Suppr超能文献

界面卡皮查电阻对胶体热泳的影响。

Impact of the Interfacial Kapitza Resistance on Colloidal Thermophoresis.

作者信息

Olarte-Plata Juan D, Bresme Fernando

机构信息

Department of Chemistry, Molecular Sciences Research Hub Imperial College, Imperial College London, London W12 0BZ, U.K.

出版信息

ACS Omega. 2024 Oct 17;9(43):43779-43784. doi: 10.1021/acsomega.4c06427. eCollection 2024 Oct 29.

Abstract

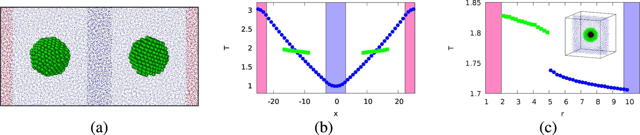
Thermal gradients impart thermophoretic forces on colloidal particles, pushing colloids toward cold or hot regions, a phenomenon called thermophoresis. Current theoretical approaches relate the Soret coefficient to local changes in the interfacial tension around the colloid, which lead to fluid flow around the colloid surface. The Kapitza resistance, a key variable in the description of interfacial heat transport, is an experimentally accessible property that modifies interfacial thermal fields. Here, we introduce a theoretical approach that describes colloid thermophoretic forces by incorporating explicitly Kapitza resistance effects. Our formulation can be used to monitor the dependence of thermophoresis on interfacial thermal resistance. We show that the resistance modifies the thermal field around the colloids and identify experimental conditions where the Kapitza resistance influences the thermophoretic forces. We validate our theoretical approach by implementing a nonequilibrium molecular dynamics model of a colloid suspended in a solvent.

摘要

热梯度会在胶体颗粒上施加热泳力,将胶体推向较冷或较热的区域,这一现象称为热泳。当前的理论方法将索雷特系数与胶体周围界面张力的局部变化联系起来,这会导致胶体表面周围的流体流动。卡皮查电阻是描述界面热传输的一个关键变量,是一种可通过实验获取的属性,它会改变界面热场。在此,我们引入一种理论方法,通过明确纳入卡皮查电阻效应来描述胶体热泳力。我们的公式可用于监测热泳对界面热阻的依赖性。我们表明,该电阻会改变胶体周围的热场,并确定卡皮查电阻影响热泳力的实验条件。我们通过实施一个悬浮在溶剂中的胶体的非平衡分子动力学模型来验证我们的理论方法。

https://cdn.ncbi.nlm.nih.gov/pmc/blobs/a843/11525738/546c17b6be5c/ao4c06427_0001.jpg

文献检索

告别复杂PubMed语法,用中文像聊天一样搜索,搜遍4000万医学文献。AI智能推荐,让科研检索更轻松。

立即免费搜索

文件翻译

保留排版,准确专业,支持PDF/Word/PPT等文件格式,支持 12+语言互译。

免费翻译文档

深度研究

AI帮你快速写综述,25分钟生成高质量综述,智能提取关键信息,辅助科研写作。

立即免费体验