• 文献检索
  • 文档翻译
  • 深度研究
  • 学术资讯
  • Suppr Zotero 插件Zotero 插件
  • 邀请有礼
  • 套餐&价格
  • 历史记录
应用&插件
Suppr Zotero 插件Zotero 插件浏览器插件Mac 客户端Windows 客户端微信小程序
定价
高级版会员购买积分包购买API积分包
服务
文献检索文档翻译深度研究API 文档MCP 服务
关于我们
关于 Suppr公司介绍联系我们用户协议隐私条款
关注我们

Suppr 超能文献

核心技术专利:CN118964589B侵权必究
粤ICP备2023148730 号-1Suppr @ 2026

文献检索

告别复杂PubMed语法,用中文像聊天一样搜索,搜遍4000万医学文献。AI智能推荐,让科研检索更轻松。

立即免费搜索

文件翻译

保留排版,准确专业,支持PDF/Word/PPT等文件格式,支持 12+语言互译。

免费翻译文档

深度研究

AI帮你快速写综述,25分钟生成高质量综述,智能提取关键信息,辅助科研写作。

立即免费体验

阿来替尼治疗的ALK阳性非小细胞肺癌患者中与中枢神经系统进展风险相关的基线分子因素分析

Analysis of Baseline Molecular Factors Associated With the Risk of Central Nervous System Progression Among Alectinib-Treated Patients With ALK-Positive NSCLC.

作者信息

Song Lianxi, Yan Huan, Xu Qinqin, Zhou Chunhua, Liang Juan, Lin Shaoding, Zhang Ruiguang, Yu Juan, Xia Yang, Yang Nong, Zeng Liang, Zhang Yongchang

机构信息

Department of Medical Oncology, Lung Cancer and Gastrointestinal Unit, Hunan Cancer Hospital/The Affiliated Cancer Hospital of Xiangya School of Medicine, Central South University, Changsha, People's Republic of China.

Graduate Collaborative Training Base of Hunan Cancer Hospital, Hengyang Medical School, University of South China, Hengyang, Hunan, People's Republic of China.

出版信息

JTO Clin Res Rep. 2024 Sep 17;5(12):100729. doi: 10.1016/j.jtocrr.2024.100729. eCollection 2024 Dec.

DOI:10.1016/j.jtocrr.2024.100729
PMID:39502496
原文链接:https://pmc.ncbi.nlm.nih.gov/articles/PMC11532761/
Abstract

INTRODUCTION

Despite receiving alectinib therapy, patients with ALK-positive NSCLC remain at risk of central nervous system (CNS) progression. Our retrospective study aimed to identify baseline clinical and molecular factors associated with the risk of CNS progression in this patient subset.

METHODS

We analyzed the clinical, molecular, and imaging data of 318 patients with ALK-positive advanced NSCLC who received alectinib as first-line (1L-alectinib) or second-line (2L-alectinib) therapy at baseline (1L, n = 183; 2L, n = 135) and at disease progression (1L, n = 80; 2L, n = 76).

RESULTS

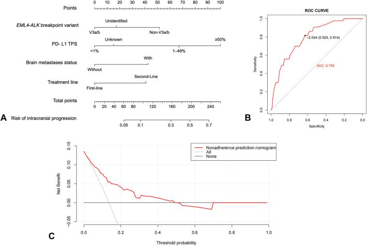
The incidence rates of CNS progression were 23.7% after 1L-alectinib treatment and 31.6% after 2L-alectinib treatment. Compared with patients who received 1L-alectinib, CNS progression was similar in patients who received 2L-alectinib ( > 0.05). Oligoprogression was detected in 55.0% (44 of 80) of patients who progressed after first-line alectinib, with the remaining 45.0% (36 of 80) having nonoligoprogression. Univariate and multivariate analyses and stepwise regression analyses consistently identified a higher likelihood of CNS progression among (1) patients who received 2L-alectinib than 1L-alectinib, (2) patients with non-3a/b variant fusion than those with echinoderm microtubule-associated protein-like 4 variant 3a/b, and (3) patients with programmed death ligand 1 (PD-L1) tumor proportion score (TPS) of 50% or higher than PD-L1 TPS of less than 50%.

CONCLUSIONS

Our study provided real-world evidence that patients who harbored PD-L1 TPS of 50% or higher were more likely to experience CNS progression during alectinib therapy. The association between CNS progression and breakpoint variants warrants further investigation. Our findings suggest that close monitoring and prompt intervention are crucial in prolonging the quality of life of this patient subset.

摘要

引言

尽管接受了阿来替尼治疗,但ALK阳性非小细胞肺癌(NSCLC)患者仍有发生中枢神经系统(CNS)进展的风险。我们的回顾性研究旨在确定该患者亚组中与CNS进展风险相关的基线临床和分子因素。

方法

我们分析了318例ALK阳性晚期NSCLC患者的临床、分子和影像数据,这些患者在基线时接受阿来替尼一线(1L-阿来替尼)或二线(2L-阿来替尼)治疗(1L组,n = 183;2L组,n = 135),并在疾病进展时(1L组,n = 80;2L组,n = 76)进行分析。

结果

1L-阿来替尼治疗后CNS进展的发生率为23.7%,2L-阿来替尼治疗后为31.6%。与接受1L-阿来替尼治疗的患者相比,接受2L-阿来替尼治疗的患者CNS进展情况相似(P>0.05)。在一线阿来替尼治疗后进展的患者中,55.0%(80例中的44例)检测到寡进展,其余45.0%(80例中的36例)为非寡进展。单因素和多因素分析以及逐步回归分析一致确定,以下患者发生CNS进展的可能性更高:(1)接受2L-阿来替尼治疗的患者比接受1L-阿来替尼治疗的患者;(2)非3a/b变体EML4-ALK融合的患者比棘皮动物微管相关蛋白样4变体3a/b的患者;(3)程序性死亡配体1(PD-L1)肿瘤比例评分(TPS)≥50%的患者比PD-L1 TPS<50%的患者。

结论

我们的研究提供了真实世界的证据,表明PD-L1 TPS≥50%的患者在阿来替尼治疗期间更有可能发生CNS进展。CNS进展与断点变体之间的关联值得进一步研究。我们的研究结果表明,密切监测和及时干预对于延长该患者亚组的生活质量至关重要。

https://cdn.ncbi.nlm.nih.gov/pmc/blobs/269d/11532761/25fce5b674e6/gr5.jpg
https://cdn.ncbi.nlm.nih.gov/pmc/blobs/269d/11532761/3c055555825d/gr1.jpg
https://cdn.ncbi.nlm.nih.gov/pmc/blobs/269d/11532761/d423b57b96da/gr2.jpg
https://cdn.ncbi.nlm.nih.gov/pmc/blobs/269d/11532761/76a2e06201d9/gr3.jpg
https://cdn.ncbi.nlm.nih.gov/pmc/blobs/269d/11532761/5c9b15cf0632/gr4.jpg
https://cdn.ncbi.nlm.nih.gov/pmc/blobs/269d/11532761/25fce5b674e6/gr5.jpg
https://cdn.ncbi.nlm.nih.gov/pmc/blobs/269d/11532761/3c055555825d/gr1.jpg
https://cdn.ncbi.nlm.nih.gov/pmc/blobs/269d/11532761/d423b57b96da/gr2.jpg
https://cdn.ncbi.nlm.nih.gov/pmc/blobs/269d/11532761/76a2e06201d9/gr3.jpg
https://cdn.ncbi.nlm.nih.gov/pmc/blobs/269d/11532761/5c9b15cf0632/gr4.jpg
https://cdn.ncbi.nlm.nih.gov/pmc/blobs/269d/11532761/25fce5b674e6/gr5.jpg

相似文献

1
Analysis of Baseline Molecular Factors Associated With the Risk of Central Nervous System Progression Among Alectinib-Treated Patients With ALK-Positive NSCLC.阿来替尼治疗的ALK阳性非小细胞肺癌患者中与中枢神经系统进展风险相关的基线分子因素分析
JTO Clin Res Rep. 2024 Sep 17;5(12):100729. doi: 10.1016/j.jtocrr.2024.100729. eCollection 2024 Dec.
2
Real-world treatment sequencing and effectiveness of second- and third-generation ALK tyrosine kinase inhibitors for ALK-positive advanced non-small cell lung cancer.真实世界中第二代和第三代 ALK 酪氨酸激酶抑制剂治疗顺序和疗效在 ALK 阳性晚期非小细胞肺癌中的应用。
Lung Cancer. 2024 Sep;195:107919. doi: 10.1016/j.lungcan.2024.107919. Epub 2024 Aug 3.
3
Analysis of the resistance profile of real-world alectinib first-line therapy in patients with rearrangement-positive advanced non-small cell lung cancer using organoid technology in one case of lung cancer.在一例肺癌中使用类器官技术分析重排阳性晚期非小细胞肺癌患者真实世界中阿来替尼一线治疗的耐药情况。
J Thorac Dis. 2024 Jun 30;16(6):3854-3863. doi: 10.21037/jtd-23-1964. Epub 2024 Jun 14.
4
Analysis of central nervous system efficacy in the J-ALEX study of alectinib versus crizotinib in ALK-positive non-small-cell lung cancer.分析在 J-ALEX 研究中艾乐替尼对比克唑替尼用于治疗 ALK 阳性非小细胞肺癌的中枢神经系统疗效。
Lung Cancer. 2018 Jul;121:37-40. doi: 10.1016/j.lungcan.2018.04.015. Epub 2018 Apr 17.
5
Association of PD-L1 expression with efficacy of alectinib in advanced NSCLC patients with ALK fusion.ALK 融合的晚期 NSCLC 患者中 PD-L1 表达与阿来替尼疗效的相关性。
Lung Cancer. 2023 Jul;181:107233. doi: 10.1016/j.lungcan.2023.107233. Epub 2023 May 10.
6
Effect of alectinib versus crizotinib on progression-free survival, central nervous system efficacy and adverse events in ALK-positive non-small cell lung cancer: a systematic review and meta-analysis.阿来替尼对比克唑替尼用于治疗 ALK 阳性非小细胞肺癌的无进展生存期、中枢神经系统疗效和不良反应的效果:一项系统评价和荟萃分析。
Ann Palliat Med. 2020 Jul;9(4):1782-1796. doi: 10.21037/apm-19-643. Epub 2020 Jun 8.
7
Real-World Comparative Effectiveness of First-Line Alectinib Versus Crizotinib in Patients With Advanced -Positive NSCLC With or Without Baseline Central Nervous System Metastases.一线阿来替尼与克唑替尼在有或无基线中枢神经系统转移的晚期ALK阳性非小细胞肺癌患者中的真实世界疗效比较
JTO Clin Res Rep. 2023 Feb 24;4(4):100483. doi: 10.1016/j.jtocrr.2023.100483. eCollection 2023 Apr.
8
Final efficacy and safety data, and exploratory molecular profiling from the phase III ALUR study of alectinib versus chemotherapy in crizotinib-pretreated ALK-positive non-small-cell lung cancer.III 期 ALUR 研究中阿来替尼对比化疗用于克唑替尼治疗后 ALK 阳性非小细胞肺癌的最终疗效和安全性数据及探索性分子分析。
ESMO Open. 2022 Feb;7(1):100333. doi: 10.1016/j.esmoop.2021.100333. Epub 2022 Jan 15.
9
Alectinib as first-line treatment for advanced ALK-positive non-small cell lung cancer in the real-world setting: preliminary analysis in a Chinese cohort.阿来替尼作为真实世界中晚期ALK阳性非小细胞肺癌一线治疗的疗效:中国队列的初步分析
Transl Lung Cancer Res. 2022 Dec;11(12):2495-2506. doi: 10.21037/tlcr-22-803.
10
Real-world data on efficacy and safety of first-line alectinib treatment in advanced-stage, ALK-positive non-small-cell lung cancer patients: a Turkish Oncology Group study.真实世界数据评估一线阿来替尼治疗晚期 ALK 阳性非小细胞肺癌患者的疗效和安全性:土耳其肿瘤学会研究。
Future Oncol. 2022 Jul;18(23):2573-2582. doi: 10.2217/fon-2022-0083. Epub 2022 Jun 23.

本文引用的文献

1
Management of Oligoprogression in Patients with Metastatic NSCLC Harboring ALK Rearrangements.携带ALK重排的转移性非小细胞肺癌患者寡进展的管理
Cancers (Basel). 2022 Jan 30;14(3):718. doi: 10.3390/cancers14030718.
2
Treatment of brain metastases in ALK-positive non-small cell lung cancer.ALK 阳性非小细胞肺癌脑转移的治疗。
Crit Rev Oncol Hematol. 2021 Sep;165:103400. doi: 10.1016/j.critrevonc.2021.103400. Epub 2021 Jun 18.
3
Effect of timing, technique and molecular features on brain control with local therapies in oncogene-driven lung cancer.
在致癌基因驱动的肺癌中,局部治疗的时机、技术和分子特征对大脑控制的影响。
ESMO Open. 2021 Jun;6(3):100161. doi: 10.1016/j.esmoop.2021.100161. Epub 2021 Jun 2.
4
Epidemiology of brain metastases and leptomeningeal disease.脑转移瘤和软脑膜疾病的流行病学。
Neuro Oncol. 2021 Sep 1;23(9):1447-1456. doi: 10.1093/neuonc/noab101.
5
Unique molecular features and clinical outcomes in young patients with non-small cell lung cancer harboring ALK fusion genes.携带 ALK 融合基因的非小细胞肺癌青年患者的独特分子特征和临床结局。
J Cancer Res Clin Oncol. 2020 Apr;146(4):935-944. doi: 10.1007/s00432-019-03116-6. Epub 2020 Jan 1.
6
Brain metastases in oncogene-driven non-small cell lung cancer.致癌基因驱动的非小细胞肺癌中的脑转移
Transl Lung Cancer Res. 2019 Nov;8(Suppl 3):S298-S307. doi: 10.21037/tlcr.2019.05.15.
7
Updated Efficacy and Safety Data and Impact of the EML4-ALK Fusion Variant on the Efficacy of Alectinib in Untreated ALK-Positive Advanced Non-Small Cell Lung Cancer in the Global Phase III ALEX Study.更新的疗效和安全性数据以及 EML4-ALK 融合变体对全球 III 期 ALEX 研究中未经治疗的 ALK 阳性晚期非小细胞肺癌中阿来替尼疗效的影响。
J Thorac Oncol. 2019 Jul;14(7):1233-1243. doi: 10.1016/j.jtho.2019.03.007. Epub 2019 Mar 20.
8
Alectinib versus crizotinib in treatment-naive anaplastic lymphoma kinase-positive (ALK+) non-small-cell lung cancer: CNS efficacy results from the ALEX study.阿来替尼对比克唑替尼用于治疗初治的间变性淋巴瘤激酶阳性(ALK+)非小细胞肺癌:来自 ALEX 研究的中枢神经系统疗效结果。
Ann Oncol. 2018 Nov 1;29(11):2214-2222. doi: 10.1093/annonc/mdy405.
9
Brain metastasis: clinical manifestations, symptom management, and palliative care.脑转移瘤:临床表现、症状管理与姑息治疗
Handb Clin Neurol. 2018;149:75-88. doi: 10.1016/B978-0-12-811161-1.00006-2.
10
Alectinib versus Crizotinib in Untreated ALK-Positive Non-Small-Cell Lung Cancer.阿来替尼对比克唑替尼用于未经治疗的 ALK 阳性非小细胞肺癌。
N Engl J Med. 2017 Aug 31;377(9):829-838. doi: 10.1056/NEJMoa1704795. Epub 2017 Jun 6.