Suppr超能文献

血清胱抑素 C 与老年人群跌倒报告之间的关联。

Associations between serum cystatin C and fall reports in an Elderly population.

机构信息

Department of Geriatrics, Union Hospital, Tongji Medical College, Huazhong University of Science and Technology, 1277 Jiefang Avenue, Jianghan District, Wuhan, 430022, Hubei Province, China.

出版信息

Sci Rep. 2024 Oct 30;14(1):26054. doi: 10.1038/s41598-024-77138-7.

Abstract

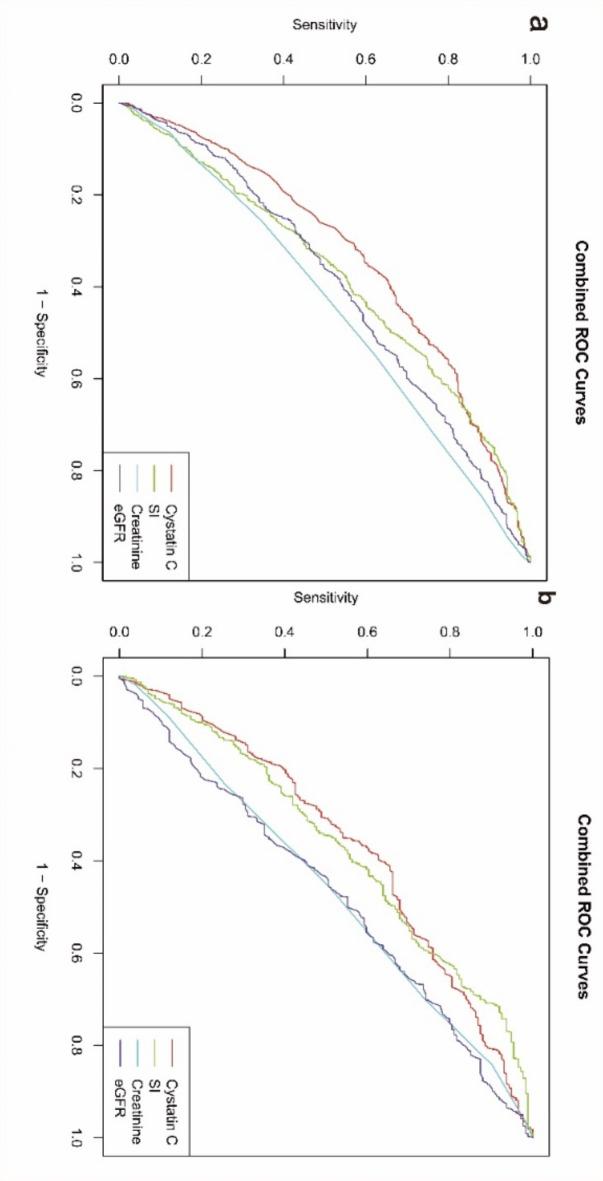
Fall is common in the elderly, and chronic kidney disease is considered a major risk factor. Serum creatinine (Cre) and cystatin C (Cys C) are commonly used biomarkers for renal function, while the ratio of Cre to Cys C, known as the sarcopenia index (SI), provides insights into muscle health. This study investigates the relationships between Cre, Cys C, estimated glomerular filtration rates (eGFR), SI, and self-reported falls using National Health and Nutrition Examination Survey (NHANES) data. We included 4,272 older adults with eGFR > 30mL/min/1.73m from NHANES (1999 to 2004) and divided them into the fall and non-fall groups based on the questionnaires. Correlations were assessed using restricted cubic spline, weighted generalized linear regression models. Multi-factor logistic regression analysis identified serum Cys C as significantly associated with falls (all participants: OR 1.16, 95% CI: 1.09 to 1.23, p < 0.001; participants with eGFR > 75 mL/min/1.73m: OR 1.17, 95% CI: 1.05 to 1.30, p < 0.001,). In contrast, Cre and eGFR were not significant after adjustments; SI showed marginal significance (p = 0.045). Cys C is significantly associated with fall risk in older adults, demonstrating a positive linear relationship with self-reported falls.

摘要

秋季在老年人中很常见,慢性肾脏病被认为是一个主要的风险因素。血清肌酐(Cre)和胱抑素 C(Cys C)通常被用作肾功能的生物标志物,而 Cre 与 Cys C 的比值,即肌少症指数(SI),则可以反映肌肉健康状况。本研究利用国家健康和营养调查(NHANES)数据,调查了 Cre、Cys C、估算肾小球滤过率(eGFR)、SI 与自我报告的跌倒之间的关系。我们纳入了 NHANES(1999 年至 2004 年)中 eGFR>30mL/min/1.73m 的 4272 名老年人,并根据问卷将他们分为跌倒组和非跌倒组。采用受限立方样条、加权广义线性回归模型评估相关性。多因素逻辑回归分析发现,血清 Cys C 与跌倒显著相关(所有参与者:OR 1.16,95%CI:1.09 至 1.23,p<0.001;eGFR>75mL/min/1.73m 的参与者:OR 1.17,95%CI:1.05 至 1.30,p<0.001)。相比之下,调整后 Cre 和 eGFR 不再显著;SI 则具有边缘显著性(p=0.045)。Cys C 与老年人的跌倒风险显著相关,与自我报告的跌倒呈正线性关系。

https://cdn.ncbi.nlm.nih.gov/pmc/blobs/5a58/11522524/94136fce86ab/41598_2024_77138_Fig1_HTML.jpg

文献检索

告别复杂PubMed语法,用中文像聊天一样搜索,搜遍4000万医学文献。AI智能推荐,让科研检索更轻松。

立即免费搜索

文件翻译

保留排版,准确专业,支持PDF/Word/PPT等文件格式,支持 12+语言互译。

免费翻译文档

深度研究

AI帮你快速写综述,25分钟生成高质量综述,智能提取关键信息,辅助科研写作。

立即免费体验