• 文献检索
  • 文档翻译
  • 深度研究
  • 学术资讯
  • Suppr Zotero 插件Zotero 插件
  • 邀请有礼
  • 套餐&价格
  • 历史记录
应用&插件
Suppr Zotero 插件Zotero 插件浏览器插件Mac 客户端Windows 客户端微信小程序
定价
高级版会员购买积分包购买API积分包
服务
文献检索文档翻译深度研究API 文档MCP 服务
关于我们
关于 Suppr公司介绍联系我们用户协议隐私条款
关注我们

Suppr 超能文献

核心技术专利:CN118964589B侵权必究
粤ICP备2023148730 号-1Suppr @ 2026

文献检索

告别复杂PubMed语法,用中文像聊天一样搜索,搜遍4000万医学文献。AI智能推荐,让科研检索更轻松。

立即免费搜索

文件翻译

保留排版,准确专业,支持PDF/Word/PPT等文件格式,支持 12+语言互译。

免费翻译文档

深度研究

AI帮你快速写综述,25分钟生成高质量综述,智能提取关键信息,辅助科研写作。

立即免费体验

潮流波动对五里湖细菌群落结构的影响:潮汐坝内外水域的对比分析。

Impact of tidal fluctuations on bacterial community structure in Wuyuan Bay: A comparative analysis of waters inside and outside the tidal barrage.

机构信息

Collaborative Innovation Center for Intelligent Fishery, Higher Vocational College of Fujian Province, Xiamen Ocean Vocational College, Xiamen, China.

Xiamen Cloud Whale Ecological Environment Co., LTD, Xiamen, China.

出版信息

PLoS One. 2024 Oct 25;19(10):e0312283. doi: 10.1371/journal.pone.0312283. eCollection 2024.

DOI:10.1371/journal.pone.0312283
PMID:39453927
原文链接:https://pmc.ncbi.nlm.nih.gov/articles/PMC11508120/
Abstract

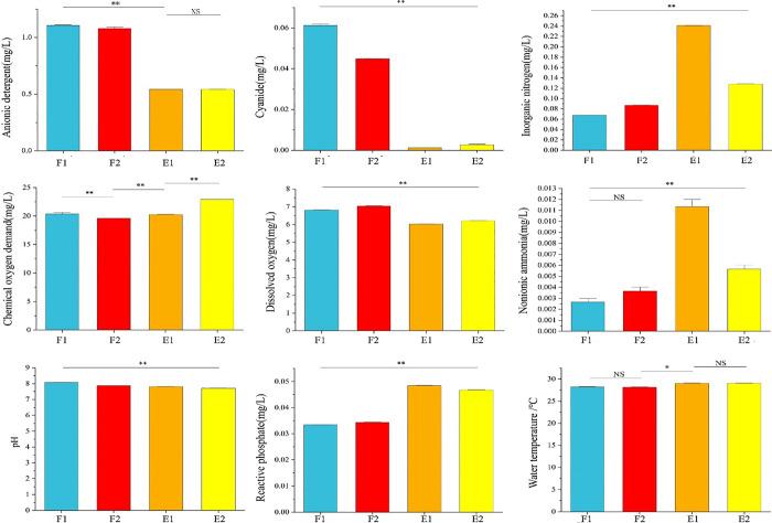
The tidal barrage at Wuyuan Bay effectively mitigated the odor from the tidal flat during ebb tide, however, its effect on bacterial community structure in waters are still unclear. In this study, high-throughput sequencing was used to analyze the structure of the microbial community in waters inside and outside the tidal barrage during flood and ebb tides. Results showed bacterial diversity was higher in water outside the barrage during flood tide. The dominated species at phylum and genus levels were various in waters inside and outside the tidal barrage during flood and ebb tides. The water inside during ebb tide (E1) were dominated by two cyanobacterial genera, Cyanobium_PCC-6307 (42.90%) and Synechococcus_CC9902 (12.56%). The microbial function, such as porphyrin and chlorophyll metabolism and photosynthesis, were increased in E1. Norank_f__Nitriliruptoraceae was identified as differential microorganism in waters inside the barrage. Inorganic nitrogen and nonionic ammonia were significantly high in E1, and were negatively correlated with norank_f__Nitriliruptoraceae. These results suggest tidal barrage blocks water exchange, resulting in the accumulation of nutrients in Wuyuan Bay. Consequently, the environment became favorable for the growth of cyanobacteria, leading to the dominance of algae in the water inside the barrage and posing the risk of cyanobacterial bloom. Higher Nitriliruptoraceae inside the barrage might be a cue for the change of water quality.

摘要

在落潮时,位于梧园湾的潮汐坝有效地减轻了潮滩的气味,但它对水域细菌群落结构的影响尚不清楚。本研究采用高通量测序技术分析了涨潮和落潮时潮汐坝内外水域的微生物群落结构。结果表明,涨潮时坝外水域的细菌多样性较高。在涨潮和落潮时,坝内外水域的优势种在门和属水平上各不相同。落潮时(E1)的坝内水域主要由两个蓝细菌属组成,分别为 Cyanobium_PCC-6307(42.90%)和 Synechococcus_CC9902(12.56%)。E1 中微生物功能如卟啉和叶绿素代谢以及光合作用增加。在坝内水域中鉴定出的差异微生物为 Norank_f__Nitriliruptoraceae。E1 中无机氮和非离子氨含量显著升高,与 Norank_f__Nitriliruptoraceae 呈负相关。这些结果表明,潮汐坝阻止了水交换,导致梧园湾的营养物质积累。因此,环境变得有利于蓝藻的生长,导致坝内水域藻类占优势,并存在蓝藻水华的风险。坝内较高的 Nitriliruptoraceae 可能是水质变化的一个线索。

https://cdn.ncbi.nlm.nih.gov/pmc/blobs/4557/11508120/8a4c148e7eb2/pone.0312283.g009.jpg
https://cdn.ncbi.nlm.nih.gov/pmc/blobs/4557/11508120/ac14e212a774/pone.0312283.g001.jpg
https://cdn.ncbi.nlm.nih.gov/pmc/blobs/4557/11508120/4ea70ef47d84/pone.0312283.g002.jpg
https://cdn.ncbi.nlm.nih.gov/pmc/blobs/4557/11508120/7d98698b8e41/pone.0312283.g003.jpg
https://cdn.ncbi.nlm.nih.gov/pmc/blobs/4557/11508120/79a4679a7a87/pone.0312283.g004.jpg
https://cdn.ncbi.nlm.nih.gov/pmc/blobs/4557/11508120/cb85ad59840d/pone.0312283.g005.jpg
https://cdn.ncbi.nlm.nih.gov/pmc/blobs/4557/11508120/78a60ecdec4b/pone.0312283.g006.jpg
https://cdn.ncbi.nlm.nih.gov/pmc/blobs/4557/11508120/121f50660390/pone.0312283.g007.jpg
https://cdn.ncbi.nlm.nih.gov/pmc/blobs/4557/11508120/6c5464f3f7be/pone.0312283.g008.jpg
https://cdn.ncbi.nlm.nih.gov/pmc/blobs/4557/11508120/8a4c148e7eb2/pone.0312283.g009.jpg
https://cdn.ncbi.nlm.nih.gov/pmc/blobs/4557/11508120/ac14e212a774/pone.0312283.g001.jpg
https://cdn.ncbi.nlm.nih.gov/pmc/blobs/4557/11508120/4ea70ef47d84/pone.0312283.g002.jpg
https://cdn.ncbi.nlm.nih.gov/pmc/blobs/4557/11508120/7d98698b8e41/pone.0312283.g003.jpg
https://cdn.ncbi.nlm.nih.gov/pmc/blobs/4557/11508120/79a4679a7a87/pone.0312283.g004.jpg
https://cdn.ncbi.nlm.nih.gov/pmc/blobs/4557/11508120/cb85ad59840d/pone.0312283.g005.jpg
https://cdn.ncbi.nlm.nih.gov/pmc/blobs/4557/11508120/78a60ecdec4b/pone.0312283.g006.jpg
https://cdn.ncbi.nlm.nih.gov/pmc/blobs/4557/11508120/121f50660390/pone.0312283.g007.jpg
https://cdn.ncbi.nlm.nih.gov/pmc/blobs/4557/11508120/6c5464f3f7be/pone.0312283.g008.jpg
https://cdn.ncbi.nlm.nih.gov/pmc/blobs/4557/11508120/8a4c148e7eb2/pone.0312283.g009.jpg

相似文献

1
Impact of tidal fluctuations on bacterial community structure in Wuyuan Bay: A comparative analysis of waters inside and outside the tidal barrage.潮流波动对五里湖细菌群落结构的影响:潮汐坝内外水域的对比分析。
PLoS One. 2024 Oct 25;19(10):e0312283. doi: 10.1371/journal.pone.0312283. eCollection 2024.
2
Spatiotemporal Distribution Characteristics of Nutrients in the Drowned Tidal Inlet under the Influence of Tides: A Case Study of Zhanjiang Bay, China.受潮汐影响的淹没潮汐河口营养盐的时空分布特征:以中国湛江湾为例。
Int J Environ Res Public Health. 2021 Feb 21;18(4):2089. doi: 10.3390/ijerph18042089.
3
Hydrodynamic and anthropogenic disturbances co-shape microbiota rhythmicity and community assembly within intertidal groundwater-surface water continuum.水动力和人为干扰共同塑造了潮间带地下水-地表水连续体中的微生物群节律和群落组装。
Water Res. 2023 Aug 15;242:120236. doi: 10.1016/j.watres.2023.120236. Epub 2023 Jun 16.
4
Analysis of Community Composition of Bacterioplankton in Changle Seawater in China by Illumina Sequencing Combined with Bacteria Culture.Illumina 测序结合细菌培养分析中国昌乐海水中小细菌浮游生物的群落组成。
Orthop Surg. 2022 Jan;14(1):139-148. doi: 10.1111/os.13060. Epub 2021 Nov 24.
5
Diel fluctuations in the abundance and community diversity of coastal bacterioplankton assemblages over a tidal cycle.沿海细菌浮游生物组合在一个潮汐周期内丰度和群落多样性的日变化。
Microb Ecol. 2012 Jan;63(1):96-102. doi: 10.1007/s00248-011-9940-6. Epub 2011 Sep 14.
6
Total phosphorus speciation and transport flux dynamics driven by tidal variations in the Shuidong Bay coastal water during summer, China.夏季水东湾滨海水体中潮汐变化驱动的总磷形态分布与输运通量动态
Mar Pollut Bull. 2024 Sep;206:116773. doi: 10.1016/j.marpolbul.2024.116773. Epub 2024 Jul 30.
7
Effects of tidal flooding on estuarine biogeochemistry: Quantifying flood-driven nitrogen inputs in an urban, lower Chesapeake Bay sub-tributary.潮水淹没对河口生物地球化学的影响:量化城市切萨皮克湾下游支流中洪水驱动的氮输入。
Water Res. 2021 Aug 1;201:117329. doi: 10.1016/j.watres.2021.117329. Epub 2021 Jun 4.
8
Consortial brown tide - picocyanobacteria blooms in Guantánamo Bay, Cuba.古巴关塔那摩湾的协同棕潮-微囊藻水华。
Harmful Algae. 2018 Mar;73:30-43. doi: 10.1016/j.hal.2018.01.003. Epub 2018 Feb 4.
9
The influence of tide-brought nutrients on microbial carbon metabolic profiles of mangrove sediments.潮水带来的营养物质对红树林沉积物微生物碳代谢谱的影响。
Sci Total Environ. 2024 Jan 1;906:167732. doi: 10.1016/j.scitotenv.2023.167732. Epub 2023 Oct 11.
10
Tidal cycles of total particulate mercury in the Jade Bay, lower Saxonian Wadden Sea, southern North Sea.在北海的下萨克森瓦登海的 Jade 湾,总颗粒态汞的潮汐周期。
Bull Environ Contam Toxicol. 2013 Jan;90(1):97-102. doi: 10.1007/s00128-012-0866-6. Epub 2012 Nov 2.

本文引用的文献

1
Spatio-temporal connectivity of the aquatic microbiome associated with cyanobacterial blooms along a Great Lake riverine-lacustrine continuum.沿大湖河川-湖泊连续体与蓝藻水华相关的水生微生物群落的时空连通性。
Front Microbiol. 2023 Feb 9;14:1073753. doi: 10.3389/fmicb.2023.1073753. eCollection 2023.
2
How elevated nitrogen load affects bacterial community structure and nitrogen cycling services in coastal water.升高的氮负荷如何影响沿海水域的细菌群落结构和氮循环功能。
Front Microbiol. 2022 Dec 22;13:1062029. doi: 10.3389/fmicb.2022.1062029. eCollection 2022.
3
Spatiotemporal changes of bacterial communities during a cyanobacterial bloom in a subtropical water source reservoir ecosystem in China.
中国亚热带水源水库生态系统蓝藻水华期间细菌群落的时空变化。
Sci Rep. 2022 Aug 26;12(1):14573. doi: 10.1038/s41598-022-17788-7.
4
Bacterial Dynamics and Their Influence on the Biogeochemical Cycles in a Subtropical Hypereutrophic Lake During the Rainy Season.雨季亚热带超富营养湖泊中的细菌动态及其对生物地球化学循环的影响
Front Microbiol. 2022 Apr 5;13:832477. doi: 10.3389/fmicb.2022.832477. eCollection 2022.
5
Full-length 16S rRNA gene sequencing reveals spatiotemporal dynamics of bacterial community in a heavily polluted estuary, China.全长 16S rRNA 基因测序揭示了中国重污染河口细菌群落的时空动态。
Environ Pollut. 2021 Apr 15;275:116567. doi: 10.1016/j.envpol.2021.116567. Epub 2021 Jan 23.
6
Salinity controls soil microbial community structure and function in coastal estuarine wetlands.盐度控制沿海河口湿地土壤微生物群落结构和功能。
Environ Microbiol. 2021 Feb;23(2):1020-1037. doi: 10.1111/1462-2920.15281. Epub 2020 Oct 24.
7
Microbial community structure and functional properties in permanently and seasonally flooded areas in Poyang Lake.鄱阳湖常年和季节性水淹区的微生物群落结构和功能特性。
Sci Rep. 2020 Mar 16;10(1):4819. doi: 10.1038/s41598-020-61569-z.
8
Bacterial community structure and function in soils from tidal freshwater wetlands in a Chinese delta: Potential impacts of salinity and nutrient.中国三角洲潮汐淡水湿地土壤中的细菌群落结构和功能:盐度和养分的潜在影响。
Sci Total Environ. 2019 Dec 15;696:134029. doi: 10.1016/j.scitotenv.2019.134029. Epub 2019 Aug 21.
9
Distinct Bacterial Communities in Wet and Dry Seasons During a Seasonal Water Level Fluctuation in the Largest Freshwater Lake (Poyang Lake) in China.中国最大淡水湖(鄱阳湖)季节性水位波动期间干湿季不同的细菌群落
Front Microbiol. 2019 May 21;10:1167. doi: 10.3389/fmicb.2019.01167. eCollection 2019.
10
Bacterial Abundance and Community Composition in Pond Water From Shrimp Aquaculture Systems With Different Stocking Densities.不同放养密度对虾养殖系统池塘水中细菌丰度和群落组成的影响
Front Microbiol. 2018 Oct 18;9:2457. doi: 10.3389/fmicb.2018.02457. eCollection 2018.