• 文献检索
  • 文档翻译
  • 深度研究
  • 学术资讯
  • Suppr Zotero 插件Zotero 插件
  • 邀请有礼
  • 套餐&价格
  • 历史记录
应用&插件
Suppr Zotero 插件Zotero 插件浏览器插件Mac 客户端Windows 客户端微信小程序
定价
高级版会员购买积分包购买API积分包
服务
文献检索文档翻译深度研究API 文档MCP 服务
关于我们
关于 Suppr公司介绍联系我们用户协议隐私条款
关注我们

Suppr 超能文献

核心技术专利:CN118964589B侵权必究
粤ICP备2023148730 号-1Suppr @ 2026

文献检索

告别复杂PubMed语法,用中文像聊天一样搜索,搜遍4000万医学文献。AI智能推荐,让科研检索更轻松。

立即免费搜索

文件翻译

保留排版,准确专业,支持PDF/Word/PPT等文件格式,支持 12+语言互译。

免费翻译文档

深度研究

AI帮你快速写综述,25分钟生成高质量综述,智能提取关键信息,辅助科研写作。

立即免费体验

用于评估瑞舒伐他汀钙多单元微丸撒剂制剂的电位型电子舌

Potentiometric Electronic Tongue for the Evaluation of Multiple-Unit Pellet Sprinkle Formulations of Rosuvastatin Calcium.

作者信息

Ciosek-Skibińska Patrycja, Cal Krzysztof, Zakowiecki Daniel, Lenik Joanna

机构信息

Faculty of Chemistry, Warsaw University of Technology, Noakowskiego 3, 00-664 Warsaw, Poland.

Department of Pharmaceutical Technology, Faculty of Farmacy, Medical University of Gdansk, Al. Gen. J. Hallera 107, 80-416 Gdansk, Poland.

出版信息

Materials (Basel). 2024 Oct 14;17(20):5016. doi: 10.3390/ma17205016.

DOI:10.3390/ma17205016
PMID:39459720
原文链接:https://pmc.ncbi.nlm.nih.gov/articles/PMC11509238/
Abstract

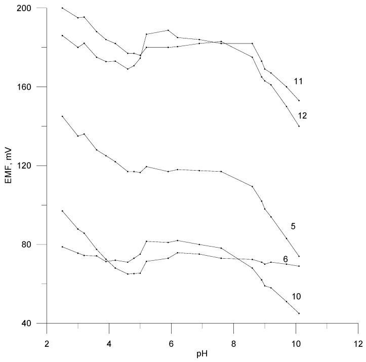
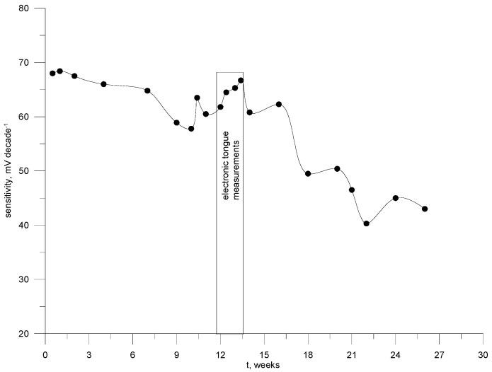
Sprinkle formulations represent an interesting genre of medicinal products. A frequent problem, however, is the need to mask the unpleasant taste of these drug substances. In the present work, we propose the use of a novel sensor array based on solid-state ion-selective electrodes to evaluate the taste-masking efficiency of rosuvastatin (ROS) sprinkle formulations. Eight Multiple Unit Pellet Systems (MUPSs) were analyzed at two different doses (API_50) and (API_10), as well as pure Active Pharmaceutical Ingredient (API) as a bitter standard. Calcium phosphate-based starter pellets were coated with the mixture containing rosuvastatin. Some of them were additionally coated with hydroxypropyl methylcellulose, which was intended to separate the bitter substance and prevent it from coming into contact with the taste buds. The sensor array consisted of 16 prepared sensors with a polymer membrane that had a different selectivity towards rosuvastatin calcium. The main analytical parameters (sensitivity, selectivity, response time, pH dependence of potential, drift of potential, lifetime) of the constructed ion-selective electrodes sensitive for rosuvastatin were determined. The signals from the sensors array recorded during the experiments were processed using Principal Component Analysis (PCA). The results obtained, i.e., the chemical images of the pharmaceutical samples, indicated that the electronic tongue composed of the developed solid-state electrodes provided respective attributes as sensor signals, enabling both of various kinds of ROS pellets to be distinguished and their similarity to ROS bitterness standards to be tested.

摘要

撒布剂是一类有趣的医药产品。然而,一个常见的问题是需要掩盖这些药物的不良味道。在本研究中,我们提出使用一种基于固态离子选择电极的新型传感器阵列来评估瑞舒伐他汀(ROS)撒布剂的掩味效率。对8种多单元微丸系统(MUPSs)在两种不同剂量(API_50)和(API_10)下进行了分析,同时以纯活性药物成分(API)作为苦味标准物。以磷酸钙为基础的起始微丸用含有瑞舒伐他汀的混合物进行包衣。其中一些还额外用羟丙基甲基纤维素进行包衣,目的是分离苦味物质并防止其与味蕾接触。传感器阵列由16个制备好的传感器组成,其聚合物膜对瑞舒伐他汀钙具有不同的选择性。测定了对瑞舒伐他汀敏感的构建离子选择电极的主要分析参数(灵敏度、选择性、响应时间、电位的pH依赖性、电位漂移、寿命)。实验过程中记录的传感器阵列信号使用主成分分析(PCA)进行处理。所获得的结果,即药物样品的化学图像,表明由开发的固态电极组成的电子舌提供了各自的属性作为传感器信号,既能够区分各种ROS微丸,又能够测试它们与ROS苦味标准物的相似性。

https://cdn.ncbi.nlm.nih.gov/pmc/blobs/72a6/11509238/de97551e1799/materials-17-05016-g009.jpg
https://cdn.ncbi.nlm.nih.gov/pmc/blobs/72a6/11509238/972c330186c2/materials-17-05016-g001.jpg
https://cdn.ncbi.nlm.nih.gov/pmc/blobs/72a6/11509238/5818c3334310/materials-17-05016-g002.jpg
https://cdn.ncbi.nlm.nih.gov/pmc/blobs/72a6/11509238/38a0c322a368/materials-17-05016-g003.jpg
https://cdn.ncbi.nlm.nih.gov/pmc/blobs/72a6/11509238/ad9b8f70764d/materials-17-05016-g004.jpg
https://cdn.ncbi.nlm.nih.gov/pmc/blobs/72a6/11509238/54af2bc5f0d5/materials-17-05016-g005.jpg
https://cdn.ncbi.nlm.nih.gov/pmc/blobs/72a6/11509238/76a9138d7e06/materials-17-05016-g006.jpg
https://cdn.ncbi.nlm.nih.gov/pmc/blobs/72a6/11509238/fcf8e324ea2d/materials-17-05016-g007.jpg
https://cdn.ncbi.nlm.nih.gov/pmc/blobs/72a6/11509238/1a97f8f988f5/materials-17-05016-g008.jpg
https://cdn.ncbi.nlm.nih.gov/pmc/blobs/72a6/11509238/de97551e1799/materials-17-05016-g009.jpg
https://cdn.ncbi.nlm.nih.gov/pmc/blobs/72a6/11509238/972c330186c2/materials-17-05016-g001.jpg
https://cdn.ncbi.nlm.nih.gov/pmc/blobs/72a6/11509238/5818c3334310/materials-17-05016-g002.jpg
https://cdn.ncbi.nlm.nih.gov/pmc/blobs/72a6/11509238/38a0c322a368/materials-17-05016-g003.jpg
https://cdn.ncbi.nlm.nih.gov/pmc/blobs/72a6/11509238/ad9b8f70764d/materials-17-05016-g004.jpg
https://cdn.ncbi.nlm.nih.gov/pmc/blobs/72a6/11509238/54af2bc5f0d5/materials-17-05016-g005.jpg
https://cdn.ncbi.nlm.nih.gov/pmc/blobs/72a6/11509238/76a9138d7e06/materials-17-05016-g006.jpg
https://cdn.ncbi.nlm.nih.gov/pmc/blobs/72a6/11509238/fcf8e324ea2d/materials-17-05016-g007.jpg
https://cdn.ncbi.nlm.nih.gov/pmc/blobs/72a6/11509238/1a97f8f988f5/materials-17-05016-g008.jpg
https://cdn.ncbi.nlm.nih.gov/pmc/blobs/72a6/11509238/de97551e1799/materials-17-05016-g009.jpg

相似文献

1
Potentiometric Electronic Tongue for the Evaluation of Multiple-Unit Pellet Sprinkle Formulations of Rosuvastatin Calcium.用于评估瑞舒伐他汀钙多单元微丸撒剂制剂的电位型电子舌
Materials (Basel). 2024 Oct 14;17(20):5016. doi: 10.3390/ma17205016.
2
The Use of Calcium Phosphate-Based Starter Pellets for the Preparation of Sprinkle IR MUPS Formulation of Rosuvastatin Calcium.使用磷酸钙基起始微丸制备瑞舒伐他汀钙速释型多单元微囊系统制剂
Pharmaceuticals (Basel). 2023 Feb 6;16(2):242. doi: 10.3390/ph16020242.
3
Influence of dissolution-modifying excipients in various pharmaceutical formulations on electronic tongue results.不同药物制剂中溶出改性辅料对电子舌结果的影响。
Talanta. 2017 Jan 1;162:203-209. doi: 10.1016/j.talanta.2016.10.018. Epub 2016 Oct 4.
4
Evaluation of taste-masking effects of pharmaceutical sweeteners with an electronic tongue system.采用电子舌系统评价药用甜味剂的掩味效果。
Drug Dev Ind Pharm. 2014 Mar;40(3):308-17. doi: 10.3109/03639045.2012.758636. Epub 2013 Jun 20.
5
Evaluation of a taste sensor instrument (electronic tongue) for use in formulation development.用于制剂研发的味觉传感仪器(电子舌)的评估。
Int J Pharm. 2009 Feb 9;367(1-2):65-72. doi: 10.1016/j.ijpharm.2008.09.042. Epub 2008 Oct 4.
6
Taste masking analysis in pharmaceutical formulation development using an electronic tongue.使用电子舌进行药物制剂开发中的味觉掩盖分析。
Int J Pharm. 2006 Mar 9;310(1-2):118-24. doi: 10.1016/j.ijpharm.2005.11.046. Epub 2006 Jan 20.
7
Electronic tongue for pharmaceutical analytics: quantification of tastes and masking effects.用于药物分析的电子舌:味道的量化及掩蔽效应
Anal Bioanal Chem. 2004 Sep;380(1):36-45. doi: 10.1007/s00216-004-2738-3. Epub 2004 Jul 29.
8
Electronic tongue for the detection of taste-masking microencapsulation of active pharmaceutical substances.电子舌用于检测活性药物物质的掩味微囊化。
Bioelectrochemistry. 2010 Nov;80(1):94-8. doi: 10.1016/j.bioelechem.2010.08.006. Epub 2010 Sep 6.
9
Quinine sulphate pellets for flexible pediatric drug dosing: formulation development and evaluation of taste-masking efficiency using the electronic tongue.用于灵活儿科药物给药的硫酸奎宁微丸:使用电子舌进行剂型开发和掩味效率评估
Eur J Pharm Biopharm. 2007 Jun;66(3):460-5. doi: 10.1016/j.ejpb.2006.11.018. Epub 2006 Dec 1.
10
Recent Advances in Bitterness-Sensing Systems.苦味感知系统的最新进展。
Biosensors (Basel). 2023 Mar 23;13(4):414. doi: 10.3390/bios13040414.

本文引用的文献

1
All-Solid-State Potentiometric Platforms Modified with a Multi-Walled Carbon Nanotubes for Fluoxetine Determination.用于氟西汀测定的多壁碳纳米管修饰的全固态电位平台。
Membranes (Basel). 2022 Apr 21;12(5):446. doi: 10.3390/membranes12050446.
2
Directly compressible formulation of immediate release rosuvastatin calcium tablets stabilized with tribasic calcium phosphate.直接压片型瑞舒伐他汀钙片,用磷酸三钙稳定。
Pharm Dev Technol. 2022 Apr;27(4):425-434. doi: 10.1080/10837450.2022.2073370. Epub 2022 May 8.
3
Orodispersible Films with Rupatadine Fumarate Enclosed in Ethylcellulose Microparticles as Drug Delivery Platform with Taste-Masking Effect.
以富马酸卢帕他定为包封物、乙基纤维素微粒为载体的口腔崩解膜作为具有掩味作用的药物递送平台
Materials (Basel). 2022 Mar 14;15(6):2126. doi: 10.3390/ma15062126.
4
A novel electronic tongue using electropolymerized molecularly imprinted polymers for the simultaneous determination of active pharmaceutical ingredients.一种新型电子舌,使用电化学聚合分子印迹聚合物同时测定活性药物成分。
Biosens Bioelectron. 2022 Feb 15;198:113807. doi: 10.1016/j.bios.2021.113807. Epub 2021 Nov 17.
5
Polyvinyl Chloride Modified Carbon Paste Electrodes for Sensitive Determination of Levofloxacin Drug in Serum, Urine, and Pharmaceutical Formulations.聚氯乙烯修饰碳糊电极用于血清、尿液和药物制剂中左氧氟沙星药物的灵敏测定。
Sensors (Basel). 2021 May 1;21(9):3150. doi: 10.3390/s21093150.
6
Univariate and multivariate assisted spectrophotometric methods for determination of rosuvastatin calcium and fenofibrate in bulk powders and tablets along with their degradation products.用于测定原料药粉末和片剂中瑞舒伐他汀钙和非诺贝特及其降解产物的单变量和多变量辅助分光光度法。
Spectrochim Acta A Mol Biomol Spectrosc. 2021 Mar 5;248:119163. doi: 10.1016/j.saa.2020.119163. Epub 2020 Nov 12.
7
Distinguishing paracetamol formulations: Comparison of potentiometric "Electronic Tongue" with established analytical techniques.鉴别扑热息痛制剂:电位“电子舌”与传统分析技术的比较。
J Pharm Biomed Anal. 2020 Sep 5;188:113457. doi: 10.1016/j.jpba.2020.113457. Epub 2020 Jul 6.
8
Sprinkle formulations-A review of commercially available products.散剂剂型——市售产品综述
Asian J Pharm Sci. 2020 May;15(3):292-310. doi: 10.1016/j.ajps.2019.05.003. Epub 2019 Jul 8.
9
Utilization of Ethylcellulose Microparticles with Rupatadine Fumarate in Designing Orodispersible Minitablets with Taste Masking Effect.富马酸卢帕他定乙基纤维素微粒在设计具有掩味效果的口腔崩解片方面的应用。
Materials (Basel). 2020 Jun 15;13(12):2715. doi: 10.3390/ma13122715.
10
Application of Potentiometric Sensors in Real Samples.电位传感器在实际样品中的应用。
Crit Rev Anal Chem. 2021;51(3):218-231. doi: 10.1080/10408347.2019.1711013. Epub 2020 Jan 13.