• 文献检索
  • 文档翻译
  • 深度研究
  • 学术资讯
  • Suppr Zotero 插件Zotero 插件
  • 邀请有礼
  • 套餐&价格
  • 历史记录
应用&插件
Suppr Zotero 插件Zotero 插件浏览器插件Mac 客户端Windows 客户端微信小程序
定价
高级版会员购买积分包购买API积分包
服务
文献检索文档翻译深度研究API 文档MCP 服务
关于我们
关于 Suppr公司介绍联系我们用户协议隐私条款
关注我们

Suppr 超能文献

核心技术专利:CN118964589B侵权必究
粤ICP备2023148730 号-1Suppr @ 2026

文献检索

告别复杂PubMed语法,用中文像聊天一样搜索,搜遍4000万医学文献。AI智能推荐,让科研检索更轻松。

立即免费搜索

文件翻译

保留排版,准确专业,支持PDF/Word/PPT等文件格式,支持 12+语言互译。

免费翻译文档

深度研究

AI帮你快速写综述,25分钟生成高质量综述,智能提取关键信息,辅助科研写作。

立即免费体验

Ⅰ/Ⅱ期直肠癌患者能否与Ⅰ/Ⅱ期(其他癌症)患者采用相同的治疗方式?

Can yStage Ⅰ/Ⅱ rectal cancer patients be treated in the same way as stage Ⅰ/Ⅱ patients?

作者信息

Mukai Shumpei, Sawada Naruhiko, Takehara Yusuke, Nakahara Kenta, Enami Yuta, Ishida Fumio, Kudo Shin-Ei

机构信息

Digestive Disease Center, Showa University, Northern Yokohama Hospital, Yokohama, Japan.

出版信息

Heliyon. 2024 Oct 18;10(20):e39530. doi: 10.1016/j.heliyon.2024.e39530. eCollection 2024 Oct 30.

DOI:10.1016/j.heliyon.2024.e39530
PMID:39502253
原文链接:https://pmc.ncbi.nlm.nih.gov/articles/PMC11535990/
Abstract

BACKGROUND

Neoadjuvant therapy (NAT) before radical surgery are effective treatments for locally advanced rectal cancer. However, the treatment strategy after NAT and surgery is still unclear. It is difficult to accurately evaluate the stage before NAT, as some cases are downstaged by NAT.

OBJECTIVE

We investigated the treatment strategies based on the postoperative pathology of patients with yStage Ⅰ or Ⅱ rectal cancer who underwent NAT and radical resection.

DESIGN

They patients were retrospectively evaluated the long-term outcomes. They were divided into patients with yStage I/II receiving NAT and patients with stage I/II patients without NAT (non-NAT). Disease-free survival (DFS) and overall survival (OS) were examined, and the prognosis was compared. Cox proportional hazard model was used to examine the recurrence risk factors in all patients or NAT. We compared the effects of adjuvant therapy in NAT.

PATIENTS

Overall, 521 patients histologically diagnosed with yStage I/II or stage I/II who underwent surgery for rectal cancer between April 2001 and July 2019 were eligible.

RESULTS

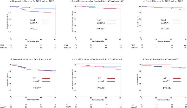
The NAT and non-NAT groups included 80 and 441 patients, respectively. DFS was significantly lower in NAT, but there was no difference in OS between the two groups. All patients had several recurrence risk factors, but none of the NAT had such risk factors. No significant difference in DFS and OS was found between NAT with and without adjuvant chemotherapy.

LIMITATION

This is a single-center retrospective study.

CONCLUSIONS

NAT had lower DFS than non-NAT, but no difference in OS was observed. No significant recurrence risk factors were observed in NAT. Adjuvant chemotherapy for NAT may have no benefit.

摘要

背景

根治性手术前的新辅助治疗(NAT)是局部晚期直肠癌的有效治疗方法。然而,NAT及手术后的治疗策略仍不明确。由于部分病例经NAT后分期降低,因此术前准确评估分期较为困难。

目的

我们基于接受NAT及根治性切除的y分期Ⅰ或Ⅱ期直肠癌患者的术后病理情况,研究其治疗策略。

设计

对患者的长期预后进行回顾性评估。将患者分为接受NAT的y分期Ⅰ/Ⅱ期患者和未接受NAT(非NAT)的Ⅰ/Ⅱ期患者。检测无病生存期(DFS)和总生存期(OS),并比较预后情况。采用Cox比例风险模型检测所有患者或NAT患者的复发危险因素。我们比较了NAT中辅助治疗的效果。

患者

总体而言,2001年4月至2019年7月间,521例经组织学诊断为y分期Ⅰ/Ⅱ期或Ⅰ/Ⅱ期且接受直肠癌手术的患者符合条件。

结果

NAT组和非NAT组分别有80例和441例患者。NAT组的DFS显著较低,但两组的OS无差异。所有患者均有多个复发危险因素,但NAT组患者均无此类危险因素。接受和未接受辅助化疗的NAT患者在DFS和OS方面未发现显著差异。

局限性

这是一项单中心回顾性研究。

结论

NAT组的DFS低于非NAT组,但OS未观察到差异。NAT组未观察到显著的复发危险因素。NAT患者进行辅助化疗可能无益处。

https://cdn.ncbi.nlm.nih.gov/pmc/blobs/148a/11535990/82d6564175c9/gr2.jpg
https://cdn.ncbi.nlm.nih.gov/pmc/blobs/148a/11535990/ce2f6ba02828/gr1.jpg
https://cdn.ncbi.nlm.nih.gov/pmc/blobs/148a/11535990/82d6564175c9/gr2.jpg
https://cdn.ncbi.nlm.nih.gov/pmc/blobs/148a/11535990/ce2f6ba02828/gr1.jpg
https://cdn.ncbi.nlm.nih.gov/pmc/blobs/148a/11535990/82d6564175c9/gr2.jpg

相似文献

1
Can yStage Ⅰ/Ⅱ rectal cancer patients be treated in the same way as stage Ⅰ/Ⅱ patients?Ⅰ/Ⅱ期直肠癌患者能否与Ⅰ/Ⅱ期(其他癌症)患者采用相同的治疗方式?
Heliyon. 2024 Oct 18;10(20):e39530. doi: 10.1016/j.heliyon.2024.e39530. eCollection 2024 Oct 30.
2
Development and Assessment of a Clinical Calculator for Estimating the Likelihood of Recurrence and Survival Among Patients With Locally Advanced Rectal Cancer Treated With Chemotherapy, Radiotherapy, and Surgery.开发和评估一种临床计算器,用于估计接受化疗、放疗和手术治疗的局部晚期直肠癌患者的复发和生存可能性。
JAMA Netw Open. 2021 Nov 1;4(11):e2133457. doi: 10.1001/jamanetworkopen.2021.33457.
3
Postoperative adjuvant chemotherapy in rectal cancer operated for cure.针对接受根治性手术的直肠癌患者的术后辅助化疗。
Cochrane Database Syst Rev. 2012 Mar 14;2012(3):CD004078. doi: 10.1002/14651858.CD004078.pub2.
4
[Safety and prognosis analysis of transanal total mesorectal excision versus laparoscopic mesorectal excision for mid-low rectal cancer].经肛门全直肠系膜切除术与腹腔镜直肠系膜切除术治疗中低位直肠癌的安全性及预后分析
Zhonghua Wei Chang Wai Ke Za Zhi. 2022 Jun 25;25(6):522-530. doi: 10.3760/cma.j.cn441530-20210811-00321.
5
Does the initial treatment of primary tumor impact prognosis after recurrence in locally advanced rectal cancer? Results from a retrospective cohort analysis.局部进展期直肠癌复发后初始治疗对肿瘤的影响是否影响预后?一项回顾性队列分析的结果。
Int J Colorectal Dis. 2024 Sep 28;39(1):153. doi: 10.1007/s00384-024-04721-9.
6
Evaluating the benefits of adjuvant chemotherapy in patients with pancreatic cancer undergoing radical pancreatectomy after neoadjuvant therapy-a systematic review and meta-analysis.评估新辅助治疗后接受根治性胰腺切除术的胰腺癌患者辅助化疗的获益——一项系统评价和荟萃分析
Front Oncol. 2024 Oct 17;14:1429386. doi: 10.3389/fonc.2024.1429386. eCollection 2024.
7
Multi-agent neoadjuvant chemotherapy improves survival in early-stage pancreatic cancer: A National Cancer Database analysis.多药联合新辅助化疗可改善早期胰腺癌患者的生存:一项基于国家癌症数据库的分析。
Eur J Cancer. 2021 Apr;147:17-28. doi: 10.1016/j.ejca.2021.01.004. Epub 2021 Feb 16.
8
Rectal cancer patients with downstaging after neoadjuvant chemoradiotherapy and radical resection do not benefit from adjuvant chemotherapy.接受新辅助放化疗及根治性切除术后分期降低的直肠癌患者无法从辅助化疗中获益。
Ann Transl Med. 2020 Jun;8(12):743. doi: 10.21037/atm-20-1278.
9
ACRNaCT trial protocol: efficacy of adjuvant chemotherapy in patients with clinical T3b/T4, N+ rectal Cancer undergoing Neoadjuvant Chemoradiotherapy: a pathology-oriented, prospective, multicenter, randomized, open-label, parallel group clinical trial.ACRNaCT 试验方案:新辅助放化疗治疗临床 T3b/T4、N+直肠癌患者辅助化疗的疗效:一项以病理为导向的、前瞻性、多中心、随机、开放标签、平行分组临床试验。
BMC Cancer. 2019 Nov 15;19(1):1117. doi: 10.1186/s12885-019-6289-6.
10
Poor compliance with adjuvant chemotherapy use associated with poorer survival in patients with rectal cancer: An NCDB analysis.直肠癌患者辅助化疗依从性差与生存率较低相关:一项国家癌症数据库分析。
Cancer. 2017 Jan 1;123(1):52-61. doi: 10.1002/cncr.30261. Epub 2016 Aug 25.

本文引用的文献

1
Management of Locally Advanced Rectal Cancer: ASCO Guideline.局部晚期直肠癌的治疗:ASCO 指南。
J Clin Oncol. 2024 Oct;42(28):3355-3375. doi: 10.1200/JCO.24.01160. Epub 2024 Aug 8.
2
Total neoadjuvant therapy in rectal cancer: the evidence and expectations.直肠癌的新辅助治疗:证据与展望。
Crit Rev Oncol Hematol. 2023 Dec;192:104196. doi: 10.1016/j.critrevonc.2023.104196. Epub 2023 Nov 4.
3
Selecting a TNT Schedule in Locally Advanced Rectal Cancer: Can We Predict Who Actually Benefits?选择局部晚期直肠癌的短程放疗方案:我们能否预测谁真正能从中获益?
Cancers (Basel). 2023 Apr 30;15(9):2567. doi: 10.3390/cancers15092567.
4
Total neoadjuvant therapy for rectal cancer: a guide for surgeons.直肠癌的新辅助治疗:外科医生指南。
Can J Surg. 2023 Apr 21;66(2):E196-E201. doi: 10.1503/cjs.005822. Print 2023 Mar-Apr.
5
Multicenter, Randomized, Phase III Trial of Short-Term Radiotherapy Plus Chemotherapy Versus Long-Term Chemoradiotherapy in Locally Advanced Rectal Cancer (STELLAR).多中心、随机、III 期临床试验:短期放疗联合化疗与长程放化疗治疗局部进展期直肠癌(STELLAR)。
J Clin Oncol. 2022 May 20;40(15):1681-1692. doi: 10.1200/JCO.21.01667. Epub 2022 Mar 9.
6
Oxaliplatin-based adjuvant chemotherapy rather than fluorouracil-based chemotherapy in rectal cancer is more efficient to decrease distant metastasis and increase survival after preoperative chemoradiotherapy and surgery: a meta-analysis.奥沙利铂为基础的辅助化疗而非氟尿嘧啶为基础的化疗在直肠癌中更有效,能降低术前放化疗和手术后的远处转移率并提高生存率:一项荟萃分析。
Int J Colorectal Dis. 2022 Mar;37(3):649-656. doi: 10.1007/s00384-022-04096-9. Epub 2022 Jan 20.
7
Postoperative Adjuvant Treatment Strategy for Locally Advanced Rectal Cancer after Neoadjuvant Treatment.新辅助治疗后局部进展期直肠癌的术后辅助治疗策略。
Biomed Res Int. 2021 Mar 28;2021:8852699. doi: 10.1155/2021/8852699. eCollection 2021.
8
Long-Term Prognosis after Surgery for Locally Recurrent Rectal Cancer: A Retrospective Study.局部复发性直肠癌手术后的长期预后:一项回顾性研究。
Asian Pac J Cancer Prev. 2021 May 1;22(5):1531-1535. doi: 10.31557/APJCP.2021.22.5.1531.
9
Total Neoadjuvant Therapy (TNT) versus Standard Neoadjuvant Chemoradiotherapy for Locally Advanced Rectal Cancer: A Systematic Review and Meta-Analysis.局部晚期直肠癌的全新辅助治疗(TNT)与标准新辅助放化疗:一项系统评价和荟萃分析
Oncologist. 2021 Sep;26(9):e1555-e1566. doi: 10.1002/onco.13824. Epub 2021 Jun 7.
10
Neoadjuvant chemotherapy with FOLFIRINOX and preoperative chemoradiotherapy for patients with locally advanced rectal cancer (UNICANCER-PRODIGE 23): a multicentre, randomised, open-label, phase 3 trial.局部晚期直肠癌患者的 FOLFIRINOX 新辅助化疗和术前放化疗(UNICANCER-PRODIGE 23):一项多中心、随机、开放标签、III 期临床试验。
Lancet Oncol. 2021 May;22(5):702-715. doi: 10.1016/S1470-2045(21)00079-6. Epub 2021 Apr 13.