Suppr超能文献

沉积物中温室气体排放和微生物群落对碳氮添加的快速响应

Rapid Responses of Greenhouse Gas Emissions and Microbial Communities to Carbon and Nitrogen Addition in Sediments.

作者信息

Liang Jin-Feng, Yao Bo, Zhang Xiao-Ya, Hu Qi-Wu

机构信息

School of Geography and Environment, Key Laboratory of Poyang Lake Wetland and Watershed Research, Ministry of Education, Jiangxi Normal University, Nanchang 330022, China.

College of Ecology and Environment, Hainan Tropical Ocean University, Sanya 572000, China.

出版信息

Microorganisms. 2024 Sep 25;12(10):1940. doi: 10.3390/microorganisms12101940.

Abstract

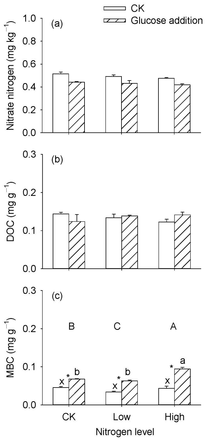
Massive labile carbon and nitrogen inputs into lakes change greenhouse gas emissions. However, the rapid driving mechanism from eutrophic and swampy lakes is not fully understood and is usually contradictory. Thus, we launched a short-term and anaerobic incubation experiment to explore the response of greenhouse gas emissions and microbial communities to glucose and nitrate nitrogen (NO-N) inputs. Glucose addition significantly increased CH and CO emissions and decreased NO emissions, but there were no significant differences. NO-N addition significantly promoted NO emissions but reduced CH accumulative amounts, similar to the results of the Tax4Fun prediction. Bacterial relative abundance changed after glucose addition and coupled with the abundance of denitrification genes ( and ) decreased while maintaining a negative impact on NO emissions, considerably increasing methanogenic bacteria () while maintaining a positive impact on CH emissions. Structural equation modeling showed that glucose and NO-N addition directly affected MBC content and greenhouse gas emissions. Further, MBC content was significantly negative with and , and positive with . These results significantly deepen the current understanding of the relationships between labial carbon, nitrogen, and greenhouse emissions, further highlighting that labile carbon input is the primary factor driving greenhouse gas emissions from eutrophic shallow lakes.

摘要

大量不稳定的碳和氮输入湖泊会改变温室气体排放。然而,富营养化和沼泽化湖泊中这种快速驱动机制尚未完全理解,且通常相互矛盾。因此,我们开展了一项短期厌氧培养实验,以探究温室气体排放和微生物群落对葡萄糖和硝态氮(NO₃-N)输入的响应。添加葡萄糖显著增加了CH₄和CO₂排放,减少了N₂O排放,但差异不显著。添加NO₃-N显著促进了N₂O排放,但降低了CH₄累积量,这与Tax4Fun预测结果相似。添加葡萄糖后细菌相对丰度发生变化,反硝化基因(nirS和nirK)丰度降低,同时对N₂O排放保持负面影响,产甲烷菌(mcrA)丰度大幅增加,同时对CH₄排放保持正面影响。结构方程模型表明,添加葡萄糖和NO₃-N直接影响MBC含量和温室气体排放。此外,MBC含量与nirS和nirK显著负相关,与mcrA显著正相关。这些结果显著加深了目前对不稳定碳、氮与温室气体排放之间关系的理解,进一步突出了不稳定碳输入是驱动富营养化浅水湖泊温室气体排放的主要因素。

https://cdn.ncbi.nlm.nih.gov/pmc/blobs/1a40/11509545/77815005c7f9/microorganisms-12-01940-g001.jpg

文献检索

告别复杂PubMed语法,用中文像聊天一样搜索,搜遍4000万医学文献。AI智能推荐,让科研检索更轻松。

立即免费搜索

文件翻译

保留排版,准确专业,支持PDF/Word/PPT等文件格式,支持 12+语言互译。

免费翻译文档

深度研究

AI帮你快速写综述,25分钟生成高质量综述,智能提取关键信息,辅助科研写作。

立即免费体验