Suppr超能文献

用阿尔哈金茅(Alhagi maurorum)吸附茜素红 S 的动力学和热力学分析:一种可持续的水处理方法。

Kinetic and thermodynamic analysis of alizarin Red S biosorption by Alhagi maurorum: a sustainable approach for water treatment.

机构信息

Institute of Chemistry, University of the Punjab, Lahore, Pakistan.

Institute of Botany, University of the Punjab, Lahore, Pakistan.

出版信息

BMC Biotechnol. 2024 Oct 30;24(1):85. doi: 10.1186/s12896-024-00913-x.

Abstract

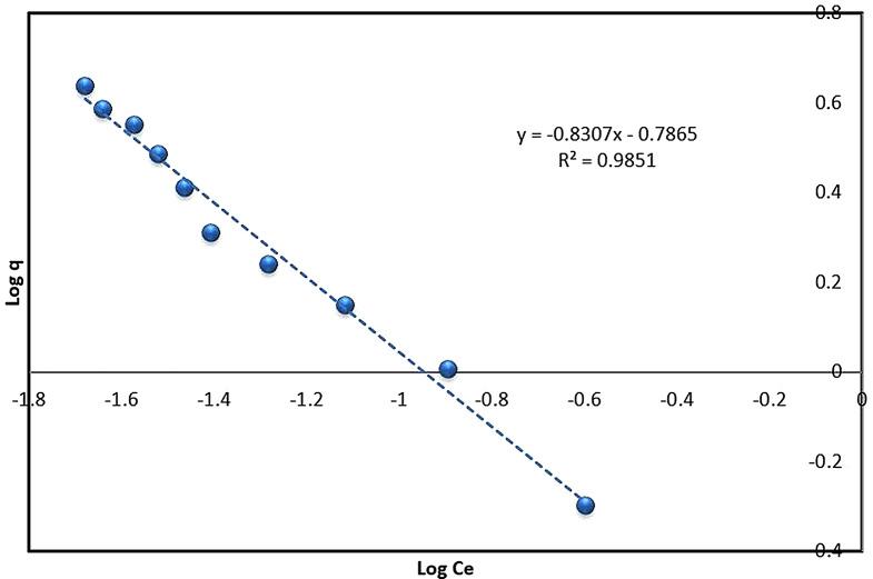
Synthetic dyes, such as Alizarin Red S, contribute significantly to environmental pollution. This study investigates the biosorption potential of Alhagi maurorum biosorbent for the removal of Alizarin Red S (ARS) from aqueous solutions. Fourier transform infrared spectroscopy (FTIR) was used to analyze the biosorbent's adsorption sites. Various parameters were optimized to maximize dye adsorption. An optimal removal efficiency of 82.26% was attained by employing 0.9 g of biosorbent with a 25 ppm dye concentration at pH 6 and 60 °C over 30 min. The data were modeled using various isothermal and kinetic models to understand the adsorption behavior. Thermodynamic parameters indicated that the adsorption process was spontaneous and endothermic. The pseudo-second-order kinetic model best described the data, indicating chemisorption as the rate-limiting step. The data matched best to the Langmuir model, indicating that the adsorption occurs as a monolayer on uniform surfaces with a finite number of binding sites. The model showed a strong correlation (R² = 0.991) and a maximum adsorption capacity (q) of 8.203 mg/g. Principal component analysis (PCA) identified temperature as the dominant factor, with the primary component, PC1 capturing 100% of its effect. The mechanisms involved in ARS biosorption on A. maurorum include electrostatic interactions, hydrogen bonding, hydrophobic interactions, dipole-dipole interactions, and π-π stacking. Alhagi maurorum showed promising potential for biosorbing toxic dyes from contaminated water, suggesting further investigation for practical applications.

摘要

合成染料,如茜素红 S,对环境污染有重大贡献。本研究调查了 Alhagi maurorum 生物吸附剂对从水溶液中去除茜素红 S (ARS) 的生物吸附潜力。傅里叶变换红外光谱 (FTIR) 用于分析吸附剂的吸附位点。优化了各种参数以最大程度地提高染料吸附。在 pH 值为 6、温度为 60°C、吸附时间为 30 分钟的条件下,使用 0.9 g 生物吸附剂和 25 ppm 染料浓度,可达到 82.26%的最佳去除效率。使用各种等温线和动力学模型对数据进行建模,以了解吸附行为。热力学参数表明吸附过程是自发的和吸热的。准二级动力学模型最能描述数据,表明吸附过程是化学吸附,是限速步骤。数据与 Langmuir 模型拟合最好,表明吸附是在具有有限数量结合位点的均匀表面上发生的单层吸附。该模型显示出很强的相关性 (R² = 0.991) 和最大吸附容量 (q) 为 8.203 mg/g。主成分分析 (PCA) 确定温度是主要因素,主成分 PC1 捕获了其 100%的影响。ARS 在 A. maurorum 上的生物吸附涉及静电相互作用、氢键、疏水相互作用、偶极-偶极相互作用和 π-π 堆积。Alhagi maurorum 显示出从受污染的水中吸附有毒染料的巨大潜力,表明进一步研究具有实际应用价值。

https://cdn.ncbi.nlm.nih.gov/pmc/blobs/c9ad/11523905/efc285dd1171/12896_2024_913_Fig1_HTML.jpg

文献检索

告别复杂PubMed语法,用中文像聊天一样搜索,搜遍4000万医学文献。AI智能推荐,让科研检索更轻松。

立即免费搜索

文件翻译

保留排版,准确专业,支持PDF/Word/PPT等文件格式,支持 12+语言互译。

免费翻译文档

深度研究

AI帮你快速写综述,25分钟生成高质量综述,智能提取关键信息,辅助科研写作。

立即免费体验