.
7
First Report of Fusarium proliferatum Causing Dry Rot in Michigan Commercial Potato (Solanum tuberosum) Production.密歇根州商业马铃薯(Solanum tuberosum)生产中由层出镰刀菌引起干腐病的首次报道
Plant Dis. 2014 Jun;98(6):843. doi: 10.1094/PDIS-09-13-0919-PDN.
8
First Report of in vitro Fludioxonil-Resistant Isolates of Fusarium spp. Causing Potato Dry Rot in Michigan.密歇根州首次报告引起马铃薯干腐病的镰刀菌属对咯菌腈产生体外抗性的分离菌株
Plant Dis. 2011 Feb;95(2):228. doi: 10.1094/PDIS-10-10-0737.
9
First Report of Fusarium torulosum Causing Dry Rot of Seed Potato Tubers in the United States.美国关于串珠镰孢菌引起种用马铃薯块茎干腐病的首次报道
Plant Dis. 2011 Sep;95(9):1194. doi: 10.1094/PDIS-04-11-0291.
10
Effect of interacting conditions of water activity, temperature and incubation time on Fusarium thapsinum and Fusarium andiyazi growth and toxin production on sorghum grains.水分活度、温度和培养时间相互作用条件对高粱粒上串珠镰刀菌和黄色镰刀菌生长及产毒的影响。
Int J Food Microbiol. 2020 Apr 2;318:108468. doi: 10.1016/j.ijfoodmicro.2019.108468. Epub 2019 Dec 2.

本文引用的文献

1
Pathogenicity, Mycotoxin Production, and Control of Potato Dry Rot Caused by spp.: A Review.由[具体菌种]引起的马铃薯干腐病的致病性、霉菌毒素产生及防治:综述
J Fungi (Basel). 2023 Aug 12;9(8):843. doi: 10.3390/jof9080843.
2
Metabolite Formation by Fungal Pathogens of Potatoes ( L.) in the Presence of Bioprotective Agents.在生物保护剂存在的情况下,真菌病原体对马铃薯(L.)的代谢产物形成。
Int J Environ Res Public Health. 2023 Mar 22;20(6):5221. doi: 10.3390/ijerph20065221.
3
Searching for the spp. Which Are Responsible for Trichothecene Contamination in Oats Using Metataxonomy to Compare the Distribution of Toxigenic Species in Fields from Spain and the UK.
利用宏分类学比较西班牙和英国田间产毒菌的分布,寻找导致燕麦中三脱氧镰刀菌烯醇污染的 spp.。
Toxins (Basel). 2022 Aug 28;14(9):592. doi: 10.3390/toxins14090592.
4
Fusarium spp. Causing Dry Rot of Seed Potato Tubers in Michigan and Their Sensitivity to Fungicides.引起密歇根州种用马铃薯块茎干腐病的镰孢菌属菌种及其对杀菌剂的敏感性
Plant Dis. 2012 Dec;96(12):1767-1774. doi: 10.1094/PDIS-11-11-0932-RE.
5
Interactions between water activity and temperature on the Aspergillus flavus transcriptome and aflatoxin B production.水活度和温度对黄曲霉转录组和黄曲霉毒素 B 产量的相互作用。
Int J Food Microbiol. 2017 Sep 1;256:36-44. doi: 10.1016/j.ijfoodmicro.2017.05.020. Epub 2017 May 26.
6
Effect of climate change on Aspergillus flavus and aflatoxin B1 production.气候变化对黄曲霉和黄曲霉毒素 B1 产生的影响。
Front Microbiol. 2014 Jul 22;5:348. doi: 10.3389/fmicb.2014.00348. eCollection 2014.
7
Effect of cultivars, Fusarium strains and storage temperature on trichothecenes production in inoculated potato tubers.接种马铃薯块茎中品种、镰刀菌菌株和贮藏温度对单端孢霉烯族化合物产生的影响。
Food Chem. 2014 May 15;151:236-42. doi: 10.1016/j.foodchem.2013.11.060. Epub 2013 Nov 18.
8
New method for the simultaneous analysis of types A and B trichothecenes by ultrahigh-performance liquid chromatography coupled with tandem mass spectrometry in potato tubers inoculated with Fusarium sulphureum.利用超高效液相色谱-串联质谱法同时分析接种硫磺镰刀菌的马铃薯块茎中 A 型和 B 型单端孢霉烯族化合物的新方法。
J Agric Food Chem. 2013 Oct 2;61(39):9333-8. doi: 10.1021/jf402997t. Epub 2013 Sep 19.
9
Mycotoxins in potato tubers infected byFusarium sambucinum.感染桑氏镰孢菌的马铃薯块茎中的真菌毒素。
Mycotoxin Res. 2002 Jun;18(2):57-61. doi: 10.1007/BF02946697.
10
Predicting and preventing mold spoilage of food products.预测和防止食品霉变。
J Food Prot. 2013 Mar;76(3):538-51. doi: 10.4315/0362-028X.JFP-12-349.